Measurement of Melanocytic Choroidal Lesions: Ultrasound Versus Ultrawide-Field Fundus Imaging System
Simple Summary
Abstract
1. Introduction
2. Materials and Methods
2.1. Study Design and Eligibility Criteria
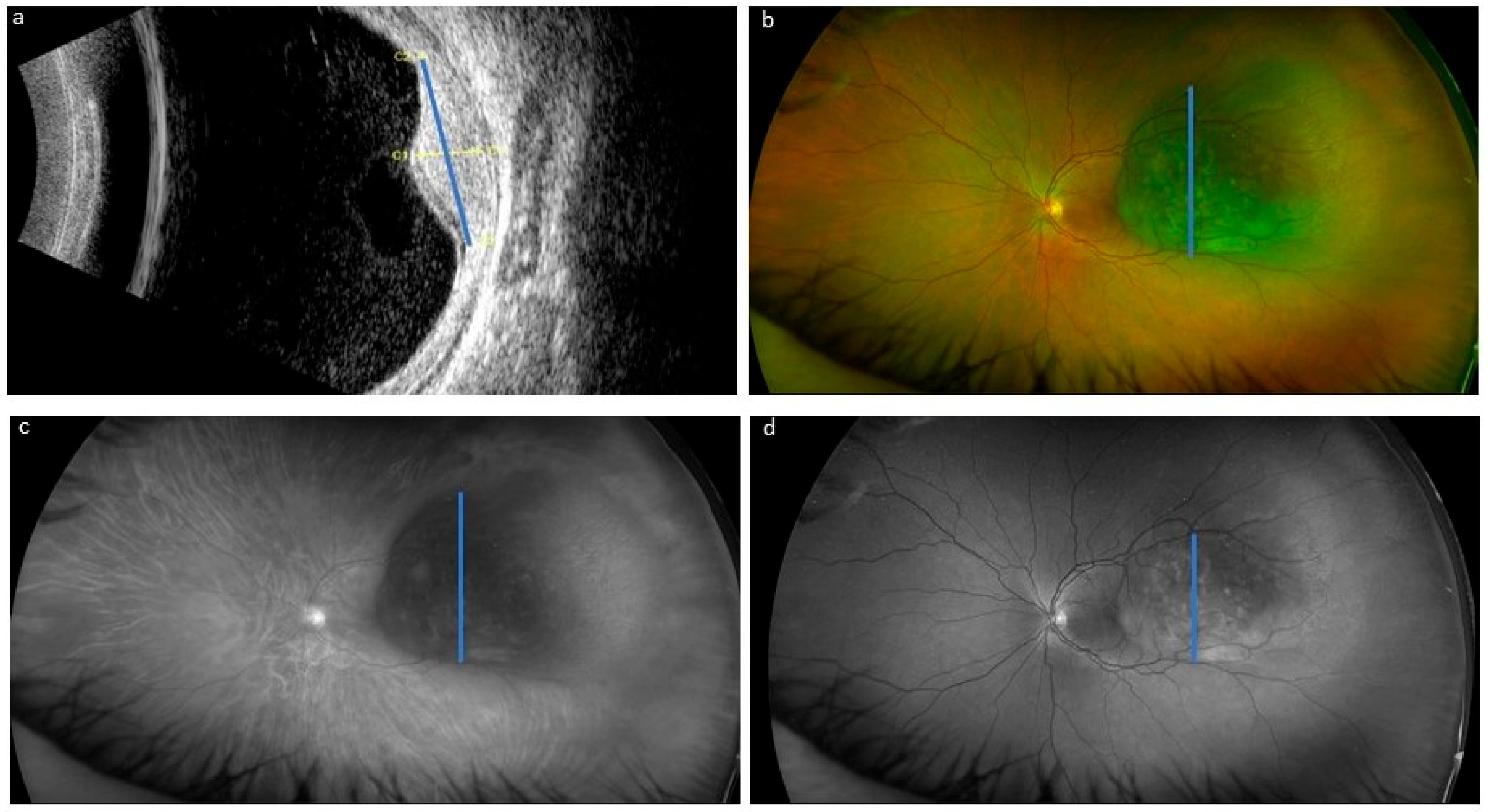
2.2. Ultrasound Image Acquisition
2.3. Ultrawide Field Image Acquisition
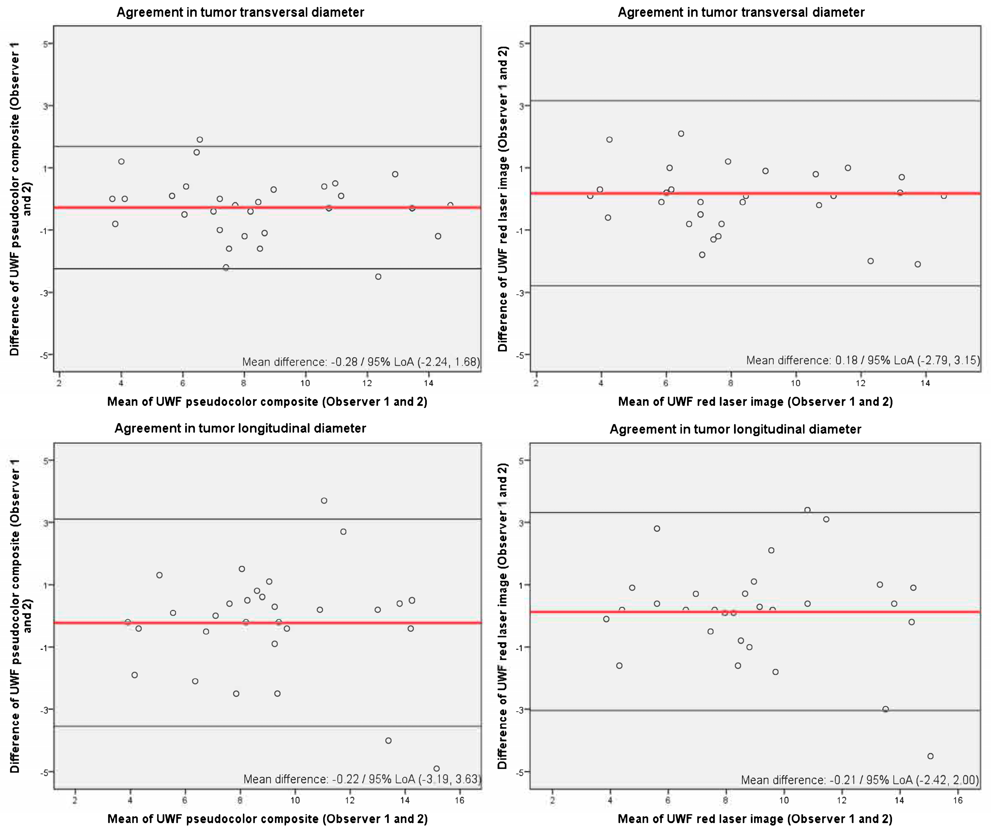
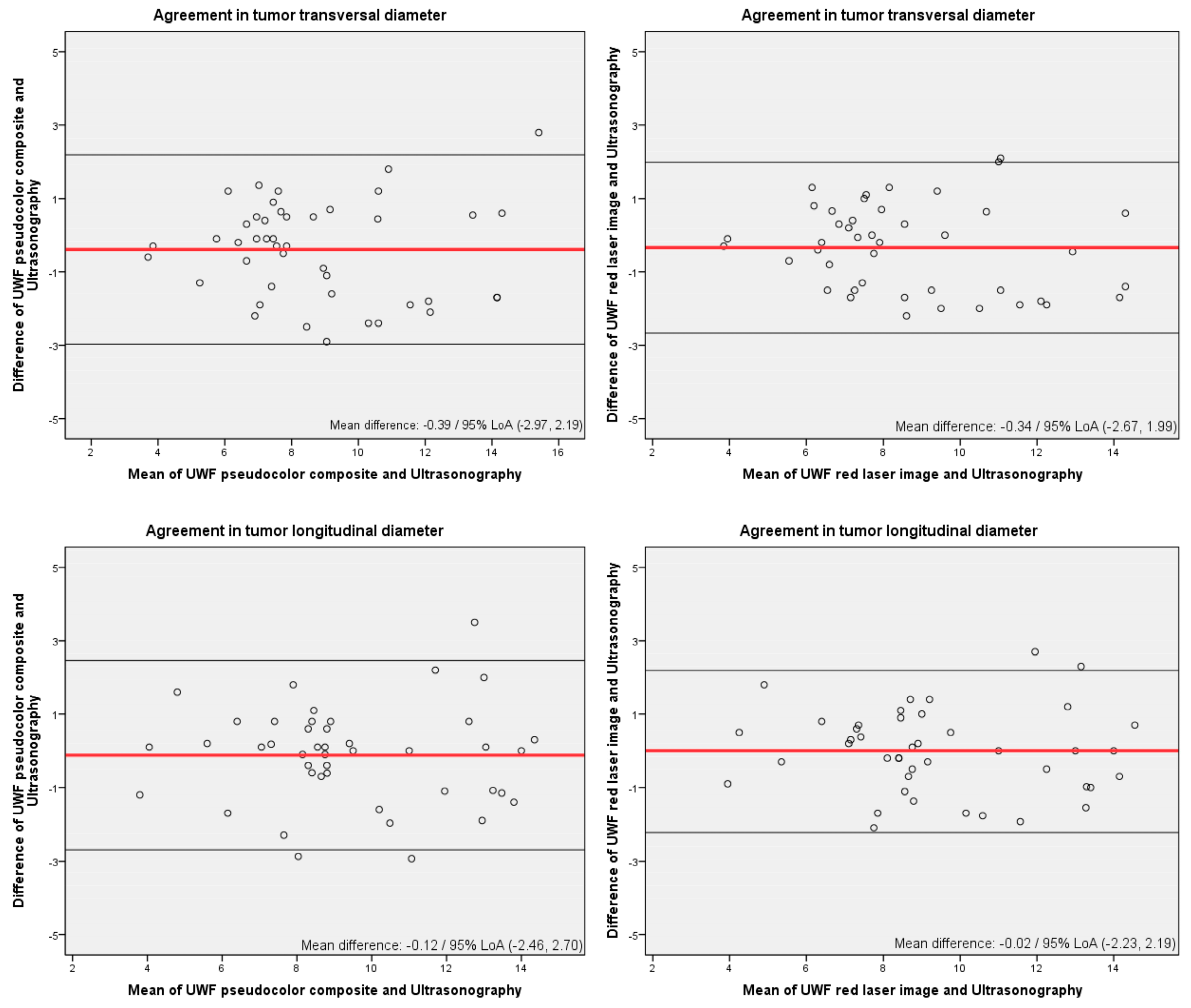
2.4. Statistical Analysis
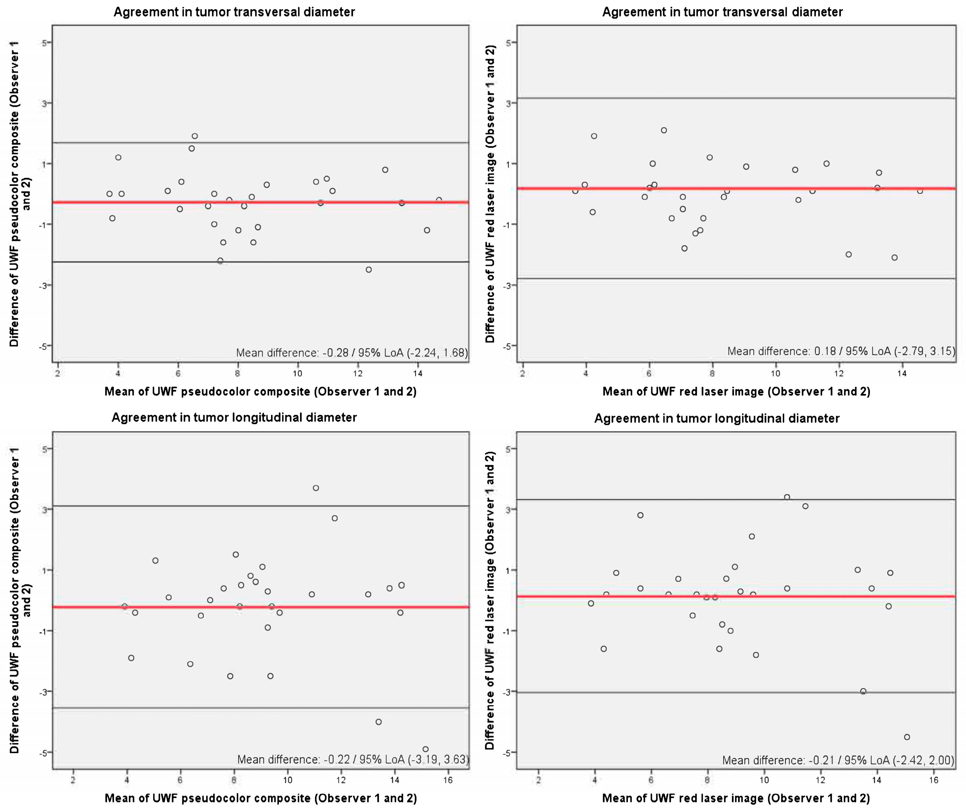
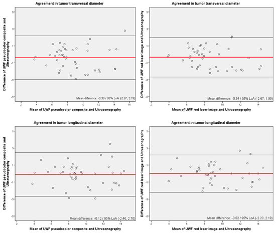
3. Results
4. Discussion
5. Conclusions
Author Contributions
Funding
Institutional Review Board Statement
Informed Consent Statement
Data Availability Statement
Conflicts of Interest
References
- Ganley, J.P.; Comstock, G.W. Benign nevi and malignant melanomas of the choroid. Am. J. Ophthalmol. 1973, 76, 19–25. [Google Scholar] [CrossRef] [PubMed]
- Shields, C.L.; Furuta, M.; Mashayekhi, A.; Berman, E.L.; Zahler, J.D.; Hoberman, D.M.; Dinh, D.H.; Shields, J.A. Clinical spectrum of choroidal nevi based on age at presentation in 3422 consecutive eyes. Ophthalmology 2008, 115, 546–552.e2. [Google Scholar] [CrossRef] [PubMed]
- Shields, C.L.; Furuta, M.; Mashayekhi, A.; Berman, E.L.; Zahler, J.D.; Hoberman, D.M.; Dinh, D.H.; Shields, J.A. Visual acuity in 3422 consecutive eyes with choroidal nevus. Arch. Ophthalmol. 2007, 125, 1501–1507. [Google Scholar] [CrossRef]
- Singh, A.D.; Kalyani, P.; Topham, A. Estimating the risk of malignant transformation of a choroidal nevus. Ophthalmology 2005, 112, 1784–1789. [Google Scholar] [CrossRef]
- Sumich, P.; Mitchell, P.; Wang, J.J. Choroidal nevi in a white population: The Blue Mountains Eye Study. Arch. Ophthalmol. 1998, 116, 645–650. [Google Scholar] [CrossRef]
- Shields, C.L.; Sioufi, K.; Srinivasan, A.; Dinicola, M.; Masoomian, B.; Barna, L.E.; Bekerman, V.P.; Say, E.A.T.; Mashayekhi, A.; Emrich, J.; et al. Visual Outcome and Millimeter Incremental Risk of Metastasis in 1780 Patients with Small Choroidal Melanoma Managed by Plaque Radiotherapy. JAMA Ophthalmol. 2018, 136, 1325–1333. [Google Scholar] [CrossRef] [PubMed]
- Diener-West, M.; Reynolds, S.M.; Agugliaro, D.J.; Caldwell, R.; Cumming, K.; Earle, J.D.; Hawkins, B.S.; Hayman, J.A.; Jaiyesimi, I.; Jampol, L.M.; et al. Development of metastatic disease after enrollment in the COMS trials for treatment of choroidal melanoma: Collaborative Ocular Melanoma Study Group Report No. 26. Arch. Ophthalmol. 2005, 123, 1639–1643. [Google Scholar] [CrossRef] [PubMed]
- Shields, C.L.; Dalvin, L.A.; Ancona-Lezama, D.; Yu, M.D.; Di Nicola, M.; Williams, B.K.; Lucio-Alvarez, J.A.; Ang, S.M.; Maloney, S.; Welch, R.J.; et al. Choroidal nevus imaging features in 3806 cases and risk factors for transformation into melanoma in 2355 cases. Retina 2019, 39, 1840–1851. [Google Scholar] [CrossRef] [PubMed]
- Kadakia, A.; Zhang, J.; Yao, X.; Zhou, Q.; Heiferman, M.J. Ultrasound in ocular oncology: Technical advances, clinical applications, and limitations. Exp. Biol. Med. 2023, 248, 371. [Google Scholar] [CrossRef] [PubMed]
- Furdova, A.; Furda, R.; Sramka, M.; Chorvath, M.; Rybar, J.; Vesely, P.; Valaskova, J.; Siska, V. Stereotactic irradiation on linear accelerator—Ultrasound versus MRI in choroidal melanoma volume calculation. BMC Ophthalmol. 2022, 22, 333. [Google Scholar] [CrossRef]
- Jaarsma-Coes, M.G.; Klaassen, L.; Marinkovic, M.; Luyten, G.P.M.; Vu, T.H.K.; Ferreira, T.A.; Beenakker, J.W.M. Magnetic Resonance Imaging in the Clinical Care for Uveal Melanoma Patients—A Systematic Review from an Ophthalmic Perspective. Cancers 2023, 15, 2995. [Google Scholar] [CrossRef]
- Fonk, L.G.; Ferreira, T.A.; Webb, A.G.; Luyten, G.P.M.; Beenakker, J.W.M. The Economic Value of MR-Imaging for Uveal Melanoma. Clin. Ophthalmol. 2020, 14, 1135. [Google Scholar] [CrossRef]
- Lee, C.H.; Lee, H.; Lee, S.M.; Choi, E.Y.; Lee, J.; Kim, M. Clinical and Multimodal Imaging Features of Choroidal Nevi in the Korean Population. J. Clin. Med. 2022, 11, 6666. [Google Scholar] [CrossRef] [PubMed]
- de França Martins, M.; Kiefer, K.; Kanecadan, L.A.A.; Garcia, P.N.; Belfort, R.N.; Allemann, N. Comparisons of choroidal nevus measurements obtained using 10- and 20-MHz ultrasound and spectral domain optical coherence tomography. Arq. Bras. Oftalmol. 2017, 80, 78–83. [Google Scholar] [CrossRef]
- Shah, S.U.; Kaliki, S.; Shields, C.L.; Ferenczy, S.R.; Harmon, S.A.; Shields, J.A. Enhanced depth imaging optical coherence tomography of choroidal nevus in 104 cases. Ophthalmology 2012, 119, 1066–1072. [Google Scholar] [CrossRef] [PubMed]
- Kaur, G.; Anthony, S.A. Multimodal imaging of suspicious choroidal neoplasms in a primary eye-care clinic. Clin. Exp. Optom. 2017, 100, 549–562. [Google Scholar] [CrossRef]
- Lee, J.; Sagong, M. Ultra-Widefield Retina Imaging: Principles of Technology and Clinical Applications. J. Retin. 2016, 1, 1–10. [Google Scholar] [CrossRef]
- Kato, Y.; Inoue, M.; Hirakata, A. Quantitative comparisons of ultra-widefield images of model eye obtained with Optos® 200Tx and Optos® California. BMC Ophthalmol. 2019, 19, 115. [Google Scholar] [CrossRef] [PubMed]
- Daniels, A.B.; Veverka, K.K.; Patel, S.N.; Sculley, L.; Munn, G.; Pulido, J.S. Computing uveal melanoma basal diameters: A comparative analysis of several novel techniques with improved accuracy. Int. J. Retin. Vitr. 2019, 5, 2. [Google Scholar] [CrossRef] [PubMed]
- Peyster, R.G.; Augsburger, J.J.; Shields, J.A.; Satchell, T.V.; Markoe, A.M.; Clarke, K.; Haskin, M.E. Choroidal melanoma: Comparison of CT, fundoscopy, and US. Radiology 1985, 156, 675–680. [Google Scholar] [CrossRef] [PubMed]
- Haritoglou, C.; Neubauer, A.S.; Herzum, H.; Freeman, W.R.; Mueller, A.J. Interobserver and intraobserver variability of measurements of uveal melanomas using standardised echography. Br. J. Ophthalmol. 2002, 86, 1390. [Google Scholar] [CrossRef] [PubMed]
- Diener-West, M.; Albert, D.M.; Byrne, S.F.; Davidorf, F.H.; Followill, D.; Green, R.L.; Hawkins, B.S.; Kaiser, P.K.; Robertson, D.M.; Straatsma, B.R. Comparison of clinical; echographic, and histopathological measurements from eyes with medium-sized choroidal melanoma in the Collaborative Ocular Melanoma Study: COMS report no. 21. Arch. Ophthalmol. 2003, 121, 1163–1171. [Google Scholar] [CrossRef]
- Callaway, N.F.; Mruthyunjaya, P. Widefield imaging of retinal and choroidal tumors. Int. J. Retin. Vitr. 2019, 5, 49. [Google Scholar] [CrossRef]
- Sagong, M.; Van Hemert, J.; De Koo, L.C.O.; Barnett, C.; Sadda, S.R. Assessment of accuracy and precision of quantification of ultra-widefield images. Ophthalmology 2015, 122, 864–866. [Google Scholar] [CrossRef]
- Croft, D.E.; Van Hemert, J.; Wykoff, C.C.; Clifton, D.; Verhoek, M.; Fleming, A.; Brown, D.M. Precise montaging and metric quantification of retinal surface area from ultra-widefield fundus photography and fluorescein angiography. Ophthalmic Surg. Lasers Imaging Retin. 2014, 45, 312–317. [Google Scholar] [CrossRef] [PubMed]
- Oishi, A.; Hidaka, J.; Yoshimura, N. Quantification of the image obtained with a wide-field scanning ophthalmoscope. Investig. Ophthalmol. Vis. Sci. 2014, 55, 2424–2431. [Google Scholar] [CrossRef] [PubMed]
- Kim, Y.; Hwang, T.S.; Choi, D.; Wilson, D.J. Comparison of digital fundus photographic and echographic measurements for maximal linear dimension from eyes with choroidal melanoma. Retina 2009, 29, 1321–1327. [Google Scholar] [CrossRef] [PubMed]
- Kernt, M.; Schaller, U.C.; Stumpf, C.; Ulbig, M.W.; Kampik, A.; Neubauer, A.S. Choroidal pigmented lesions imaged by ultra-wide-field scanning laser ophthalmoscopy with two laser wavelengths (Optomap). Clin. Ophthalmol. 2010, 4, 829–836. [Google Scholar] [CrossRef] [PubMed]
- Ayres, B.; Stacey, A.; Grant, J.; McClendon, T.; Demirci, H. Comparative study of clinical, ultrasonographic, conventional imaging, and ultra-wide-field fundus for measurements of the longest basal diameter of choroidal tumors. Ophthalmic Surg. Lasers Imaging Retin. 2017, 48, 459–464. [Google Scholar] [CrossRef]
- Wang, Q.; Yang, J.Y.; Wei, W.B.; Yang, Q. Comparative Study of Ultrasonography and Ultra-Widefield Fundus Photographs for Measurements of the Diameter of Choroidal and Retinal Tumors. Ophthalmol. Ther. 2023, 12, 3001. [Google Scholar] [CrossRef] [PubMed]



| Demographic characteristics | |
| Mean Age (Years) | 67 ± 12.6 (38 to 87) |
| Gender (Female/Male) | 27 (60%)/18 (40%) |
| Eye (Right/Left) | 25 (56%)/20 (44%) |
| Clinical characteristics | |
| Best corrected visual acuity—decimal scale | 0.5 (Count Fingers to 1.0) |
| Diagnosis | |
| Nevus | 24 (53%) |
| Melanoma | 21 (47%) |
| Pigmentation | |
| Pigmented | 44 (98%) |
| Amelanotic | 1 (2%) |
| Subretinal fluid | |
| Present | 24 (53%) |
| Absent | 21 (47%) |
| Tumor location | |
| Posterior pole | 11 (24%) |
| Periphery | 34 (76%) |
| Ultrasound measurements | |
| Height (mm) | 2.65 ± 1.51 (0.70 to 6.10) |
| Transversal diameter (mm) | 8.84 ± 2.91 (4 to 15) |
| Longitudinal diameter | 9.36 ± 2.90 (4 to 14.50) |
| Observer 1 | Observer 2 | p-Value (Paired t-Test) | |
|---|---|---|---|
| Transversal diameter—pseudocolor composite | 8.45 (2.86) | 8.64 (2.98) | 0.126 * |
| Longitudinal diameter—pseudocolor composite | 9.24 (2.90) | 9.39 (3.01) | 0.471 * |
| Transversal diameter—red channel | 8.38 (2.60) | 8.25 (2.87) | 0.491 * |
| Longitudinal diameter—red channel | 9.30 (2.86) | 9.21 (3.07) | 0.641 * |
| Transversal diameter—green channel | 7.11 (3.99) | 7.48 (3.87) | 0.038 |
| Longitudinal diameter—green channel | 8.15 (4.13) | 8.42 (3.98) | 0.044 |
| Measurement Technique | Ultrasound |
|---|---|
| UWF TD—pseudocolor composite | 0.051 * |
| UWF LD—pseudocolor composite | 0.525 * |
| UWF TD—red channel | 0.063 * |
| UWF LD—red channel | 0.870 * |
| UWF TD—green channel | 0.000 |
| UWF LD—green channel | 0.000 |
| ICC between measurements made with UWF between two observers | ||
| Transverse diameter | Longitudinal diameter | |
| Pseudocolor composite | 0.98 (0.96–0.98) | 0.94 (0.89–0.97) |
| Red channel | 0.95 (0.90–0.97) | 0.95 (0.90–0.97) |
| ICC between measurements made with UWF versus 20 MHz US | ||
| Transverse diameter | Longitudinal diameter | |
| Pseudocolor composite—US | 0.94 (0.89–0.97) | 0.95 (0.90–0.97) |
| Red channel—US | 0.95 (0.90–0.97) | 0.96 (0.93–0.98) |
Disclaimer/Publisher’s Note: The statements, opinions and data contained in all publications are solely those of the individual author(s) and contributor(s) and not of MDPI and/or the editor(s). MDPI and/or the editor(s) disclaim responsibility for any injury to people or property resulting from any ideas, methods, instructions or products referred to in the content. |
© 2025 by the authors. Licensee MDPI, Basel, Switzerland. This article is an open access article distributed under the terms and conditions of the Creative Commons Attribution (CC BY) license (https://creativecommons.org/licenses/by/4.0/).
Share and Cite
Baradad-Jurjo, M.C.; Lorenzo, D.; Rojas-Pineda, E.; Vigués-Jorba, L.; Morwani, R.; Arias, L.; Garcia-Bru, P.; Cobos, E.; Santamaria, J.F.; Rodríguez-Fernández, C.A.; et al. Measurement of Melanocytic Choroidal Lesions: Ultrasound Versus Ultrawide-Field Fundus Imaging System. Cancers 2025, 17, 642. https://doi.org/10.3390/cancers17040642
Baradad-Jurjo MC, Lorenzo D, Rojas-Pineda E, Vigués-Jorba L, Morwani R, Arias L, Garcia-Bru P, Cobos E, Santamaria JF, Rodríguez-Fernández CA, et al. Measurement of Melanocytic Choroidal Lesions: Ultrasound Versus Ultrawide-Field Fundus Imaging System. Cancers. 2025; 17(4):642. https://doi.org/10.3390/cancers17040642
Chicago/Turabian StyleBaradad-Jurjo, Maria C., Daniel Lorenzo, Estel·la Rojas-Pineda, Laura Vigués-Jorba, Rahul Morwani, Lluís Arias, Pere Garcia-Bru, Estefania Cobos, Juan Francisco Santamaria, Carmen Antia Rodríguez-Fernández, and et al. 2025. "Measurement of Melanocytic Choroidal Lesions: Ultrasound Versus Ultrawide-Field Fundus Imaging System" Cancers 17, no. 4: 642. https://doi.org/10.3390/cancers17040642
APA StyleBaradad-Jurjo, M. C., Lorenzo, D., Rojas-Pineda, E., Vigués-Jorba, L., Morwani, R., Arias, L., Garcia-Bru, P., Cobos, E., Santamaria, J. F., Rodríguez-Fernández, C. A., & Caminal, J. M. (2025). Measurement of Melanocytic Choroidal Lesions: Ultrasound Versus Ultrawide-Field Fundus Imaging System. Cancers, 17(4), 642. https://doi.org/10.3390/cancers17040642

