Metastasis-Directed Therapy in Oligometastatic Prostate Cancer: Biological Rationale and Systematic Review of Published Data
Simple Summary
Abstract
1. Introduction
1.1. Biological Processes Characterising Oligometastatic Prostate Cancer (OMPC)
1.2. Genomic and Molecular Landscape
1.3. MicroRNA and Epigenetic Regulation
1.4. Tumor Microenvironment (TME) and Immune Response
2. Methods
2.1. Study Selection
2.2. Data Extraction
2.3. Statistical Methods
3. Results
3.1. Treatment Escalation
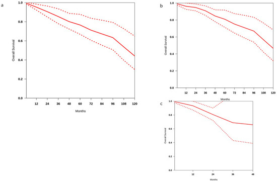
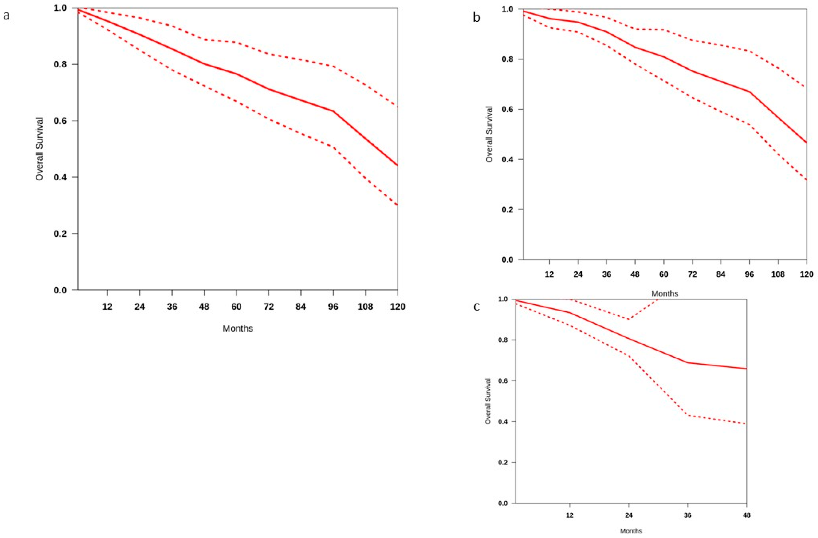
3.2. Overall Survival
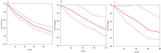
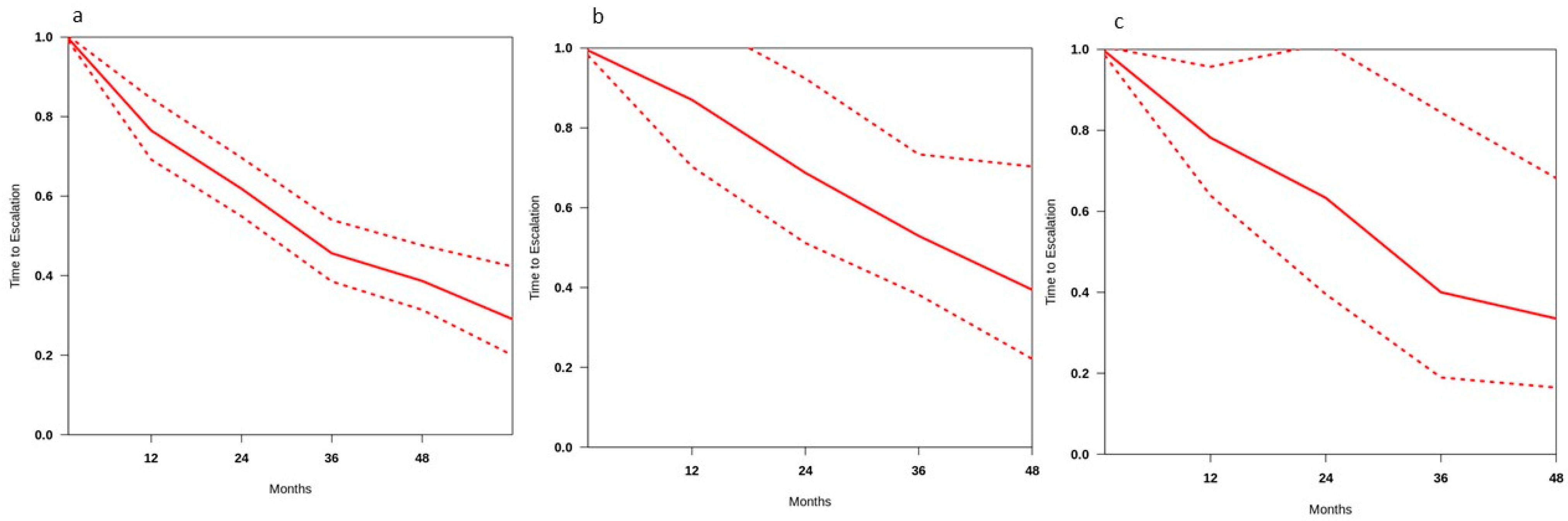
3.3. Disease-Progression-Free Survival
4. Discussion
- Low mutational burden (74.3% of OMPC cases) → Better prognosis. MDT alone may be sufficient.
- High-risk mutations (e.g., BRCA1/2, TP53, ATM) → MDT + systemic therapy is likely required to prevent early progression.
5. Limitations
6. Conclusions
Author Contributions
Funding
Conflicts of Interest
Abbreviations
References
- Surcel, C.; Kretschmer, A.; Mirvald, C.; Sinescu, I.; Heidegger, I.; Tsaur, I. Molecular Mechanisms Related with Oligometastatic Prostate Cancer—Is It Just a Matter of Numbers? Cancers 2022, 14, 766. [Google Scholar] [CrossRef] [PubMed]
- Deek, M.P.; Tran, P.T. Oligometastatic and Oligoprogression Disease and Local Therapies in Prostate Cancer. Cancer J. 2020, 26, 137–143. [Google Scholar] [CrossRef] [PubMed]
- Kucharczyk, M.J.; Gravis, G.; Niazi, T. The Biology of Oligometastatic Prostate Cancer: A Different Beast than Polymetastatic Prostate Cancer. Eur. Urol. Focus 2019, 5, 117–118. [Google Scholar] [CrossRef] [PubMed]
- Sridharan, S.; Steigler, A.; Spry, N.A.; Joseph, D.; Lamb, D.S.; Matthews, J.H.; Atkinson, C.; Tai, K.-H.; Duchesne, G.; Christie, D.; et al. Oligometastatic Bone Disease in Prostate Cancer Patients Treated on the TROG 03.04 RADAR Trial. Radiother. Oncol. 2016, 121, 98–102. [Google Scholar] [CrossRef]
- Juan, G.R.; Laura, F.H.; Javier, P.V.; Natalia, V.C.; Ma Isabel, G.R.; Enrique, R.G.; José Luis, S.P.; Pablo, A.L.; Noelia, S.S.; Roser, V.D.; et al. Where Do We Stand in the Management of Oligometastatic Prostate Cancer? A Comprehensive Review. Cancers 2022, 14, 2017. [Google Scholar] [CrossRef]
- Rao, A.; Vapiwala, N.; Schaeffer, E.M.; Ryan, C.J. Oligometastatic Prostate Cancer: A Shrinking Subset or an Opportunity for Cure? Am. Soc. Clin. Oncol. Educ. Book 2019, 39, 309–320. [Google Scholar] [CrossRef]
- Hellman, S.; Weichselbaum, R.R. Oligometastases. J. Clin. Oncol. 1995, 13, 8–10. [Google Scholar] [CrossRef]
- Sutera, P.; Van Der Eecken, K.; Kishan, A.U.; Hamid, A.; Grist, E.; Attard, G.; Lotan, T.; Mendes, A.A.; Paller, C.J.; Carducci, M.A.; et al. Definitions of Disease Burden across the Spectrum of Metastatic Castration-Sensitive Prostate Cancer: Comparison by Disease Outcomes and Genomics. Prostate Cancer Prostatic Dis. 2022, 25, 713–719. [Google Scholar] [CrossRef]
- Van Etten, J.L.; Dehm, S.M. Clonal Origin and Spread of Metastatic Prostate Cancer. Endocr. Relat. Cancer 2016, 23, R207–R217. [Google Scholar] [CrossRef]
- Deek, M.P.; Van der Eecken, K.; Sutera, P.; Deek, R.A.; Fonteyne, V.; Mendes, A.A.; Decaestecker, K.; Kiess, A.P.; Lumen, N.; Phillips, R.; et al. Long-Term Outcomes and Genetic Predictors of Response to Metastasis-Directed Therapy Versus Observation in Oligometastatic Prostate Cancer: Analysis of STOMP and ORIOLE Trials. JCO 2022, 40, 3377–3382. [Google Scholar] [CrossRef]
- Woodcock, D.J.; Riabchenko, E.; Taavitsainen, S.; Kankainen, M.; Gundem, G.; Brewer, D.S.; Ellonen, P.; Lepistö, M.; Golubeva, Y.A.; Warner, A.C.; et al. Prostate Cancer Evolution from Multilineage Primary to Single Lineage Metastases with Implications for Liquid Biopsy. Nat. Commun. 2020, 11, 5070. [Google Scholar] [CrossRef] [PubMed]
- Rao, S.; Verrill, C.; Cerundolo, L.; Alham, N.K.; Kaya, Z.; O’Hanlon, M.; Hayes, A.; Lambert, A.; James, M.; Tullis, I.D.C.; et al. Intra-Prostatic Tumour Evolution, Steps in Metastatic Spread and Histogenomic Associations Revealed by Integration of Multi-Region Whole-Genome Sequencing with Histopathological Features. Genome Med. 2024, 16, 35. [Google Scholar] [CrossRef] [PubMed]
- Liu, A.; Gao, Y.; Wang, Q.; Lin, W.; Ma, Z.; Yang, X.; Chen, L.; Xu, D. The Heterogeneity and Clonal Evolution Analysis of the Advanced Prostate Cancer with Castration Resistance. J. Transl. Med. 2023, 21, 641. [Google Scholar] [CrossRef]
- Sutera, P.A.; Shetty, A.C.; Hakansson, A.; Van der Eecken, K.; Song, Y.; Liu, Y.; Chang, J.; Fonteyne, V.; Mendes, A.A.; Lumen, N.; et al. Transcriptomic and Clinical Heterogeneity of Metastatic Disease Timing within Metastatic Castration-Sensitive Prostate Cancer. Ann. Oncol. 2023, 34, 605–614. [Google Scholar] [CrossRef] [PubMed]
- Grossmann, M.E.; Huang, H.; Tindall, D.J. Androgen Receptor Signaling in Androgen-Refractory Prostate Cancer. J. Natl. Cancer Inst. 2001, 93, 1687–1697. [Google Scholar] [CrossRef]
- Roudsari, N.M.; Lashgari, N.-A.; Momtaz, S.; Abaft, S.; Jamali, F.; Safaiepour, P.; Narimisa, K.; Jackson, G.; Bishayee, A.; Rezaei, N.; et al. Inhibitors of the PI3K/Akt/mTOR Pathway in Prostate Cancer Chemoprevention and Intervention. Pharmaceutics 2021, 13, 1195. [Google Scholar] [CrossRef]
- Shorning, B.Y.; Dass, M.S.; Smalley, M.J.; Pearson, H.B. The PI3K-AKT-mTOR Pathway and Prostate Cancer: At the Crossroads of AR, MAPK, and WNT Signaling. Int. J. Mol. Sci. 2020, 21, 4507. [Google Scholar] [CrossRef]
- Rascio, F.; Spadaccino, F.; Rocchetti, M.T.; Castellano, G.; Stallone, G.; Netti, G.S.; Ranieri, E. The Pathogenic Role of PI3K/AKT Pathway in Cancer Onset and Drug Resistance: An Updated Review. Cancers 2021, 13, 3949. [Google Scholar] [CrossRef]
- Ribatti, D.; Tamma, R.; Annese, T. Epithelial-Mesenchymal Transition in Cancer: A Historical Overview. Transl. Oncol. 2020, 13, 100773. [Google Scholar] [CrossRef]
- Montanari, M.; Rossetti, S.; Cavaliere, C.; D’Aniello, C.; Malzone, M.G.; Vanacore, D.; Franco, R.D.; Mantia, E.L.; Iovane, G.; Piscitelli, R.; et al. Epithelial-Mesenchymal Transition in Prostate Cancer: An Overview. Oncotarget 2017, 8, 35376–35389. [Google Scholar] [CrossRef]
- Katipally, R.R.; Pitroda, S.P.; Weichselbaum, R.R.; Hellman, S. Oligometastases: Characterising the Role of Epigenetic Regulation of Epithelial-Mesenchymal Transition. Clin. Cancer Res. 2023, 29, 2761–2766. [Google Scholar] [CrossRef] [PubMed]
- Lussier, Y.A.; Xing, H.R.; Salama, J.K.; Khodarev, N.N.; Huang, Y.; Zhang, Q.; Khan, S.A.; Yang, X.; Hasselle, M.D.; Darga, T.E.; et al. MicroRNA Expression Characterizes Oligometastasis(Es). PLoS ONE 2011, 6, e28650. [Google Scholar] [CrossRef]
- Katipally, R.R.; Pitroda, S.P.; Juloori, A.; Chmura, S.J.; Weichselbaum, R.R. The Oligometastatic Spectrum in the Era of Improved Detection and Modern Systemic Therapy. Nat. Rev. Clin. Oncol. 2022, 19, 585–599. [Google Scholar] [CrossRef] [PubMed]
- Shiao, S.L.; Chu, G.C.-Y.; Chung, L.W.K. Regulation of Prostate Cancer Progression by the Tumor Microenvironment. Cancer Lett. 2016, 380, 340–348. [Google Scholar] [CrossRef]
- Angeli, F.; Koumakis, G.; Chen, M.-C.; Kumar, S.; Delinassios, J.G. Role of Stromal Fibroblasts in Cancer: Promoting or Impeding? Tumour Biol. 2009, 30, 109–120. [Google Scholar] [CrossRef]
- Raaijmakers, K.T.P.M.; Adema, G.J.; Bussink, J.; Ansems, M. Cancer-Associated Fibroblasts, Tumor and Radiotherapy: Interactions in the Tumor Micro-Environment. J. Exp. Clin. Cancer Res. 2024, 43, 323. [Google Scholar] [CrossRef]
- Xu, L.; Mao, X.; Grey, A.; Scandura, G.; Guo, T.; Burke, E.; Marzec, J.; Abdu, S.; Stankiewicz, E.; Davies, C.R.; et al. Noninvasive Detection of Clinically Significant Prostate Cancer Using Circulating Tumor Cells. J. Urol. 2020, 203, 73–82. [Google Scholar] [CrossRef]
- Institute of Health Economics|About Methodology Development. Available online: https://www.ihe.ca/research-programs/rmd/cssqac/cssqac-about (accessed on 7 February 2025).
- Combescure, C.; Foucher, Y.; Jackson, D. Meta-Analysis of Single-Arm Survival Studies: A Distribution-Free Approach for Estimating Summary Survival Curves with Random Effects. Stat. Med. 2014, 33, 2521–2537. [Google Scholar] [CrossRef]
- Earle, C.C.; Pham, B.; Wells, G.A. An Assessment of Methods to Combine Published Survival Curves. Med. Decis. Mak. 2000, 20, 104–111. [Google Scholar] [CrossRef]
- DerSimonian, R.; Laird, N. Meta-Analysis in Clinical Trials. Control Clin. Trials 1986, 7, 177–188. [Google Scholar] [CrossRef]
- Cabibbo, G.; Enea, M.; Attanasio, M.; Bruix, J.; Craxì, A.; Cammà, C. A Meta-Analysis of Survival Rates of Untreated Patients in Randomised Clinical Trials of Hepatocellular Carcinoma. Hepatology 2010, 51, 1274–1283. [Google Scholar] [CrossRef] [PubMed]
- Ost, P.; Reynders, D.; Decaestecker, K.; Fonteyne, V.; Lumen, N.; De Bruycker, A.; Lambert, B.; Delrue, L.; Bultijnck, R.; Claeys, T.; et al. Surveillance or Metastasis-Directed Therapy for Oligometastatic Prostate Cancer Recurrence: A Prospective, Randomised, Multicenter Phase II Trial. JCO 2018, 36, 446–453. [Google Scholar] [CrossRef] [PubMed]
- Phillips, R.; Shi, W.Y.; Deek, M.; Radwan, N.; Lim, S.J.; Antonarakis, E.S.; Rowe, S.P.; Ross, A.E.; Gorin, M.A.; Deville, C.; et al. Outcomes of Observation vs Stereotactic Ablative Radiation for Oligometastatic Prostate Cancer. JAMA Oncol. 2020, 6, 650–659. [Google Scholar] [CrossRef] [PubMed]
- Francolini, G.; Allegra, A.G.; Detti, B.; Di Cataldo, V.; Caini, S.; Bruni, A.; Ingrosso, G.; D’Angelillo, R.M.; Alitto, A.R.; Augugliaro, M.; et al. Stereotactic Body Radiation Therapy and Abiraterone Acetate for Patients Affected by Oligometastatic Castrate-Resistant Prostate Cancer: A Randomized Phase II Trial (ARTO). JCO 2023, 41, 5561–5568. [Google Scholar] [CrossRef]
- Hao, C.; Ladbury, C.; Lyou, Y.; Manoukian, S.; Ruel, C.; Frankel, P.; Dorff, T.; Wong, J.; Pal, S.; Twardowski, P.; et al. Long-Term Outcomes of Patients on a Phase II Prospective Trial of Oligometastatic Hormone-Sensitive Prostate Cancer Treated With Androgen Deprivation and External Beam Radiation. Int. J. Radiat. Oncol. Biol. Phys. 2022, 114, 705–710. [Google Scholar] [CrossRef]
- Bowden, P.; See, A.W.; Frydenberg, M.; Haxhimolla, H.; Costello, A.J.; Moon, D.; Ruljancich, P.; Grummet, J.; Crosthwaite, A.; Pranavan, G.; et al. Fractionated Stereotactic Body Radiotherapy for up to Five Prostate Cancer Oligometastases: Interim Outcomes of a Prospective Clinical Trial. Intl. J. Cancer 2020, 146, 161–168. [Google Scholar] [CrossRef]
- Deek, M.P.; Taparra, K.; Phillips, R.; Velho, P.I.; Gao, R.W.; Deville, C.; Song, D.Y.; Greco, S.; Carducci, M.; Eisenberger, M.; et al. Metastasis-Directed Therapy Prolongs Efficacy of Systemic Therapy and Improves Clinical Outcomes in Oligoprogressive Castration-Resistant Prostate Cancer. Eur. Urol. Oncol. 2021, 4, 447–455. [Google Scholar] [CrossRef]
- Zhang, H.; Orme, J.J.; Abraha, F.; Stish, B.J.; Lowe, V.J.; Lucien, F.; Tryggestad, E.J.; Bold, M.S.; Pagliaro, L.C.; Choo, C.R.; et al. Phase II Evaluation of Stereotactic Ablative Radiotherapy (SABR) and Immunity in 11C-Choline-PET/CT-Identified Oligometastatic Castration-Resistant Prostate Cancer. Clin. Cancer Res. 2021, 27, 6376–6383. [Google Scholar] [CrossRef]
- Pan, J.; Wei, Y.; Zhang, T.; Liu, C.; Hu, X.; Zhao, J.; Gan, H.; Liu, W.; Zhu, B.; Wu, J.; et al. Stereotactic Radiotherapy for Lesions Detected via 68Ga-Prostate-Specific Membrane Antigen and 18F-Fluorodexyglucose Positron Emission Tomography/Computed Tomography in Patients with Nonmetastatic Prostate Cancer with Early Prostate-Specific Antigen Progression on Androgen Deprivation Therapy: A Prospective Single-Center Study. Eur. Urol. Oncol. 2022, 5, 420–427. [Google Scholar] [CrossRef]
- Pasqualetti, F.; Panichi, M.; Sainato, A.; Matteucci, F.; Galli, L.; Cocuzza, P.; Ferrazza, P.; Coraggio, G.; Pasqualetti, G.; Derosa, L.; et al. [18F]Choline PET/CT and Stereotactic Body Radiotherapy on Treatment Decision Making of Oligometastatic Prostate Cancer Patients: Preliminary Results. Radiat. Oncol. 2016, 11, 9. [Google Scholar] [CrossRef]
- Decaestecker, K.; De Meerleer, G.; Lambert, B.; Delrue, L.; Fonteyne, V.; Claeys, T.; De Vos, F.; Huysse, W.; Hautekiet, A.; Maes, G.; et al. Repeated Stereotactic Body Radiotherapy for Oligometastatic Prostate Cancer Recurrence. Radiat. Oncol. 2014, 9, 135. [Google Scholar] [CrossRef] [PubMed]
- Deodato, F.; Pezzulla, D.; Cilla, S.; Ferro, M.; Romano, C.; Bonome, P.; Buwenge, M.; Zamagni, A.; Strigari, L.; Valentini, V.; et al. Stereotactic Radiosurgery for Bone Metastases in Oligometastatic Prostate Cancer Patients: DESTROY-2 Clinical Trial Subanalysis. Clin. Transl. Oncol. 2022, 24, 1177–1183. [Google Scholar] [CrossRef] [PubMed]
- Evans, J.D.; Morris, L.K.; Zhang, H.; Cao, S.; Liu, X.; Mara, K.C.; Stish, B.J.; Davis, B.J.; Mansfield, A.S.; Dronca, R.S.; et al. Prospective Immunophenotyping of CD8+ T Cells and Associated Clinical Outcomes of Patients with Oligometastatic Prostate Cancer Treated With Metastasis-Directed SBRT. Int. J. Radiat. Oncol. Biol. Phys. 2019, 103, 229–240. [Google Scholar] [CrossRef] [PubMed]
- Glicksman, R.M.; Ramotar, M.; Metser, U.; Chung, P.W.; Liu, Z.; Vines, D.; Finelli, A.; Hamilton, R.; Fleshner, N.E.; Perlis, N.; et al. Extended Results and Independent Validation of a Phase 2 Trial of Metastasis-Directed Therapy for Molecularly Defined Oligometastatic Prostate Cancer. Int. J. Radiat. Oncol. Biol. Phys. 2022, 114, 693–704. [Google Scholar] [CrossRef]
- Gomez-Iturriaga, A.; Casquero Ocio, F.; Ost, P.; Fernandez, I.; Rodeño, E.; Llarena, R.; Garcia-Olaverri, J.; Ortiz de Zarate, R.; Cacicedo, J.; Ahtamon, A.; et al. Outcomes after a First and/or Second Salvage Treatment in Patients with Oligometastatic Prostate Cancer Recurrence Detected by (18-F) Choline PET-CT. Eur. J. Cancer Care 2019, 28, e13093. [Google Scholar] [CrossRef]
- Hölscher, T.; Baumann, M.; Kotzerke, J.; Zöphel, K.; Paulsen, F.; Müller, A.-C.; Zips, D.; Koi, L.; Thomas, C.; Löck, S.; et al. Toxicity and Efficacy of Local Ablative, Image-Guided Radiotherapy in Gallium-68 Prostate-Specific Membrane Antigen Targeted Positron Emission Tomography–Staged, Castration-Sensitive Oligometastatic Prostate Cancer: The OLI-P Phase 2 Clinical Trial. Eur. Urol. Oncol. 2022, 5, 44–51. [Google Scholar] [CrossRef]
- Kneebone, A.; Hruby, G.; Ainsworth, H.; Byrne, K.; Brown, C.; Guo, L.; Guminski, A.; Eade, T. Stereotactic Body Radiotherapy for Oligometastatic Prostate Cancer Detected via Prostate-Specific Membrane Antigen Positron Emission Tomography. Eur. Urol. Oncol. 2018, 1, 531–537. [Google Scholar] [CrossRef]
- Supiot, S.; Vaugier, L.; Pasquier, D.; Buthaud, X.; Magné, N.; Peiffert, D.; Sargos, P.; Crehange, G.; Pommier, P.; Loos, G.; et al. OLIGOPELVIS GETUG P07, a Multicenter Phase II Trial of Combined High-Dose Salvage Radiotherapy and Hormone Therapy in Oligorecurrent Pelvic Node Relapses in Prostate Cancer. Eur. Urol. 2021, 80, 405–414. [Google Scholar] [CrossRef]
- Siva, S.; Bressel, M.; Murphy, D.G.; Shaw, M.; Chander, S.; Violet, J.; Tai, K.H.; Udovicich, C.; Lim, A.; Selbie, L.; et al. Stereotactic Abative Body Radiotherapy (SABR) for Oligometastatic Prostate Cancer: A Prospective Clinical Trial. Eur. Urol. 2018, 74, 455–462. [Google Scholar] [CrossRef]
- Liu, Z.; Chen, J.; Ren, Y.; Liu, S.; Ba, Y.; Zuo, A.; Luo, P.; Cheng, Q.; Xu, H.; Han, X. Multi-Stage Mechanisms of Tumor Metastasis and Therapeutic Strategies. Signal Transduct. Target. Ther. 2024, 9, 270. [Google Scholar] [CrossRef]
- Kalina, J.L.; Neilson, D.S.; Comber, A.P.; Rauw, J.M.; Alexander, A.S.; Vergidis, J.; Lum, J.J. Immune Modulation by Androgen Deprivation and Radiation Therapy: Implications for Prostate Cancer Immunotherapy. Cancers 2017, 9, 13. [Google Scholar] [CrossRef] [PubMed]
- Qin, C.; Wang, J.; Du, Y.; Xu, T. Immunosuppressive Environment in Response to Androgen Deprivation Treatment in Prostate Cancer. Front. Endocrinol. 2022, 13, 1055826. [Google Scholar] [CrossRef]
- Nakazawa, M.; Kyprianou, N. Epithelial-Mesenchymal-Transition Regulators in Prostate Cancer: Androgens and Beyond. J. Steroid Biochem. Mol. Biol. 2017, 166, 84–90. [Google Scholar] [CrossRef] [PubMed]
- Turco, F.; Prima, L.D.; Pisano, C.; Poletto, S.; Filippis, M.D.; Crespi, V.; Farinea, G.; Cani, M.; Calabrese, M.; Saporita, I.; et al. How to Improve the Quality of Life of Patients with Prostate Cancer Treated with Hormone Therapy? RRU 2023, 15, 9–26. [Google Scholar] [CrossRef] [PubMed]
- Ben-Batalla, I.; Vargas-Delgado, M.E.; von Amsberg, G.; Janning, M.; Loges, S. Influence of Androgens on Immunity to Self and Foreign: Effects on Immunity and Cancer. Front. Immunol. 2020, 11, 1184. [Google Scholar] [CrossRef]
- Ceder, Y.; Bjartell, A.; Culig, Z.; Rubin, M.A.; Tomlins, S.; Visakorpi, T. The Molecular Evolution of Castration-Resistant Prostate Cancer. Eur. Urol. Focus 2016, 2, 506–513. [Google Scholar] [CrossRef]
- Colosini, A.; Bernardi, S.; Foroni, C.; Pasinetti, N.; Guerini, A.E.; Russo, D.; Bresciani, R.; Tomasi, C.; Magrini, S.M.; Bardoscia, L.; et al. Stratification of Oligometastatic Prostate Cancer Patients by Liquid Biopsy: Clinical Insights from a Pilot Study. Biomedicines 2022, 10, 1321. [Google Scholar] [CrossRef]
- Massaro, M.; Facondo, G.; Vullo, G.; Aschelter, A.M.; Rossi, A.; De Sanctis, V.; Marchetti, P.; Osti, M.F.; Valeriani, M. Androgen Receptor Targeted Therapy + Radiotherapy in Metastatic Castration Resistant Prostate Cancer. Front. Oncol. 2021, 11, 695136. [Google Scholar] [CrossRef]




| Author (Reference) | N | Mean Age | Gleason Score (≤7/≥8) | PSA Median | PET Scan (Yes/No) | Prior Surgery | Prior RT | ADT (Yes/No) | Castration Sensitivity (Sensitive/Resistant) | Number of Metastases (≤3/>3) | Site of Metastases (Bone/Node/Both/Other) | Time from Primary Therapy to SBRT (Months) |
|---|---|---|---|---|---|---|---|---|---|---|---|---|
| Bowden et al. [37] | 199 | 67.4 | 115/77 | 1.8 | 138/38 | 185 | 12 | 33/152 | 185/14 | 165/34 | 45/126/24/4 | 3.8 |
| Decaestecker et al. [42] | 50 | 59 | 17/33 | 5.1 | 18/32 | 42 | 8 | 0/50 | 50/0 | 50/0 | 22/24/2/1 | 5.3 |
| Deodato et al. [43] | 37 | 73.5 | 20/17 | 1.8 | nr | nr | nr | 37/0 | 37/0 | 37/0 | 50/0/0/0 | Nr |
| Evans et al. [44] | 37 | 67.6 | 21/16 | 4.4 | nr | Nr | 27 | 5/25 | 0/25 | 12/37 | 36/1/0/0 | 5.3 |
| Glickman et al. [45] | 74 | 61 | 58/14 | 1 | 74/0 | 74 | 0 | 0/74 | 74/0 | 62/12 | 9/64/1/0 | 4.9 |
| Gomez-Iturriaga et al. [46] | 49 | 71 | 25/24 | 4.3 | 49/0 | 32 | 14 | 40/9 | 49/0 | 48/1 | 13/34/2/0 | nr |
| Hao et al. [36] | 29 | 67 | 16/12 | 9.7 | nr | nr | 13 | 1/29 | 0/29 | 0/27 | 16/8/5/0 | 0.7 |
| Holsher et al. [47] | 63 | 72 | 44/18 | 10.2 | 63/0 | 60 | 3 | 0/63 | 63/0 | 61/2 | 16/43/4/0 | 4.7 |
| Kneebone et al. [48] | 57 | 64 | 38/19 | 2.12 | 57/0 | 50 | 7 | 57/0 | 57/0 | 57/0 | 18/37/2/0 | 5.6 |
| Ost et al. [33] | 31 | 62 | 21/10 | 5.3 | 31/0 | 24 | 7 | 0/31 | 31/0 | 31/0 | 14/17/0/1 | 5.3 |
| Phillips et al. [34] | 36 | 68 | 25/11 | 6 | 36/0 | 30 | 6 | 0/36 | 36/0 | NR/NR | 15/21/0/0 | 1.8 |
| Supiot et al. [49] | 67 | 67.5 | 57/10 | 3.7 | 67/0 | 61 | 6 | 67/0 | 67/0 | 62/5 | 0/67/0/0 | 4.5 |
| Siva et al. [50] | 39 | 70 | 18/21 | 6.4 | 39/0 | 18 | 15 | 33/0 | 33/6 | 39/0 | 21/13/2/0 | 0.9 |
| Deek et al. [38] | 68 | nr | 24/42 | 8.8 | nr | nr | nr | 68/0 | 0/68 | nr | nr | nr |
| Francolini et al. [35] | 75 | 74 | 13/62 | 3.4 | 71/4 | nr | nr | 75/0 | 0/75 | 75/0 | 42/33/0/0 | nr |
| Phillips et al. [34] | 89 | 70.8 | nr | nr | 89/0 | 74 | nr | 89/0 | 0/89 | 89/0 | 71/5/12/1 | nr |
| Pan et al. [40] | 29 | 69 | 9/20 | 0.61 | 29/0 | 28 | 1 | 29/0 | 0/29 | 26/3 | 15/10/4/0 | 2.9 |
| Pasqualetti et al. [41] | 29 | 69.9 | nr | 3.43 | 29/0 | nr | nr | 29/0 | 0/29 | nr | 13/16/1/0 | 3.2 |
Disclaimer/Publisher’s Note: The statements, opinions and data contained in all publications are solely those of the individual author(s) and contributor(s) and not of MDPI and/or the editor(s). MDPI and/or the editor(s) disclaim responsibility for any injury to people or property resulting from any ideas, methods, instructions or products referred to in the content. |
© 2025 by the authors. Licensee MDPI, Basel, Switzerland. This article is an open access article distributed under the terms and conditions of the Creative Commons Attribution (CC BY) license (https://creativecommons.org/licenses/by/4.0/).
Share and Cite
Fiorica, F.; Sava, T.; Giuliani, J.; Tebano, U.; Napoli, G.; Franceschetto, A.; Durante, E.; Campisi, I.; Palesandro, E.; Turco, F.; et al. Metastasis-Directed Therapy in Oligometastatic Prostate Cancer: Biological Rationale and Systematic Review of Published Data. Cancers 2025, 17, 1256. https://doi.org/10.3390/cancers17081256
Fiorica F, Sava T, Giuliani J, Tebano U, Napoli G, Franceschetto A, Durante E, Campisi I, Palesandro E, Turco F, et al. Metastasis-Directed Therapy in Oligometastatic Prostate Cancer: Biological Rationale and Systematic Review of Published Data. Cancers. 2025; 17(8):1256. https://doi.org/10.3390/cancers17081256
Chicago/Turabian StyleFiorica, Francesco, Teodoro Sava, Jacopo Giuliani, Umberto Tebano, Giuseppe Napoli, Antonella Franceschetto, Emilia Durante, Ilaria Campisi, Erica Palesandro, Fabio Turco, and et al. 2025. "Metastasis-Directed Therapy in Oligometastatic Prostate Cancer: Biological Rationale and Systematic Review of Published Data" Cancers 17, no. 8: 1256. https://doi.org/10.3390/cancers17081256
APA StyleFiorica, F., Sava, T., Giuliani, J., Tebano, U., Napoli, G., Franceschetto, A., Durante, E., Campisi, I., Palesandro, E., Turco, F., Buttigliero, C., Munoz, F., & Tucci, M. (2025). Metastasis-Directed Therapy in Oligometastatic Prostate Cancer: Biological Rationale and Systematic Review of Published Data. Cancers, 17(8), 1256. https://doi.org/10.3390/cancers17081256

