Epigenome-Wide Association Studies of Proteasome Inhibitor-Related Cardiotoxicity in Patients with Multiple Myeloma
Simple Summary
Abstract
1. Introduction
2. Materials and Methods
2.1. Study Population
2.2. Methylation Profiling and Quality Control
2.3. Statistical Analysis
2.3.1. Descriptive Statistics
2.3.2. Methylation Profiling Analysis
3. Results
3.1. Bassline Characteristics
3.2. Differentially Methylated Probes and Regions in CFZ-CVAE
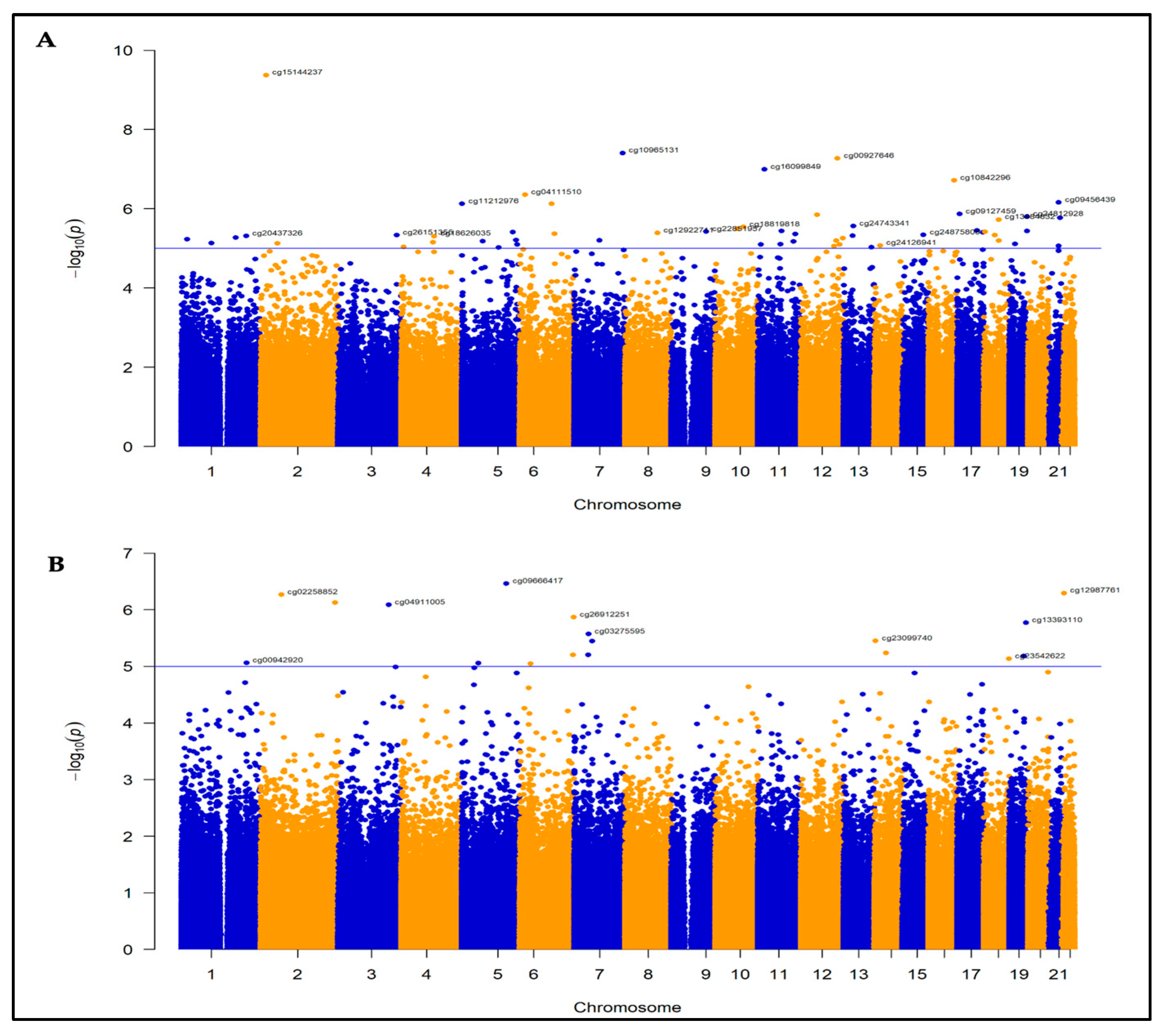
3.2.1. DMPs Associated with CFZ-CVZE
3.2.2. DMR Associated with CFZ-CVZE
3.2.3. Pathway Enrichment Analysis of DMPs Associated with CFZ-CVZE
3.3. Differentially Methylated Probes and Regions in BTZ-CVAE
3.3.1. DMPs Associated with BTZ-CVZE
3.3.2. DMRs Associated with BTZ-CVZE
3.3.3. Pathway Enrichment Analysis of DMPs Associated with BTZ-CVZE
3.4. Meta-Analysis
4. Discussion
5. Conclusions
Supplementary Materials
Author Contributions
Funding
Institutional Review Board Statement
Informed Consent Statement
Data Availability Statement
Acknowledgments
Conflicts of Interest
References
- Malard, F.; Neri, P.; Bahlis, N.J.; Terpos, E.; Moukalled, N.; Hungria, V.T.M.; Manier, S.; Mohty, M. Multiple myeloma. Nat. Rev. Dis. Primers 2024, 10, 45. [Google Scholar] [CrossRef]
- Siegel, R.L.; Kratzer, T.B.; Giaquinto, A.N.; Sung, H.; Jemal, A. Cancer statistics, 2025. CA Cancer J. Clin. 2025, 75, 10–45. [Google Scholar] [CrossRef]
- Gandolfi, S.; Laubach, J.P.; Hideshima, T.; Chauhan, D.; Anderson, K.C.; Richardson, P.G. The proteasome and proteasome inhibitors in multiple myeloma. Cancer Metastasis Rev. 2017, 36, 561–584. [Google Scholar] [CrossRef]
- Teicher, B.A.; Tomaszewski, J.E. Proteasome inhibitors. Biochem. Pharmacol. 2015, 96, 1–9. [Google Scholar] [CrossRef]
- Stewart, A.K.; Rajkumar, S.V.; Dimopoulos, M.A.; Masszi, T.; Špička, I.; Oriol, A.; Hájek, R.; Rosiñol, L.; Siegel, D.S.; Mihaylov, G.G.; et al. Carfilzomib, lenalidomide, and dexamethasone for relapsed multiple myeloma. N. Engl. J. Med. 2015, 372, 142–152. [Google Scholar] [CrossRef] [PubMed]
- Shirley, M. Ixazomib: First Global Approval. Drugs 2016, 76, 405–411. [Google Scholar] [CrossRef]
- Lee, D.H.; Fradley, M.G. Cardiovascular Complications of Multiple Myeloma Treatment: Evaluation, Management, and Prevention. Curr. Treat. Options Cardiovasc. Med. 2018, 20, 19. [Google Scholar] [CrossRef] [PubMed]
- Shah, C.; Bishnoi, R.; Jain, A.; Bejjanki, H.; Xiong, S.; Wang, Y.; Zou, F.; Moreb, J.S. Cardiotoxicity associated with carfilzomib: Systematic review and meta-analysis. Leuk. Lymphoma 2018, 59, 2557–2569. [Google Scholar] [CrossRef] [PubMed]
- Grandin, E.W.; Ky, B.; Cornell, R.F.; Carver, J.; Lenihan, D.J. Patterns of cardiac toxicity associated with irreversible proteasome inhibition in the treatment of multiple myeloma. J. Card. Fail. 2015, 21, 138–144. [Google Scholar] [CrossRef]
- Fradley, M.G.; Groarke, J.D.; Laubach, J.; Alsina, M.; Lenihan, D.J.; Cornell, R.F.; Maglio, M.; Shain, K.H.; Richardson, P.G.; Moslehi, J. Recurrent cardiotoxicity potentiated by the interaction of proteasome inhibitor and immunomodulatory therapy for the treatment of multiple myeloma. Br. J. Haematol. 2018, 180, 271–275. [Google Scholar] [CrossRef]
- Waxman, A.J.; Clasen, S.; Hwang, W.T.; Garfall, A.; Vogl, D.T.; Carver, J.; O’Quinn, R.; Cohen, A.D.; Stadtmauer, E.A.; Ky, B.; et al. Carfilzomib-Associated Cardiovascular Adverse Events: A Systematic Review and Meta-analysis. JAMA Oncol. 2018, 4, e174519. [Google Scholar] [CrossRef]
- Cornell, R.F.; Ky, B.; Weiss, B.M.; Dahm, C.N.; Gupta, D.K.; Du, L.; Carver, J.R.; Cohen, A.D.; Engelhardt, B.G.; Garfall, A.L.; et al. Prospective Study of Cardiac Events During Proteasome Inhibitor Therapy for Relapsed Multiple Myeloma. J. Clin. Oncol. 2019, 37, 1946–1955. [Google Scholar] [CrossRef]
- Georgiopoulos, G.; Makris, N.; Laina, A.; Theodorakakou, F.; Briasoulis, A.; Trougakos, I.P.; Dimopoulos, M.A.; Kastritis, E.; Stamatelopoulos, K. Cardiovascular Toxicity of Proteasome Inhibitors: Underlying Mechanisms and Management Strategies: JACC: CardioOncology State-of-the-Art Review. JACC CardioOncol. 2023, 5, 1–21. [Google Scholar] [CrossRef]
- Liu, X.; Li, Z. The role and mechanism of epigenetics in anticancer drug-induced cardiotoxicity. Basic Res. Cardiol. 2025, 120, 11–24. [Google Scholar] [CrossRef]
- Rakyan, V.K.; Down, T.A.; Balding, D.J.; Beck, S. Epigenome-wide association studies for common human diseases. Nat. Rev. Genet. 2011, 12, 529–541. [Google Scholar] [CrossRef]
- Navas-Acien, A.; Domingo-Relloso, A.; Subedi, P.; Riffo-Campos, A.L.; Xia, R.; Gomez, L.; Haack, K.; Goldsmith, J.; Howard, B.V.; Best, L.G.; et al. Blood DNA Methylation and Incident Coronary Heart Disease: Evidence From the Strong Heart Study. JAMA Cardiol. 2021, 6, 1237–1246. [Google Scholar] [CrossRef]
- Agha, G.; Mendelson, M.M.; Ward-Caviness, C.K.; Joehanes, R.; Huan, T.; Gondalia, R.; Salfati, E.; Brody, J.A.; Fiorito, G.; Bressler, J.; et al. Blood Leukocyte DNA Methylation Predicts Risk of Future Myocardial Infarction and Coronary Heart Disease. Circulation 2019, 140, 645–657. [Google Scholar] [CrossRef] [PubMed]
- Kumar, S.; Paiva, B.; Anderson, K.C.; Durie, B.; Landgren, O.; Moreau, P.; Munshi, N.; Lonial, S.; Bladé, J.; Mateos, M.V.; et al. International Myeloma Working Group consensus criteria for response and minimal residual disease assessment in multiple myeloma. Lancet Oncol. 2016, 17, e328–e346. [Google Scholar] [CrossRef]
- Aryee, M.J.; Jaffe, A.E.; Corrada-Bravo, H.; Ladd-Acosta, C.; Feinberg, A.P.; Hansen, K.D.; Irizarry, R.A. Minfi: A flexible and comprehensive Bioconductor package for the analysis of Infinium DNA methylation microarrays. Bioinformatics 2014, 30, 1363–1369. [Google Scholar] [CrossRef] [PubMed]
- Du, P.; Zhang, X.; Huang, C.C.; Jafari, N.; Kibbe, W.A.; Hou, L.; Lin, S.M. Comparison of Beta-value and M-value methods for quantifying methylation levels by microarray analysis. BMC Bioinform. 2010, 11, 587. [Google Scholar] [CrossRef]
- Oytam, Y.; Sobhanmanesh, F.; Duesing, K.; Bowden, J.C.; Osmond-McLeod, M.; Ross, J. Risk-conscious correction of batch effects: Maximising information extraction from high-throughput genomic datasets. BMC Bioinform. 2016, 17, 332. [Google Scholar] [CrossRef] [PubMed]
- Ritchie, M.E.; Phipson, B.; Wu, D.; Hu, Y.; Law, C.W.; Shi, W.; Smyth, G.K. limma powers differential expression analyses for RNA-sequencing and microarray studies. Nucleic Acids Res. 2015, 43, e47. [Google Scholar] [CrossRef]
- van Iterson, M.; van Zwet, E.W.; Heijmans, B.T.; Consortium, B. Controlling bias and inflation in epigenome- and transcriptome-wide association studies using the empirical null distribution. Genome Biol. 2017, 18, 19. [Google Scholar] [CrossRef] [PubMed]
- Peters, T.J.; Buckley, M.J.; Statham, A.L.; Pidsley, R.; Samaras, K.; Lord, R.V.; Clark, S.J.; Molloy, P.L. De novo identification of differentially methylated regions in the human genome. Epigenetics Chromatin 2015, 8, 6. [Google Scholar] [CrossRef]
- Balduzzi, S.; Rücker, G.; Schwarzer, G. How to perform a meta-analysis with R: A practical tutorial. Evid. Based Ment. Health 2019, 22, 153–160. [Google Scholar] [CrossRef]
- Bakker, M.L.; Boukens, B.J.; Mommersteeg, M.T.; Brons, J.F.; Wakker, V.; Moorman, A.F.; Christoffels, V.M. Transcription factor Tbx3 is required for the specification of the atrioventricular conduction system. Circ. Res. 2008, 102, 1340–1349. [Google Scholar] [CrossRef]
- Hoogaars, W.M.; Engel, A.; Brons, J.F.; Verkerk, A.O.; de Lange, F.J.; Wong, L.Y.; Bakker, M.L.; Clout, D.E.; Wakker, V.; Barnett, P.; et al. Tbx3 controls the sinoatrial node gene program and imposes pacemaker function on the atria. Genes. Dev. 2007, 21, 1098–1112. [Google Scholar] [CrossRef]
- Hille, S.; Dierck, F.; Kühl, C.; Sosna, J.; Adam-Klages, S.; Adam, D.; Lüllmann-Rauch, R.; Frey, N.; Kuhn, C. Dyrk1a regulates the cardiomyocyte cell cycle via D-cyclin-dependent Rb/E2f-signalling. Cardiovasc. Res. 2016, 110, 381–394. [Google Scholar] [CrossRef]
- DNAJC18 DnaJ Heat Shock Protein Family (Hsp40) Member C18 [Homo sapiens (Human)]—Gene—NCBI. Available online: https://www.ncbi.nlm.nih.gov/gene/202052 (accessed on 19 November 2025).
- Malakhov, M.P.; Malakhova, O.A.; Kim, K.I.; Ritchie, K.J.; Zhang, D.E. UBP43 (USP18) specifically removes ISG15 from conjugated proteins. J. Biol. Chem. 2002, 277, 9976–9981. [Google Scholar] [CrossRef]
- Hipp, M.S.; Raasi, S.; Groettrup, M.; Schmidtke, G. NEDD8 ultimate buster-1L interacts with the ubiquitin-like protein FAT10 and accelerates its degradation. J. Biol. Chem. 2004, 279, 16503–16510. [Google Scholar] [CrossRef] [PubMed]
- Liu, S.; Yang, H.; Zhao, J.; Zhang, Y.H.; Song, A.X.; Hu, H.Y. NEDD8 ultimate buster-1 long (NUB1L) protein promotes transfer of NEDD8 to proteasome for degradation through the P97UFD1/NPL4 complex. J. Biol. Chem. 2013, 288, 31339–31349. [Google Scholar] [CrossRef]
- Hou, T.; Jian, C.; Xu, J.; Huang, A.Y.; Xi, J.; Hu, K.; Wei, L.; Cheng, H.; Wang, X. Identification of EFHD1 as a novel Ca2+ sensor for mitoflash activation. Cell Calcium 2016, 59, 262–270. [Google Scholar] [CrossRef]
- Nicholls, T.J.; Nadalutti, C.A.; Motori, E.; Sommerville, E.W.; Gorman, G.S.; Basu, S.; Hoberg, E.; Turnbull, D.M.; Chinnery, P.F.; Larsson, N.G.; et al. Topoisomerase 3α Is Required for Decatenation and Segregation of Human mtDNA. Mol. Cell 2018, 69, 9–23.e26. [Google Scholar] [CrossRef]
- Gao, S.; Zhang, L.; Sun, G. GLN2 as a key biomarker and therapeutic target: Evidence from a comprehensive pan-cancer study using molecular, functional, and bioinformatic analyses. Discov. Oncol. 2024, 15, 681. [Google Scholar] [CrossRef] [PubMed]
- Hu, Y.W.; Yang, J.Y.; Ma, X.; Chen, Z.P.; Hu, Y.R.; Zhao, J.Y.; Li, S.F.; Qiu, Y.R.; Lu, J.B.; Wang, Y.C.; et al. A lincRNA-DYNLRB2-2/GPR119/GLP-1R/ABCA1-dependent signal transduction pathway is essential for the regulation of cholesterol homeostasis. J. Lipid Res. 2014, 55, 681–697. [Google Scholar] [CrossRef] [PubMed]
- You, H.; Han, W. Identification of necroptosis-related diagnostic biomarkers in coronary heart disease. Heliyon 2024, 10, e30269. [Google Scholar] [CrossRef]
- Li, L.; Cong, Y.; Gao, X.; Wang, Y.; Lin, P. Differential expression profiles of long non-coding RNAs as potential biomarkers for the early diagnosis of acute myocardial infarction. Oncotarget 2017, 8, 88613–88621. [Google Scholar] [CrossRef]
- Li, R.A.; Traver, D.; Matthes, T.; Bertrand, J.Y. Ndrg1b and fam49ab modulate the PTEN pathway to control T-cell lymphopoiesis in the zebrafish. Blood 2016, 128, 3052–3060. [Google Scholar] [CrossRef]
- Consortium, G. The GTEx Consortium atlas of genetic regulatory effects across human tissues. Science 2020, 369, 1318–1330. [Google Scholar] [CrossRef]
- Statello, L.; Guo, C.J.; Chen, L.L.; Huarte, M. Gene regulation by long non-coding RNAs and its biological functions. Nat. Rev. Mol. Cell Biol. 2021, 22, 96–118. [Google Scholar] [CrossRef]
- Frank, D.U.; Carter, K.L.; Thomas, K.R.; Burr, R.M.; Bakker, M.L.; Coetzee, W.A.; Tristani-Firouzi, M.; Bamshad, M.J.; Christoffels, V.M.; Moon, A.M. Lethal arrhythmias in Tbx3-deficient mice reveal extreme dosage sensitivity of cardiac conduction system function and homeostasis. Proc. Natl. Acad. Sci. USA 2012, 109, E154–E163. [Google Scholar] [CrossRef] [PubMed]
- De Angelis, A.; Piegari, E.; Cappetta, D.; Marino, L.; Filippelli, A.; Berrino, L.; Ferreira-Martins, J.; Zheng, H.; Hosoda, T.; Rota, M.; et al. Anthracycline cardiomyopathy is mediated by depletion of the cardiac stem cell pool and is rescued by restoration of progenitor cell function. Circulation 2010, 121, 276–292. [Google Scholar] [CrossRef]
- Ebadi, N.; Arefizadeh, R.; Nasrollahzadeh Sabet, M.; Goodarzi, N. Identification of Key Genes and Biological Pathways Related to Myocardial Infarction through Integrated Bioinformatics Analysis. Iran. J. Med. Sci. 2023, 48, 35–42. [Google Scholar] [CrossRef]
- Kuhn, C.; Frank, D.; Will, R.; Jaschinski, C.; Frauen, R.; Katus, H.A.; Frey, N. DYRK1A is a novel negative regulator of cardiomyocyte hypertrophy. J. Biol. Chem. 2009, 284, 17320–17327. [Google Scholar] [CrossRef]
- Schrader, M.; Fahimi, H.D. Peroxisomes and oxidative stress. Biochim. Biophys. Acta 2006, 1763, 1755–1766. [Google Scholar] [CrossRef] [PubMed]
- Gallo, S.; Vitacolonna, A.; Bonzano, A.; Comoglio, P.; Crepaldi, T. ERK: A Key Player in the Pathophysiology of Cardiac Hypertrophy. Int. J. Mol. Sci. 2019, 20, 2164. [Google Scholar] [CrossRef]
- Kastritis, E.; Laina, A.; Georgiopoulos, G.; Gavriatopoulou, M.; Papanagnou, E.D.; Eleutherakis-Papaiakovou, E.; Fotiou, D.; Kanellias, N.; Dialoupi, I.; Makris, N.; et al. Carfilzomib-induced endothelial dysfunction, recovery of proteasome activity, and prediction of cardiovascular complications: A prospective study. Leukemia 2021, 35, 1418–1427. [Google Scholar] [CrossRef]
- Kelly, C.; Kiltschewskij, D.J.; Leong, A.J.W.; Haw, T.J.; Croft, A.J.; Balachandran, L.; Chen, D.; Bond, D.R.; Lee, H.J.; Cairns, M.J.; et al. Identifying common pathways for doxorubicin and carfilzomib-induced cardiotoxicities: Transcriptomic and epigenetic profiling. Sci. Rep. 2025, 15, 4395. [Google Scholar] [CrossRef] [PubMed]
- Zheng, S.L.; Henry, A.; Cannie, D.; Lee, M.; Miller, D.; McGurk, K.A.; Bond, I.; Xu, X.; Issa, H.; Francis, C.; et al. Genome-wide association analysis provides insights into the molecular etiology of dilated cardiomyopathy. Nat. Genet. 2024, 56, 2646–2658. [Google Scholar] [CrossRef]
- Jurgens, S.J.; Rämö, J.T.; Kramarenko, D.R.; Wijdeveld, L.F.J.M.; Haas, J.; Chaffin, M.D.; Garnier, S.; Gaziano, L.; Weng, L.C.; Lipov, A.; et al. Genome-wide association study reveals mechanisms underlying dilated cardiomyopathy and myocardial resilience. Nat. Genet. 2024, 56, 2636–2645. [Google Scholar] [CrossRef]
- Spielmann, N.; Miller, G.; Oprea, T.I.; Hsu, C.W.; Fobo, G.; Frishman, G.; Montrone, C.; Haseli Mashhadi, H.; Mason, J.; Munoz Fuentes, V.; et al. Extensive identification of genes involved in congenital and structural heart disorders and cardiomyopathy. Nat. Cardiovasc. Res. 2022, 1, 157–173. [Google Scholar] [CrossRef]
- Potu, H.; Sgorbissa, A.; Brancolini, C. Identification of USP18 as an important regulator of the susceptibility to IFN-alpha and drug-induced apoptosis. Cancer Res. 2010, 70, 655–665. [Google Scholar] [CrossRef]
- Stessman, H.A.; Baughn, L.B.; Sarver, A.; Xia, T.; Deshpande, R.; Mansoor, A.; Walsh, S.A.; Sunderland, J.J.; Dolloff, N.G.; Linden, M.A.; et al. Profiling bortezomib resistance identifies secondary therapies in a mouse myeloma model. Mol. Cancer Ther. 2013, 12, 1140–1150. [Google Scholar] [CrossRef] [PubMed]
- Ying, X.; Zhao, Y.; Yao, T.; Yuan, A.; Xu, L.; Gao, L.; Ding, S.; Ding, H.; Pu, J.; He, B. Novel Protective Role for Ubiquitin-Specific Protease 18 in Pathological Cardiac Remodeling. Hypertension 2016, 68, 1160–1170. [Google Scholar] [CrossRef]
- Eberhardt, D.R.; Lee, S.H.; Yin, X.; Balynas, A.M.; Rekate, E.C.; Kraiss, J.N.; Lang, M.J.; Walsh, M.A.; Streiff, M.E.; Corbin, A.C.; et al. EFHD1 ablation inhibits cardiac mitoflash activation and protects cardiomyocytes from ischemia. J. Mol. Cell Cardiol. 2022, 167, 1–14. [Google Scholar] [CrossRef] [PubMed]
- Moore, J.E.; Purcaro, M.J.; Pratt, H.E.; Epstein, C.B.; Shoresh, N.; Adrian, J.; Kawli, T.; Davis, C.A.; Dobin, A.; Kaul, R.; et al. Expanded encyclopaedias of DNA elements in the human and mouse genomes. Nature 2020, 583, 699–710. [Google Scholar] [CrossRef]
- Mendez-Lopez, M.; Besse, A.; Zuppinger, C.; Perez-Shibayama, C.; Gil-Cruz, C.; Florea, B.I.; De Martin, A.; Lütge, M.; Beckerova, D.; Klimovic, S.; et al. Carfilzomib-specific proteasome β5/β2 inhibition drives cardiotoxicity via remodeling of protein homeostasis and the renin-angiotensin-system. iScience 2025, 28, 113228. [Google Scholar] [CrossRef]




| Baseline Patients’ Characteristics (n = 79) | ||||||
|---|---|---|---|---|---|---|
| Variable | CFZ (n = 49) | BTZ (n = 30) | ||||
| CVAE (n = 23) | No-CVAE (n = 26) | p | CVAE (n = 5) | No-CVAE (n = 25) | p | |
| Continuous | ||||||
| Age (years) | 66.40 ± 9.30 | 63.85 ± 9.93 | 0.36 | 71.20 ± 13.60 | 61.88 ± 9.91 | 0.08 |
| Categorical | ||||||
| Sex | 0.48 | >0.99 | ||||
| Female | 5 (21.7%) | 7 (26.9%) | 2 (40.0%) | 12 (48.0%) | ||
| Male | 18 (78.3%) | 19 (73.1%) | 3 (60.0%) | 13 (52.0%) | ||
| Race | 0.67 | 0.63 | ||||
| White | 21 (91.3%) | 22 (84.6%) | 5 (100.0%) | 19 (76.0%) | ||
| African American | 2 (8.7%) | 4 (15.4%) | 0 (0.0%) | 5 (20.0%) | ||
| Other | 0 (0.0%) | 0 (0.0%) | 0 (0.0%) | 1 (4.0%) | ||
| Smoking status | 0.07 | >0.99 | ||||
| Yes | 14 (60.9%) | 8 (30.8%) | 1 (20.0%) | 4 (16.0%) | ||
| No | 9 (39.1%) | 18 (69.2%) | 4 (80.0%) | 21 (84.0%) | ||
| History of HTN | 0.35 | 0.13 | ||||
| Yes | 11 (47.8%) | 8 (30.8%) | 4 (80.0%) | 8 (32.0%) | ||
| No | 12 (52.2%) | 18 (69.2%) | 1 (20.0%) | 17 (68.0%) | ||
| Brain natriuretic peptide * | 0.006 | 0.03 | ||||
| High | 12 (52.2%) | 3 (11.5%) | 4 (80.0%) | 8 (32.0%) | ||
| Normal | 11 (47.8%) | 23 (88.4%) | 1 (20.0%) | 17 (68.0%) | ||
| No | CpG ID | CHR | Position | Gene Name | CFZ Analysis | BTZ Analysis | Meta-Analysis | ||||||||
|---|---|---|---|---|---|---|---|---|---|---|---|---|---|---|---|
| logFC | Δβ | p | FDR | logFC | Δβ | p | FDR | logFC | p | FDR | |||||
| 1 | cg15144237 | 2 | 16400125 | ENSG00000224400 | 0.39 | 0.04 | 9.45 × 10−10 | 0.001 | −0.10 | −0.02 | 0.58 | 0.97 | 0.18 | 0.48 | 0.98 |
| 2 | cg00927646 | 12 | 114656631 | TBX3 | 0.51 | 0.05 | 9.78 × 10−8 | 0.028 | −0.36 | −0.04 | 0.047 | 0.93 | 0.09 | 0.84 | 0.99 |
| 3 | cg10965131 | 7 | 151381909 | WDR86 | −0.53 | −0.05 | 1.00 × 10−7 | 0.028 | −0.53 | −0.03 | 0.93 | >0.99 | −0.32 | 0.20 | 0.98 |
| 4 | cg16099849 | 11 | 20609207 | SLC6A5 | 0.47 | 0.05 | 1.79 × 10−7 | 0.038 | 0.03 | 0.01 | 0.89 | 0.99 | 0.28 | 0.20 | 0.98 |
| 5 | cg10842296 | 16 | 80540122 | DYNLRB2 | 0.54 | 0.06 | 3.18 × 10−7 | 0.054 | 0.34 | −0.01 | 0.47 | 0.96 | 0.21 | 0.58 | 0.98 |
| 6 | cg09456439 | 21 | 37565327 | DYRK1A, KCNJ6 | −0.34 | −0.03 | 1.52 × 10−6 | 0.15 | 0.03 | 0.003 | 0.86 | 0.99 | −0.20 | 0.28 | 0.98 |
| 7 | cg09666417 | 5 | 139439593 | DNAJC18 | 0.05 | 0.003 | 0.66 | >0.99 | −0.96 | −0.05 | 3.41 × 10−7 | 0.14 | −0.44 | 0.38 | 0.98 |
| 8 | cg12987761 | 22 | 18148690 | USP18 | 0.003 | 0.002 | 0.98 | >0.99 | −0.84 | −0.10 | 5.00 × 10−7 | 0.14 | −0.41 | 0.33 | 0.98 |
| 9 | cg05020252 | 2 | 232634573 | EFHD1 | −0.04 | −0.001 | 0.86 | >0.99 | −0.91 | −0.04 | 7.40 × 10−7 | 0.14 | −0.44 | 0.31 | 0.98 |
| 10 | cg17933807 | 1 | 37596074 | GNL2 | −0.49 | −0.03 | 7.38 × 10−5 | 0.314 | −0.68 | −0.05 | 0.002 | 0.93 | −0.53 | 5.79 × 10−7 | 0.32 |
| 11 | cg06683313 | 17 | 18316066 | SMCR8, TOP3A | −0.24 | −0.03 | 4.43 × 10−5 | 0.28 | −0.30 | −0.04 | 0.01 | 0.93 | −0.25 | 1.70 × 10−6 | 0.32 |
Disclaimer/Publisher’s Note: The statements, opinions and data contained in all publications are solely those of the individual author(s) and contributor(s) and not of MDPI and/or the editor(s). MDPI and/or the editor(s) disclaim responsibility for any injury to people or property resulting from any ideas, methods, instructions or products referred to in the content. |
© 2026 by the authors. Licensee MDPI, Basel, Switzerland. This article is an open access article distributed under the terms and conditions of the Creative Commons Attribution (CC BY) license.
Share and Cite
Alshammari, R.A.; Rubinstein, S.M.; Farber-Eger, E.; Shaffer, L.L.; Tantawy, M.; Alomar, M.E.; Wells, Q.S.; Lenihan, D.; Cornell, R.F.; Shain, K.H.; et al. Epigenome-Wide Association Studies of Proteasome Inhibitor-Related Cardiotoxicity in Patients with Multiple Myeloma. Cancers 2026, 18, 505. https://doi.org/10.3390/cancers18030505
Alshammari RA, Rubinstein SM, Farber-Eger E, Shaffer LL, Tantawy M, Alomar ME, Wells QS, Lenihan D, Cornell RF, Shain KH, et al. Epigenome-Wide Association Studies of Proteasome Inhibitor-Related Cardiotoxicity in Patients with Multiple Myeloma. Cancers. 2026; 18(3):505. https://doi.org/10.3390/cancers18030505
Chicago/Turabian StyleAlshammari, Raed Awadh, Samuel M. Rubinstein, Eric Farber-Eger, Lauren Lee Shaffer, Marwa Tantawy, Mohammed E. Alomar, Quinn S. Wells, Daniel Lenihan, Robert F. Cornell, Kenneth H. Shain, and et al. 2026. "Epigenome-Wide Association Studies of Proteasome Inhibitor-Related Cardiotoxicity in Patients with Multiple Myeloma" Cancers 18, no. 3: 505. https://doi.org/10.3390/cancers18030505
APA StyleAlshammari, R. A., Rubinstein, S. M., Farber-Eger, E., Shaffer, L. L., Tantawy, M., Alomar, M. E., Wells, Q. S., Lenihan, D., Cornell, R. F., Shain, K. H., Baz, R. C., & Gong, Y. (2026). Epigenome-Wide Association Studies of Proteasome Inhibitor-Related Cardiotoxicity in Patients with Multiple Myeloma. Cancers, 18(3), 505. https://doi.org/10.3390/cancers18030505

