Epidemiology and Outcome of Primary Central Nervous System Tumors Treated at King Hussein Cancer Center
Simple Summary
Abstract
1. Introduction
2. Materials and Methods
2.1. Study Design and Settings
2.2. Data Analysis
2.3. Ethical Considerations
3. Results
3.1. General Characteristics
3.2. Survival Analysis
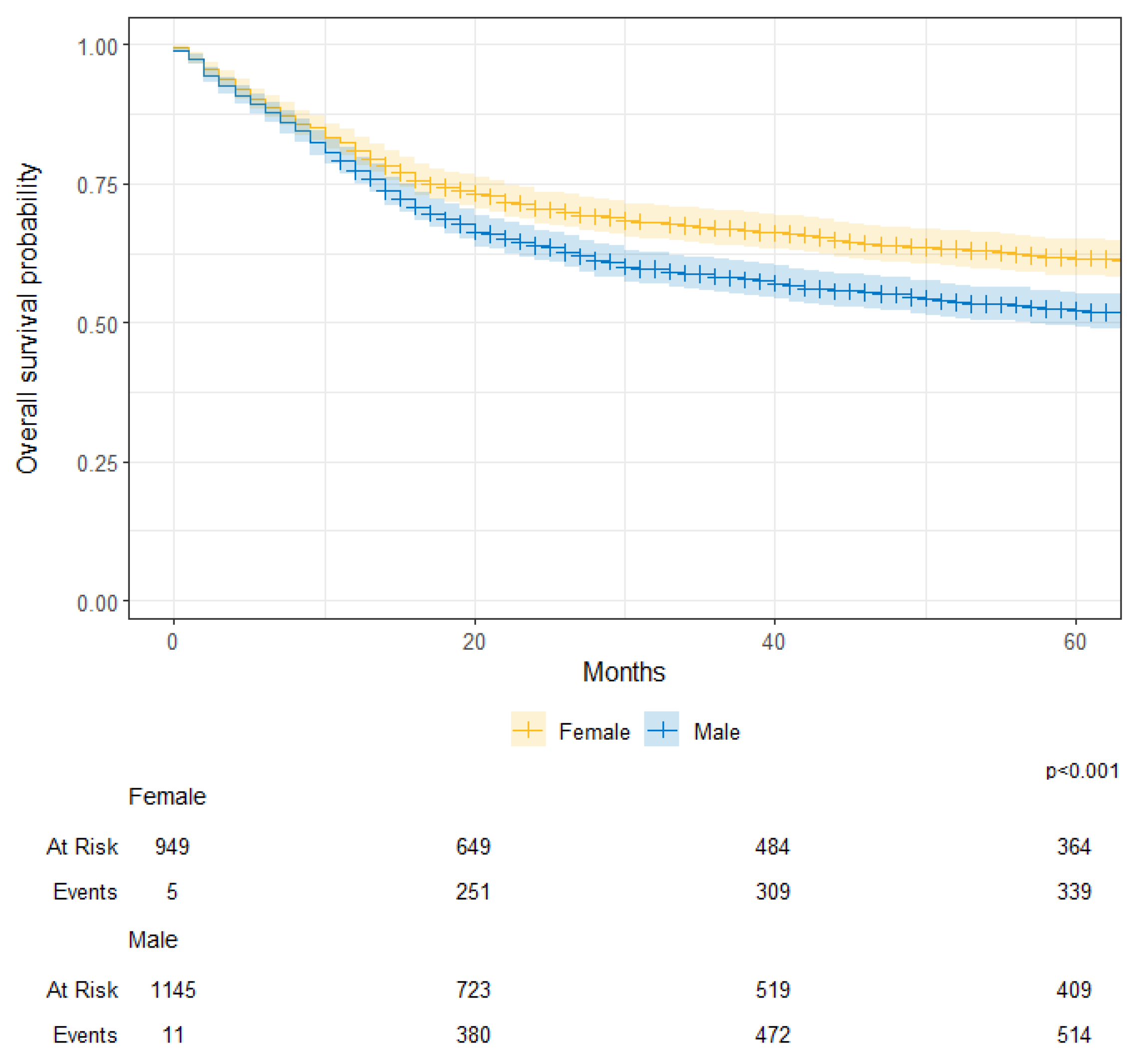
3.2.1. Adult Cohort
General Survival
Survival per WHO Groups and Types
Survival per WHO Types
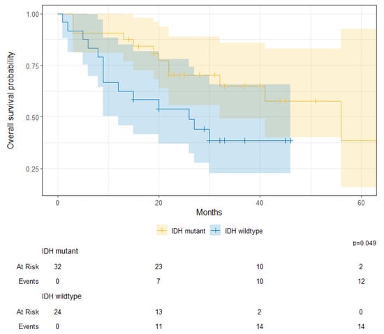
Adult-Type Diffuse Glioma; IDH-Mutant vs. Wildtype
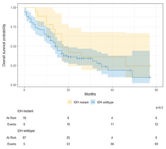
3.2.2. Pediatric Cohort
Survival per WHO Groups and Families
Survival per WHO Tumor Types
4. Discussion
5. Conclusions
Supplementary Materials
Author Contributions
Funding
Institutional Review Board Statement
Informed Consent Statement
Data Availability Statement
Acknowledgments
Conflicts of Interest
References
- Louis, D.N.; Perry, A.; Wesseling, P.; Brat, D.J.; Cree, I.A.; Figarella-Branger, D.; Hawkins, C.; Ng, H.K.; Pfister, S.M.; Reifenberger, G.; et al. The 2021 WHO Classification of Tumors of the Central Nervous System: A summary. Neuro-Oncology 2021, 23, 1231–1251. [Google Scholar] [CrossRef] [PubMed]
- Ilic, I.; Ilic, M. International patterns and trends in the brain cancer incidence and mortality: An observational study based on the global burden of disease. Heliyon 2023, 9, e18222. [Google Scholar] [CrossRef] [PubMed]
- Ward, E.; DeSantis, C.; Robbins, A.; Kohler, B.; Jemal, A. Childhood and adolescent cancer statistics, 2014. CA Cancer J. Clin. 2014, 64, 83–103. [Google Scholar] [CrossRef] [PubMed]
- World Health Organization. Jordan—Global Cancer Observatory. Available online: https://gco.iarc.fr/today/data/factsheets/populations/400-jordan-fact-sheets.pdf (accessed on 1 January 2023).
- Khader, Y.S.; Sharkas, G.F.; Arkoub, K.H.; Alfaqih, M.A.; Nimri, O.F.; Khader, A.M. The Epidemiology and Trend of Cancer in Jordan, 2000–2013. J. Cancer Epidemiol. 2018, 2018, 2937067. [Google Scholar] [CrossRef] [PubMed]
- Ostrom, Q.T.; de Blank, P.M.; Kruchko, C.; Petersen, C.M.; Liao, P.; Finlay, J.L.; Stearns, D.S.; Wolff, J.E.; Wolinsky, Y.; Letterio, J.J.; et al. Alex’s Lemonade Stand Foundation Infant and Childhood Primary Brain and Central Nervous System Tumors Diagnosed in the United States in 2007–2011. Neuro-Oncology 2015, 16 (Suppl. S10), x1–x36. [Google Scholar] [CrossRef] [PubMed]
- Ostrom, Q.T.; Gittleman, H.; de Blank, P.M.; Finlay, J.L.; Gurney, J.G.; McKean-Cowdin, R.; Stearns, D.S.; Wolff, J.E.; Liu, M.; Wolinsky, Y.; et al. American Brain Tumor Association Adolescent and Young Adult Primary Brain and Central Nervous System Tumors Diagnosed in the United States in 2008–2012. Neuro-Oncology 2016, 18 (Suppl. S1), i1–i50. [Google Scholar] [CrossRef]
- Ostrom, Q.T.; Gittleman, H.; Truitt, G.; Boscia, A.; Kruchko, C.; Barnholtz-Sloan, J.S. CBTRUS Statistical Report: Primary Brain and Other Central Nervous System Tumors Diagnosed in the United States in 2011–2015. Neuro-Oncology 2018, 20, iv1–iv86. [Google Scholar] [CrossRef]
- Tamimi, A.F.; Tamimi, I.; Abdelaziz, M.; Saleh, Q.; Obeidat, F.; Al-Husseini, M.; Haddadin, W.; Tamimi, F. Epidemiology of Malignant and Non-Malignant Primary Brain Tumors in Jordan. Neuroepidemiology 2015, 45, 100–108. [Google Scholar] [CrossRef]
- Gittleman, H.; Boscia, A.; Ostrom, Q.T.; Truitt, G.; Fritz, Y.; Kruchko, C.; Barnholtz-Sloan, J.S. Survivorship in adults with malignant brain and other central nervous system tumor from 2000–2014. Neuro-Oncology 2018, 20, vii6–vii16. [Google Scholar] [CrossRef]
- Leece, R.; Xu, J.; Ostrom, Q.T.; Chen, Y.; Kruchko, C.; Barnholtz-Sloan, J.S. Global incidence of malignant brain and other central nervous system tumors by histology, 2003–2007. Neuro-Oncology 2017, 19, 1553–1564. [Google Scholar] [CrossRef]
- Patel, P.A. Global, regional, and national burden of brain and other CNS cancer, 1990–2016: A systematic analysis for the Global Burden of Disease Study 2016. Lancet Neurol. 2019, 18, 376–393. [Google Scholar] [CrossRef] [PubMed]
- Abdel-Razeq, H.; Attiga, F.; Mansour, A. Cancer care in Jordan. Hematol./Oncol. Stem Cell Ther. 2015, 8, 64–70. [Google Scholar] [CrossRef] [PubMed]
- Cole, T.J. Too many digits: The presentation of numerical data. Arch. Dis. Child. 2015, 100, 608–609. [Google Scholar] [CrossRef]
- Ostrom, Q.T.; Price, M.; Neff, C.; Cioffi, G.; Waite, K.A.; Kruchko, C.; Barnholtz-Sloan, J.S. CBTRUS Statistical Report: Primary Brain and Other Central Nervous System Tumors Diagnosed in the United States in 2015–2019. Neuro-Oncology 2022, 24, v1–v95. [Google Scholar] [CrossRef]
- Miller, K.D.; Ostrom, Q.T.; Kruchko, C.; Patil, N.; Tihan, T.; Cioffi, G.; Fuchs, H.E.; Waite, K.A.; Jemal, A.; Siegel, R.L.; et al. Brain and other central nervous system tumor statistics, 2021. CA Cancer J. Clin. 2021, 71, 381–406. [Google Scholar] [CrossRef]
- Ramirez, O.; Piedrahita, V.; Ardila, J.; Pardo, C.; Cabrera-Bernal, E.; Lopera, J.; Suarez, A.; Portilla, C.A.; Narváez, C.; Rodriguez, P.; et al. Primary central nervous system tumors survival in children in ten Colombian cities: A VIGICANCER report. Front. Oncol. 2023, 13, 1326788. [Google Scholar] [CrossRef] [PubMed]
- Visser, O.; Ardanaz, E.; Botta, L.; Sant, M.; Tavilla, A.; Minicozzi, P. Survival of adults with primary malignant brain tumours in Europe; Results of the EUROCARE-5 study. Eur. J. Cancer 2015, 51, 2231–2241. [Google Scholar] [CrossRef] [PubMed]
- Gatta, G.; Peris-Bonet, R.; Visser, O.; Stiller, C.; Marcos-Gragera, R.; Sánchez, M.J.; Lacour, B.; Kaatsch, P.; Berrino, F.; Rutkowski, S.; et al. Geographical variability in survival of European children with central nervous system tumours. Eur. J. Cancer 2017, 82, 137–148. [Google Scholar] [CrossRef] [PubMed]
- Almutrafi, A.; Bashawry, Y.; AlShakweer, W.; Al-Harbi, M.; Altwairgi, A.; Al-Dandan, S. The Epidemiology of Primary Central Nervous System Tumors at the National Neurologic Institute in Saudi Arabia: A Ten-Year Single-Institution Study. J. Cancer Epidemiol. 2020, 2020, 1429615. [Google Scholar] [CrossRef]
- Kurdi, M.; Butt, N.S.; Baeesa, S.; Alghamdi, B.; Maghrabi, Y.; Bardeesi, A.; Saeedi, R.; Lary, A.I. Epidemiological distribution of primary central nervous system tumors in the Western Province of Saudi Arabia: A local registry from neuroscience-affiliated centers. Epidemiol. Health 2021, 43, e2021037. [Google Scholar] [CrossRef] [PubMed]
- El Hage, S.; Kawtharani, M.; Nabha, S.; El Masri, J.; Saad, M. Distribution of Primary Brain Tumor Subtypes in Lebanon: A Multicenter Eleven-Year Study of 695 Patients. Cureus 2021, 13, e17918. [Google Scholar] [CrossRef] [PubMed]
- Charafeddine, K.; Hatoum, H.; Otrock, Z.; Mahfouz, R.; Salem, Z.; Shamseddine, A.; Taher, A.; El Saghir, N.; Bazarbachi, A. Long-term outcome of adult acute lymphoblastic leukemia in Lebanon: A single institution experience from the American University of Beirut. Hematol./Oncol. Stem Cell Ther. 2009, 2, 333–339. [Google Scholar] [CrossRef] [PubMed]
- Karkouri, M.; Zafad, S.; Khattab, M.; Benjaafar, N.; El Kacemi, H.; Sefiani, S.; Kettani, F.; Dey, S.; Soliman, A.S. Epidemiologic profile of pediatric brain tumors in Morocco. Childs Nerv. Syst. 2010, 26, 1021–1027. [Google Scholar] [CrossRef]
- Raffel, C. Medulloblastoma: Molecular genetics and animal models. Neoplasia 2004, 6, 310–322. [Google Scholar] [CrossRef]
- Kumar, L.P.; Deepa, S.F.; Moinca, I.; Suresh, P.; Naidu, K.V. Medulloblastoma: A common pediatric tumor: Prognostic factors and predictors of outcome. Asian J. Neurosurg. 2015, 10, 50. [Google Scholar] [CrossRef] [PubMed]
- Jaafari, M.; Razine, R.; Haroun, A.E.; Tahiri, Z.; Hessissen, L. Childhood medulloblastoma in Morocco (middle-income country): Therapeutic outcomes and survival. Ther. Radiol. Oncol. 2023, 7. [Google Scholar] [CrossRef]
- Yehia, M.; Taha, H.; Salama, A.; Amer, N.; Mosaab, A.; Hassanain, O.; Refaat, A.; Yassin, D.; El-Hemaly, A.; Ahmed, S.; et al. Association of Aggresomes with Survival Outcomes in Pediatric Medulloblastoma. Sci. Rep. 2019, 9, 12605. [Google Scholar] [CrossRef]
- Amayiri, N.; Swaidan, M.; Ibrahimi, A.; Hirmas, N.; Musharbash, A.; Bouffet, E.; Al-Hussaini, M.; Ramaswamy, V. Molecular Subgroup Is the Strongest Predictor of Medulloblastoma Outcome in a Resource-Limited Country. JCO Glob. Oncol. 2021, 7, 1442–1453. [Google Scholar] [CrossRef] [PubMed]
- Jiang, S.; Zanazzi, G.J.; Hassanpour, S. Predicting prognosis and IDH mutation status for patients with lower-grade gliomas using whole slide images. Sci. Rep. 2021, 11, 16849. [Google Scholar] [CrossRef] [PubMed]
- Yang, R.R.; Shi, Z.F.; Zhang, Z.Y.; Chan, A.K.; Aibaidula, A.; Wang, W.W.; Kwan, J.S.H.; Poon, W.S.; Chen, H.; Li, W.C.; et al. IDH mutant lower grade (WHO Grades II/III) astrocytomas can be stratified for risk by CDKN2A, CDK4 and PDGFRA copy number alterations. Brain Pathol. 2020, 30, 541–553. [Google Scholar] [CrossRef]
- Ceccarelli, M.; Barthel, F.P.; Malta, T.M.; Sabedot, T.S.; Salama, S.R.; Murray, B.A.; Morozova, O.; Newton, Y.; Radenbaugh, A.; Pagnotta, S.M.; et al. Molecular Profiling Reveals Biologically Discrete Subsets and Pathways of Progression in Diffuse Glioma. Cell 2016, 164, 550–563. [Google Scholar] [CrossRef] [PubMed]
- Diplas, B.H.; He, X.; Brosnan-Cashman, J.A.; Liu, H.; Chen, L.H.; Wang, Z.; Moure, C.J.; Killela, P.J.; Loriaux, D.B.; Lipp, E.S.; et al. The genomic landscape of TERT promoter wildtype-IDH wildtype glioblastoma. Nat. Commun. 2018, 9, 2087. [Google Scholar] [CrossRef]
- Lee, Y.; Koh, J.; Kim, S.I.; Won, J.K.; Park, C.K.; Choi, S.H.; Park, S.H. The frequency and prognostic effect of TERT promoter mutation in diffuse gliomas. Acta Neuropathol. Commun. 2017, 5, 62. [Google Scholar] [CrossRef] [PubMed]
- Takami, H.; Yoshida, A.; Fukushima, S.; Arita, H.; Matsushita, Y.; Nakamura, T.; Ohno, M.; Miyakita, Y.; Shibui, S.; Narita, Y.; et al. Revisiting TP53 Mutations and Immunohistochemistry--A Comparative Study in 157 Diffuse Gliomas. Brain Pathol. 2015, 25, 256–265. [Google Scholar] [CrossRef] [PubMed]
- Fan, Y.; Zhang, X.; Gao, C.; Jiang, S.; Wu, H.; Liu, Z.; Dou, T. Burden and trends of brain and central nervous system cancer from 1990 to 2019 at the global, regional, and country levels. Arch. Public Health 2022, 80, 209. [Google Scholar] [CrossRef]
- Michaelson, N.M.; Watsula, A.; Bakare-Okpala, A.; Mohamadpour, M.; Chukwueke, U.N.; Budhu, J.A. Disparities in Neuro-Oncology. Curr. Neurol. Neurosci. Rep. 2023, 23, 815–825. [Google Scholar] [CrossRef]
- Moore, K.J.; Moertel, C.L.; Williams, L.A. Young adult males have worse survival than females that is largely independent of treatment received for many types of central nervous system tumors: A National Cancer Database analysis. Cancer 2022, 128, 1616–1625. [Google Scholar] [CrossRef]
- Sun, T.; Warrington, N.M.; Luo, J.; Brooks, M.D.; Dahiya, S.; Snyder, S.C.; Sengupta, R.; Rubin, J.B. Sexually dimorphic RB inactivation underlies mesenchymal glioblastoma prevalence in males. J. Clin. Investig. 2014, 124, 4123–4133. [Google Scholar] [CrossRef]
- Yang, W.; Warrington, N.M.; Taylor, S.J.; Whitmire, P.; Carrasco, E.; Singleton, K.W.; Wu, N.; Lathia, J.D.; Berens, M.E.; Kim, A.H.; et al. Sex differences in GBM revealed by analysis of patient imaging, transcriptome, and survival data. Sci. Transl. Med. 2019, 11, eaao5253. [Google Scholar] [CrossRef]
- Radkiewicz, C.; Johansson, A.L.V.; Dickman, P.W.; Lambe, M.; Edgren, G. Sex differences in cancer risk and survival: A Swedish cohort study. Eur. J. Cancer 2017, 84, 130–140. [Google Scholar] [CrossRef]
- Sun, T.; Plutynski, A.; Ward, S.; Rubin, J.B. An integrative view on sex differences in brain tumors. Cell. Mol. Life Sci. CMLS 2015, 72, 3323–3342. [Google Scholar] [CrossRef] [PubMed]
- Ladomersky, E.; Scholtens, D.M.; Kocherginsky, M.; Hibler, E.A.; Bartom, E.T.; Otto-Meyer, S.; Zhai, L.; Lauing, K.L.; Choi, J.; Sosman, J.A.; et al. The Coincidence Between Increasing Age, Immunosuppression, and the Incidence of Patients with Glioblastoma. Front. Pharmacol. 2019, 10, 200. [Google Scholar] [CrossRef] [PubMed]
- Yancik, R.; Wesley, M.N.; Ries, L.A.; Havlik, R.J.; Long, S.; Edwards, B.K.; Yates, J.W. Comorbidity and age as predictors of risk for early mortality of male and female colon carcinoma patients: A population-based study. Cancer 1998, 82, 2123–2134. [Google Scholar] [CrossRef]
- Aprahamian, T.; Takemura, Y.; Goukassian, D.; Walsh, K. Ageing is associated with diminished apoptotic cell clearance in vivo. Clin. Exp. Immunol. 2008, 152, 448–455. [Google Scholar] [CrossRef] [PubMed]
- Chen, C.Z.; Schaffert, S.; Fragoso, R.; Loh, C. Regulation of immune responses and tolerance: The microRNA perspective. Immunol. Rev. 2013, 253, 112–128. [Google Scholar] [CrossRef]
- Kaunzner, U.W.; Miller, M.M.; Gottfried-Blackmore, A.; Gal-Toth, J.; Felger, J.C.; McEwen, B.S.; Bulloch, K. Accumulation of resident and peripheral dendritic cells in the aging CNS. Neurobiol. Aging 2012, 33, 681–693.e681. [Google Scholar] [CrossRef] [PubMed]
- McElhaney, J.E.; Dutz, J.P. Better influenza vaccines for older people: What will it take? J. Infect. Dis. 2008, 198, 632–634. [Google Scholar] [CrossRef]
- Cioffi, G.; Waite, K.A.; Edelson, J.L.; Kruchko, C.; Ostrom, Q.T.; Barnholtz-Sloan, J.S. Changes in survival over time for primary brain and other CNS tumors in the United States, 2004–2017. J. Neurooncol. 2022, 160, 209–219. [Google Scholar] [CrossRef]
- Saeidi Borojeni, H.R.; Najafi, F.; Khosravi Shadmani, F.; Darabi, Z.; Darbandi, M.; Farhadi, K.; Saeidi Borojeni, S.; Maleki, S.; Naderi, M. Disability-Adjusted Life Years and Mortality Rate Attributed to Brain and Central Nervous System Cancer in the Middle East and North Africa Countries. Neuroepidemiology 2021, 55, 447–459. [Google Scholar] [CrossRef] [PubMed]
- Sherman, J.H.; Bobak, A.; Arsiwala, T.; Lockman, P.; Aulakh, S. Targeting drug resistance in glioblastoma (Review). Int. J. Oncol. 2024, 65, 80. [Google Scholar] [CrossRef] [PubMed]
- Spini, A.; Ciccone, V.; Rosellini, P.; Ziche, M.; Lucenteforte, E.; Salvo, F.; Donnini, S. Safety of Anti-Angiogenic Drugs in Pediatric Patients with Solid Tumors: A Systematic Review and Meta-Analysis. Cancers 2022, 14, 5315. [Google Scholar] [CrossRef] [PubMed]
- Ollauri-Ibáñez, C.; Astigarraga, I. Use of Antiangiogenic Therapies in Pediatric Solid Tumors. Cancers 2021, 13, 253. [Google Scholar] [CrossRef]
- Wang, H.; Guo, J.; Wang, T.; Wang, K.; Wu, Z.; Sun, T. Efficacy and safety of bevacizumab in the treatment of adult gliomas: A systematic review and meta-analysis. BMJ Open 2021, 11, e048975. [Google Scholar] [CrossRef] [PubMed]
- Montemagno, C.; Pagès, G. Resistance to Anti-angiogenic Therapies: A Mechanism Depending on the Time of Exposure to the Drugs. Front. Cell Dev. Biol. 2020, 8, 584. [Google Scholar] [CrossRef] [PubMed]
- Cohen, K.J.; Pollack, I.F.; Zhou, T.; Buxton, A.; Holmes, E.J.; Burger, P.C.; Brat, D.J.; Rosenblum, M.K.; Hamilton, R.L.; Lavey, R.S.; et al. Temozolomide in the treatment of high-grade gliomas in children: A report from the Children’s Oncology Group. Neuro-Oncology 2011, 13, 317–323. [Google Scholar] [CrossRef] [PubMed]












| Female | Male | |||||
|---|---|---|---|---|---|---|
| WHO Classification | Total | N | % | N | % | Ratio |
| Adult-type diffuse gliomas | 709 | 270 | 38.1 | 439 | 61.9 | 1.62 |
| Pediatric-type diffuse low-grade gliomas | 14 | 4 | 28.6 | 10 | 71.4 | 2.5 |
| Pediatric-type diffuse high-grade gliomas | 162 | 74 | 45.7 | 88 | 54.3 | 1.19 |
| Circumscribed astrocytic glioma | 183 | 87 | 47.5 | 96 | 52.5 | 1.10 |
| Glioneuronal and neuronal tumors | 43 | 19 | 44.2 | 24 | 55.8 | 1.26 |
| Ependymal tumors | 89 | 42 | 47.2 | 47 | 52.8 | 1.12 |
| Choroid plexus papilloma | 4 | 3 | 75 | 1 | 25 | 0.3 |
| Atypical choroid plexus papilloma | 8 | 3 | 37.5 | 5 | 62.5 | 1.7 |
| Choroid plexus carcinoma | 6 | 0 | 0 | 6 | 100 | ∞ |
| Medulloblastoma | 199 | 75 | 37.7 | 124 | 62.3 | 1.7 |
| Atypical teratoid/rhabdoid tumor | 12 | 7 | 58.3 | 5 | 41.7 | 0.71 |
| Embryonal tumor with multilayered rosettes | 6 | 4 | 66.7 | 2 | 33.3 | 0.5 |
| CNS embryonal tumor | 17 | 10 | 58.8 | 7 | 41.2 | 0.7 |
| Pineoblastoma | 6 | 1 | 16.7 | 5 | 83.3 | 5 |
| Papillary tumor of the pineal region | 1 | 1 | 100 | 0 | 0 | 0.0 |
| Germinoma | 15 | 2 | 13.3 | 13 | 86.7 | 6.5 |
| Teratoma | 1 | 0 | 0 | 1 | 100 | ∞ |
| Choriocarcinoma | 1 | 1 | 100 | 0 | 0 | 0.0 |
| Meningioma | 213 | 146 | 68.5 | 67 | 31.5 | 0.46 |
| Atypical meningioma | 30 | 18 | 60 | 12 | 40 | 0.67 |
| Anaplastic meningioma | 18 | 10 | 55.6 | 8 | 44.4 | 0.8 |
| Neurofibroma | 51 | 25 | 49 | 26 | 51 | 1.04 |
| Malignant peripheral nerve sheath tumor | 7 | 4 | 57.1 | 3 | 42.9 | 0.75 |
| Solitary fibrous tumor/hemangiopericytoma | 11 | 5 | 45.5 | 6 | 54.5 | 1.2 |
| Meningeal melanoma | 2 | 2 | 100 | 0 | 0 | 0.0 |
| Pituitary neuroendocrine tumors (PitNETs) | 157 | 75 | 47.8 | 82 | 52.2 | 1.1 |
| Pituicytoma | 2 | 0 | 0 | 2 | 100 | ∞ |
| Craniopharyngioma | 56 | 31 | 55.4 | 25 | 44.6 | 0.81 |
| Hemangioblastoma | 16 | 8 | 50 | 8 | 50 | 1.0 |
| Dermoid cyst | 2 | 1 | 50 | 1 | 50 | 1.0 |
| Lipoma | 2 | 0 | 0 | 2 | 100 | ∞ |
| Hemangioma | 13 | 4 | 30.8 | 9 | 69.2 | 2.25 |
| Diffuse large B-cell lymphoma of the CNS | 38 | 17 | 44.7 | 21 | 55.3 | 1.23 |
| Infratentorium | Supratentorium | Meninges | Cranial Nerve | |
|---|---|---|---|---|
| WHO Classification | N | N | N | N |
| Adult-type diffuse gliomas | 15 | 694 | 0 | 0 |
| Anaplastic meningioma | 0 | 0 | 18 | 0 |
| Atypical choroid plexus papilloma | 0 | 8 | 0 | 0 |
| Atypical meningioma | 0 | 0 | 30 | 0 |
| Atypical teratoid/rhabdoid tumor | 7 | 5 | 0 | 0 |
| Choriocarcinoma | 0 | 1 | 0 | 0 |
| Choroid plexus carcinoma | 0 | 6 | 0 | 0 |
| Choroid plexus papilloma | 0 | 4 | 0 | 0 |
| Circumscribed astrocytic glioma | 82 | 83 | 0 | 18 |
| CNS embryonal tumor | 5 | 12 | 0 | 0 |
| Craniopharyngioma | 0 | 56 | 0 | 0 |
| Dermoid cyst | 1 | 1 | 0 | 0 |
| Diffuse large B-cell lymphoma of the CNS | 8 | 30 | 0 | 0 |
| Embryonal tumor with multilayered rosettes | 1 | 5 | 0 | 0 |
| Ependymal tumors | 67 | 22 | 0 | 0 |
| Germinoma | 0 | 15 | 0 | 0 |
| Glioneuronal and neuronal tumors | 8 | 35 | 0 | 0 |
| Hemangioblastoma | 10 | 6 | 0 | 0 |
| Hemangioma | 7 | 6 | 0 | 0 |
| Lipoma | 0 | 0 | 2 | 0 |
| Malignant peripheral nerve sheath tumor | 4 | 2 | 0 | 1 |
| Medulloblastoma | 199 | 0 | 0 | 0 |
| Meningeal melanoma | 2 | 0 | 0 | 0 |
| Meningioma | 1 | 1 | 211 | 0 |
| Neurofibroma | 19 | 10 | 0 | 22 |
| Papillary tumor of the pineal region | 0 | 1 | 0 | 0 |
| Pediatric-type diffuse high-grade gliomas | 97 | 65 | 0 | 0 |
| Pediatric-type diffuse low-grade gliomas | 6 | 8 | 0 | 0 |
| Pineoblastoma | 0 | 6 | 0 | 0 |
| Pituicytoma | 0 | 2 | 0 | 0 |
| Pituitary neuroendocrine tumors (PitNETs) | 0 | 157 | 0 | 0 |
| Solitary fibrous tumor/hemangiopericytoma | 0 | 0 | 11 | 0 |
| Teratoma | 1 | 0 | 0 | 0 |
| Characteristic | 1-Year | 2-Year | 5-Year |
|---|---|---|---|
| WHO Group | |||
| Choroid plexus tumors | 100% (100%, 100%) | 100% (100%, 100%) | 100% (100%, 100%) |
| Embryonal tumors | 98% (95%, 100%) | 92% (85%, 99%) | 70% (59%, 83%) |
| Germ cell tumors | 100% (100%, 100%) | 100% (100%, 100%) | 100% (100%, 100%) |
| Gliomas, glioneuronal tumors, and neuronal tumors | 67% (64%, 70%) | 47% (43%, 50%) | 33% (29%, 36%) |
| Hematolymphoid tumors | 64% (50%, 82%) | 46% (32%, 66%) | 24% (12%, 48%) |
| Melanocytic tumors | — (—, —) | — (—, —) | — (—, —) |
| Meningiomas | 98% (96%, 100%) | 95% (92%, 97%) | 84% (78%, 89%) |
| Mesenchymal, non-meningothelial tumors | 90% (81%, 100%) | 87% (77%, 98%) | 83% (71%, 97%) |
| Miscellaneous | 98% (96%, 100%) | 97% (95%, 100%) | 92% (87%, 97%) |
| Tumors of the cranial and paraspinal nerves | 100% (100%, 100%) | 98% (94%, 100%) | 90% (82%, 100%) |
| Tumors of the pineal region | 67% (30%, 100%) | 33% (6.7%, 100%) | 33% (6.7%, 100%) |
| Tumors of the sellar region | 96% (89%, 100%) | 96% (89%, 100%) | 87% (74%, 100%) |
| Gliomas, glioneuronal tumors, and neuronal tumors | |||
| Adult-type diffuse gliomas | 64% (61%, 68%) | 42% (39%, 46%) | 28% (24%, 31%) |
| Circumscribed astrocytic glioma | 81% (67%, 97%) | 81% (67%, 97%) | 81% (67%, 97%) |
| Ependymal tumors | 97% (92%, 100%) | 87% (76%, 100%) | 73% (58%, 91%) |
| Glioneuronal and neuronal tumors | 88% (76%, 100%) | 88% (76%, 100%) | 83% (69%, 100%) |
| Pediatric-type diffuse high-grade gliomas | 72% (56%, 92%) | 45% (29%, 71%) | 38% (21%, 67%) |
| Meningiomas | |||
| Anaplastic meningioma | 94% (84%, 100%) | 94% (84%, 100%) | 66% (45%, 96%) |
| Atypical meningioma | 96% (89%, 100%) | 92% (82%, 100%) | 83% (69%, 100%) |
| Meningioma | 98% (96%, 100%) | 95% (92%, 98%) | 85% (80%, 91%) |
| Characteristic | 1-Year | 2-Year | 5-Year |
|---|---|---|---|
| WHO Group | |||
| Choroid plexus tumors | 100% (100%, 100%) | 87% (72%, 100%) | 72% (52%, 100%) |
| Embryonal tumors | 77% (71%, 84%) | 65% (58%, 72%) | 58% (51%, 67%) |
| Germ cell tumors | 100% (100%, 100%) | 90% (73%, 100%) | 80% (59%, 100%) |
| Gliomas, glioneuronal tumors, and neuronal tumors | 75% (71%, 80%) | 66% (62%, 71%) | 60% (55%, 65%) |
| Hematolymphoid tumors | 50% (13%, 100%) | 0% (13%, 100%) | — (—, —) |
| Melanocytic tumors | 100% (100%, 100%) | 100% (100%, 100%) | — (—, —) |
| Meningiomas | 91% (75%, 100%) | 91% (75%, 100%) | 91% (75%, 100%) |
| Mesenchymal, non-meningothelial tumors | 67% (30%, 100%) | 67% (30%, 100%) | 67% (30%, 100%) |
| Tumors of the cranial and paraspinal nerves | 100% (100%, 100%) | 100% (100%, 100%) | 100% (100%, 100%) |
| Tumors of the pineal region | 100% (100%, 100%) | 50% (19%, 100%) | 50% (19%, 100%) |
| Tumors of the sellar region | 91% (82%, 100%) | 85% (73%, 98%) | 75% (60%, 94%) |
| Gliomas, glioneuronal tumors, and neuronal tumors | |||
| Circumscribed astrocytic glioma | 97% (94%, 100%) | 94% (91%, 98%) | 92% (88%, 97%) |
| Ependymal tumors | 91% (84%, 99%) | 83% (74%, 94%) | 66% (54%, 81%) |
| Glioneuronal and neuronal tumors | 94% (84%, 100%) | 94% (84%, 100%) | 94% (84%, 100%) |
| Pediatric-type diffuse high-grade gliomas | 42% (34%, 51%) | 23% (17%, 31%) | 15% (10%, 23%) |
| Pediatric-type diffuse low-grade gliomas | 79% (60%, 100%) | 71% (51%, 99%) | 63% (42%, 95%) |
| Embryonal tumors | |||
| Atypical teratoid/rhabdoid tumor | 25% (9.4%, 67%) | 17% (4.7%, 59%) | — (—, —) |
| CNS embryonal tumor | 80% (59%, 100%) | 20% (5.8%, 69%) | 20% (5.8%, 69%) |
| Embryonal tumor with multilayered rosettes | 33% (11%, 100%) | 17% (2.8%, 100%) | — (—, —) |
| Medulloblastoma | 83% (78%, 90%) | 74% (67%, 81%) | 67% (59%, 75%) |
Disclaimer/Publisher’s Note: The statements, opinions and data contained in all publications are solely those of the individual author(s) and contributor(s) and not of MDPI and/or the editor(s). MDPI and/or the editor(s) disclaim responsibility for any injury to people or property resulting from any ideas, methods, instructions or products referred to in the content. |
© 2025 by the authors. Licensee MDPI, Basel, Switzerland. This article is an open access article distributed under the terms and conditions of the Creative Commons Attribution (CC BY) license (https://creativecommons.org/licenses/by/4.0/).
Share and Cite
Al-Hussaini, M.; Al-Ani, A.; Amarin, J.Z.; Al Sharie, S.; Obeidat, M.; Musharbash, A.; Al Shurbaji, A.A.; Ibrahimi, A.K.; Al-Mousa, A.; Sarhan, N.; et al. Epidemiology and Outcome of Primary Central Nervous System Tumors Treated at King Hussein Cancer Center. Cancers 2025, 17, 590. https://doi.org/10.3390/cancers17040590
Al-Hussaini M, Al-Ani A, Amarin JZ, Al Sharie S, Obeidat M, Musharbash A, Al Shurbaji AA, Ibrahimi AK, Al-Mousa A, Sarhan N, et al. Epidemiology and Outcome of Primary Central Nervous System Tumors Treated at King Hussein Cancer Center. Cancers. 2025; 17(4):590. https://doi.org/10.3390/cancers17040590
Chicago/Turabian StyleAl-Hussaini, Maysa, Abdallah Al-Ani, Justin Z. Amarin, Sarah Al Sharie, Mouness Obeidat, Awni Musharbash, Amer A. Al Shurbaji, Ahmad Kh. Ibrahimi, Abdellatif Al-Mousa, Nasim Sarhan, and et al. 2025. "Epidemiology and Outcome of Primary Central Nervous System Tumors Treated at King Hussein Cancer Center" Cancers 17, no. 4: 590. https://doi.org/10.3390/cancers17040590
APA StyleAl-Hussaini, M., Al-Ani, A., Amarin, J. Z., Al Sharie, S., Obeidat, M., Musharbash, A., Al Shurbaji, A. A., Ibrahimi, A. K., Al-Mousa, A., Sarhan, N., Amayiri, N., Amarin, R., Alawabdeh, T., Alzoubi, Q., Abu Laban, D., Maraqa, B., Jamal, K., & Mansour, A. (2025). Epidemiology and Outcome of Primary Central Nervous System Tumors Treated at King Hussein Cancer Center. Cancers, 17(4), 590. https://doi.org/10.3390/cancers17040590

