Threshold-Based Overlap of Breast Cancer High-Risk Classification Using Family History, Polygenic Risk Scores, and Traditional Risk Models in 180,398 Women
Simple Summary
Abstract
1. Introduction
2. Methods
2.1. Study Population
2.2. Prediction Models
2.2.1. Gail Model
2.2.2. Handling of Missing Data and Sensitivity Analyses
2.2.3. PRS
2.3. Statistical Analysis
3. Results
3.1. Excluded Participants
3.2. Analytical Cohort
3.2.1. European Ancestry
3.2.2. Asian Ancestry
3.2.3. Performance of Risk Models
3.3. Proportions Identified as High Risk
Calibration
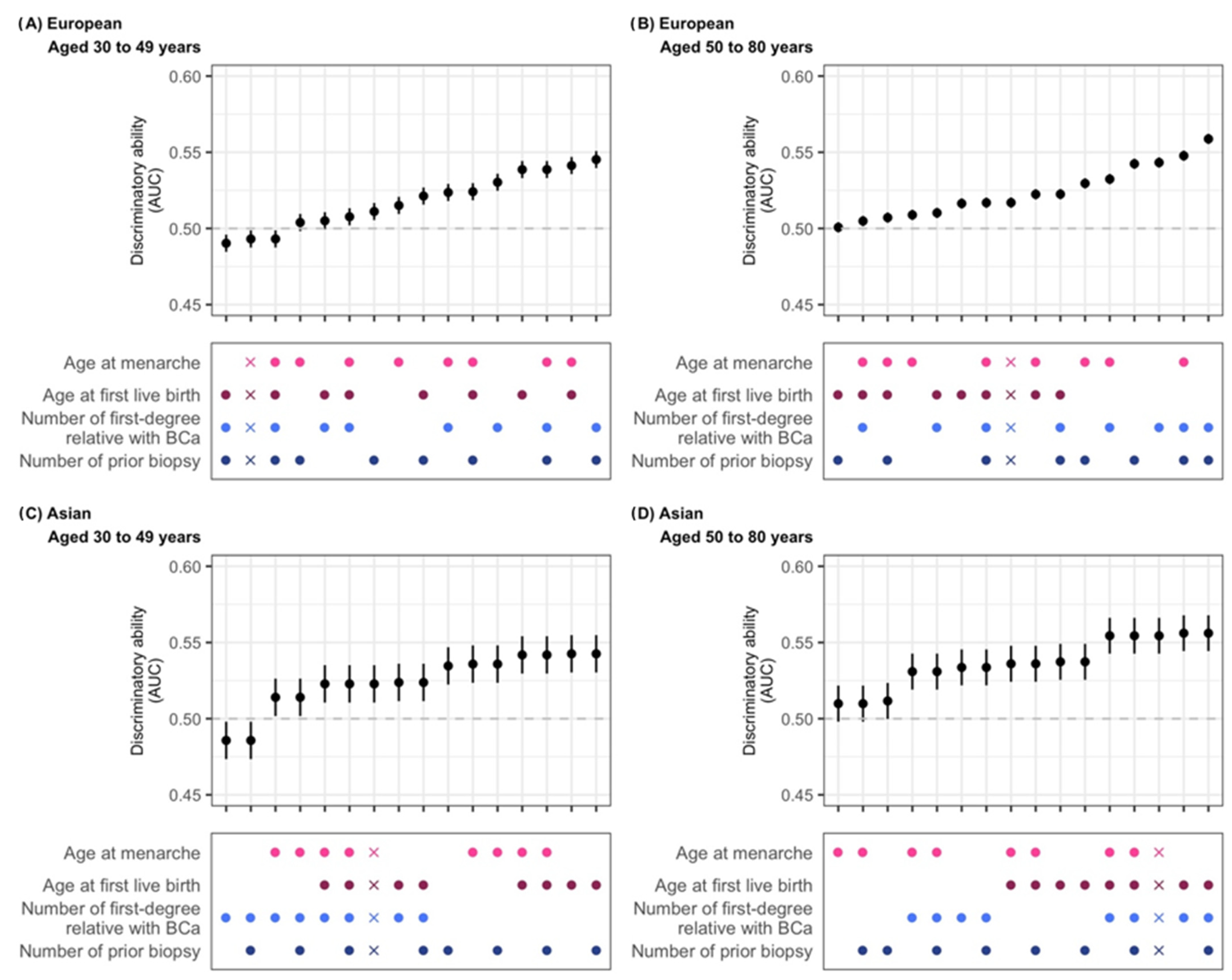
3.4. Drivers of Gail Model Risk
4. Discussion
5. Conclusions
Supplementary Materials
Author Contributions
Funding
Institutional Review Board Statement
Informed Consent Statement
Data Availability Statement
Acknowledgments
Conflicts of Interest
References
- Bevers, T.B.; Ward, J.H.; Arun, B.K.; Colditz, G.A.; Cowan, K.H.; Daly, M.B.; Garber, J.E.; Gemignani, M.L.; Gradishar, W.J.; Jordan, J.A.; et al. Breast Cancer Risk Reduction, Version 2.2015. J. Natl. Compr. Cancer Netw. 2015, 13, 880–915. [Google Scholar] [CrossRef]
- Practice Bulletin Number 179: Breast Cancer Risk Assessment and Screening in Average-Risk Women. Obstet. Gynecol. 2017, 130, e1–e16. [CrossRef]
- Mbuya-Bienge, C.; Pashayan, N.; Kazemali, C.D.; Lapointe, J.; Simard, J.; Nabi, H. A Systematic Review and Critical Assessment of Breast Cancer Risk Prediction Tools Incorporating a Polygenic Risk Score for the General Population. Cancers 2023, 15, 5380. [Google Scholar] [CrossRef]
- Ho, P.J.; Ho, W.K.; Khng, A.J.; Yeoh, Y.S.; Tan, B.K.; Tan, E.Y.; Lim, G.H.; Tan, S.M.; Tan, V.K.M.; Yip, C.H.; et al. Overlap of high-risk individuals predicted by family history, and genetic and non-genetic breast cancer risk prediction models: Implications for risk stratification. BMC Med. 2022, 20, 150. [Google Scholar] [CrossRef] [PubMed]
- Ho, P.J.; Lim, E.H.; Hartman, M.; Wong, F.Y.; Li, J. Breast cancer risk stratification using genetic and non-genetic risk assessment tools for 246,142 women in the UK Biobank. Genet. Med. 2023, 25, 100917. [Google Scholar] [CrossRef] [PubMed]
- Roux, A.; Cholerton, R.; Sicsic, J.; Moumjid, N.; French, D.P.; Giorgi Rossi, P.; Balleyguier, C.; Guindy, M.; Gilbert, F.J.; Burrion, J.-B.; et al. Study protocol comparing the ethical, psychological and socio-economic impact of personalised breast cancer screening to that of standard screening in the “My Personal Breast Screening” (MyPeBS) randomised clinical trial. BMC Cancer 2022, 22, 507. [Google Scholar] [CrossRef]
- Shieh, Y.; Eklund, M.; Madlensky, L.; Sawyer, S.D.; Thompson, C.K.; Stover Fiscalini, A.; Ziv, E.; van’t Veer, L.J.; Esserman, L.J.; Tice, J.A. Breast Cancer Screening in the Precision Medicine Era: Risk-Based Screening in a Population-Based Trial. J. Natl. Cancer Inst. 2017, 109, djw290. [Google Scholar] [CrossRef] [PubMed]
- Liu, J.; Ho, P.J.; Tan, T.H.L.; Yeoh, Y.S.; Chew, Y.J.; Mohamed Riza, N.K.; Khng, A.J.; Goh, S.A.; Wang, Y.; Oh, H.B.; et al. BREAst screening Tailored for HEr (BREATHE)-A study protocol on personalised risk-based breast cancer screening programme. PLoS ONE 2022, 17, e0265965. [Google Scholar] [CrossRef]
- Ho, P.J.; Liu, J.; Goh, S.-A.; Khng, A.J.; Mohamed Riza, N.K.; Chew, Y.J.; Ong, D.L.S.; Wang, Y.; Hew, F.M.; Jagmohan, P.; et al. Profile of the BREATHE cohort for risk-based breast screening in Singapore. Sci. Rep. 2025, 15, 35424. [Google Scholar] [CrossRef]
- Bevers, T.B.; Niell, B.L.; Baker, J.L.; Bennett, D.L.; Bonaccio, E.; Camp, M.S.; Chikarmane, S.; Conant, E.F.; Eghtedari, M.; Flanagan, M.R.; et al. NCCN Guidelines®® Insights: Breast Cancer Screening and Diagnosis, Version 1.2023. J. Natl. Compr. Cancer Netw. 2023, 21, 900–909. [Google Scholar] [CrossRef]
- Owens, D.K.; Davidson, K.W.; Krist, A.H.; Barry, M.J.; Cabana, M.; Caughey, A.B.; Doubeni, C.A.; Epling, J.W.; Kubik, M.; Landefeld, C.S.; et al. Medication Use to Reduce Risk of Breast Cancer. JAMA 2019, 322, 857–867. [Google Scholar] [CrossRef] [PubMed]
- Schnitt, S.J. Diagnosis of ductal carcinoma in situ in an era of de-escalation of therapy. Mod. Pathol. 2021, 34, 1–7. [Google Scholar] [CrossRef]
- Leonard, G.D.; Swain, S.M. Ductal Carcinoma In Situ, Complexities and Challenges. JNCI J. Natl. Cancer Inst. 2004, 96, 906–920. [Google Scholar] [CrossRef]
- Allred, D.C. Ductal Carcinoma In Situ: Terminology, Classification, and Natural History. JNCI Monogr. 2010, 2010, 134–138. [Google Scholar] [CrossRef]
- Claus, E.B.; Stowe, M.; Carter, D. Breast Carcinoma In Situ: Risk Factors and Screening Patterns. JNCI J. Natl. Cancer Inst. 2001, 93, 1811–1817. [Google Scholar] [CrossRef][Green Version]
- Vatovec, C.; Erten, M.Z.; Kolodinsky, J.; Brown, P.; Wood, M.; James, T.; Sprague, B.L. Ductal carcinoma in situ: A brief review of treatment variation and impacts on patients and society. Crit. Rev. Eukaryot. Gene Expr. 2014, 24, 281–286. [Google Scholar] [CrossRef] [PubMed]
- Petridis, C.; Brook, M.N.; Shah, V.; Kohut, K.; Gorman, P.; Caneppele, M.; Levi, D.; Papouli, E.; Orr, N.; Cox, A.; et al. Genetic predisposition to ductal carcinoma in situ of the breast. Breast Cancer Res. 2016, 18, 22. [Google Scholar] [CrossRef]
- Breast Cancer Association, C. Commonly studied single-nucleotide polymorphisms and breast cancer: Results from the Breast Cancer Association Consortium. J. Natl. Cancer Inst. 2006, 98, 1382–1396. [Google Scholar] [CrossRef]
- Amos, C.I.; Dennis, J.; Wang, Z.; Byun, J.; Schumacher, F.R.; Gayther, S.A.; Casey, G.; Hunter, D.J.; Sellers, T.A.; Gruber, S.B.; et al. The OncoArray Consortium: A Network for Understanding the Genetic Architecture of Common Cancers. Cancer Epidemiol. Biomark. Prev. 2017, 26, 126–135. [Google Scholar] [CrossRef] [PubMed]
- Gail, M.H.; Brinton, L.A.; Byar, D.P.; Corle, D.K.; Green, S.B.; Schairer, C.; Mulvihill, J.J. Projecting individualized probabilities of developing breast cancer for white females who are being examined annually. J. Natl. Cancer Inst. 1989, 81, 1879–1886. [Google Scholar] [CrossRef]
- Mavaddat, N.; Michailidou, K.; Dennis, J.; Lush, M.; Fachal, L.; Lee, A.; Tyrer, J.P.; Chen, T.H.; Wang, Q.; Bolla, M.K.; et al. Polygenic Risk Scores for Prediction of Breast Cancer and Breast Cancer Subtypes. Am. J. Hum. Genet. 2019, 104, 21–34. [Google Scholar] [CrossRef]
- Chang, C.C.; Chow, C.C.; Tellier, L.C.A.M.; Vattikuti, S.; Purcell, S.M.; Lee, J.J. Second-generation PLINK: Rising to the challenge of larger and richer datasets. Gigascience 2015, 4, 7. [Google Scholar] [CrossRef]
- Wen, W.; Shu, X.O.; Guo, X.; Cai, Q.; Long, J.; Bolla, M.K.; Michailidou, K.; Dennis, J.; Wang, Q.; Gao, Y.T.; et al. Prediction of breast cancer risk based on common genetic variants in women of East Asian ancestry. Breast Cancer Res. 2016, 18, 124. [Google Scholar] [CrossRef]
- Sadatsafavi, M.; Saha-Chaudhuri, P.; Petkau, J. Model-Based ROC Curve: Examining the Effect of Case Mix and Model Calibration on the ROC Plot. Med. Decis. Mak. 2021, 42, 487–499. [Google Scholar] [CrossRef]
- Monticciolo, D.L.; Malak, S.F.; Friedewald, S.M.; Eby, P.R.; Newell, M.S.; Moy, L.; Destounis, S.; Leung, J.W.T.; Hendrick, R.E.; Smetherman, D. Breast Cancer Screening Recommendations Inclusive of All Women at Average Risk: Update from the ACR and Society of Breast Imaging. J. Am. Coll. Radiol. 2021, 18, 1280–1288. [Google Scholar] [CrossRef]
- Garcia-Closas, M.; Chatterjee, N.; Swerdlow, A.J.; Gail, M.H.; Jones, M.E.; Schoemaker, M.J.; Coulson, P.; Orr, N.; Ahearn, T.; Zhang, Y.; et al. Comparative Validation of Breast Cancer Risk Prediction Models and Projections for Future Risk Stratification. JNCI J. Natl. Cancer Inst. 2020, 112, 278–285. [Google Scholar] [CrossRef]
- Gao, Y.; Li, S.; Jin, Y.; Zhou, L.; Sun, S.; Xu, X.; Li, S.; Yang, H.; Zhang, Q.; Wang, Y. An Assessment of the Predictive Performance of Current Machine Learning–Based Breast Cancer Risk Prediction Models: Systematic Review. JMIR Public Health Surveill. 2022, 8, e35750. [Google Scholar] [CrossRef] [PubMed]
- Zheng, Y.; Li, J.; Wu, Z.; Li, H.; Cao, M.; Li, N.; He, J. Risk prediction models for breast cancer: A systematic review. BMJ Open 2022, 12, e055398. [Google Scholar] [CrossRef]
- Kasperski, A. Life Entrapped in a Network of Atavistic Attractors: How to Find a Rescue. Int. J. Mol. Sci. 2022, 23, 4017. [Google Scholar] [CrossRef] [PubMed]
- Wang, J.; Li, B.; Luo, M.; Huang, J.; Zhang, K.; Zheng, S.; Zhang, S.; Zhou, J. Progression from ductal carcinoma in situ to invasive breast cancer: Molecular features and clinical significance. Signal Transduct. Target. Ther. 2024, 9, 83. [Google Scholar] [CrossRef] [PubMed]
- van den Broek, J.J.; Schechter, C.B.; van Ravesteyn, N.T.; Janssens, A.C.J.W.; Wolfson, M.C.; Trentham-Dietz, A.; Simard, J.; Easton, D.F.; Mandelblatt, J.S.; Kraft, P.; et al. Personalizing Breast Cancer Screening Based on Polygenic Risk and Family History. JNCI J. Natl. Cancer Inst. 2021, 113, 434–442. [Google Scholar] [CrossRef]
- Liu, L.; Zhou, P.; Hou, L.; Kao, C.; Zhang, Z.; Wang, D.; Yu, L.; Wang, F.; Wang, Y.; Yu, Z. Development and performance of female breast cancer incidence risk prediction models: A systematic review and meta-analysis. Ann. Med. 2025, 57, 2534522. [Google Scholar] [CrossRef]
- Jiao, Y.; Truong, T.; Eon-Marchais, S.; Mebirouk, N.; Caputo, S.M.; Dondon, M.-G.; Karimi, M.; Le Gal, D.; Beauvallet, J.; Le Floch, É.; et al. Association and performance of polygenic risk scores for breast cancer among French women presenting or not a familial predisposition to the disease. Eur. J. Cancer 2023, 179, 76–86. [Google Scholar] [CrossRef] [PubMed]
- Yiangou, K.; Mavaddat, N.; Dennis, J.; Zanti, M.; Wang, Q.; Bolla, M.K.; Abubakar, M.; Ahearn, T.U.; Andrulis, I.L.; Anton-Culver, H.; et al. Polygenic score distribution differences across European ancestry populations: Implications for breast cancer risk prediction. Breast Cancer Res. 2024, 26, 189. [Google Scholar] [CrossRef] [PubMed]
- Vickers, A.J.; Van Calster, B.; Steyerberg, E. Decision Curves, Calibration, and Subgroups. J. Clin. Oncol. 2017, 35, 472–473. [Google Scholar] [CrossRef] [PubMed]
- Zeggini, E.; Fritsche, L.G.; Ma, Y.; Zhang, D.; Salvatore, M.; Lee, S.; Zhou, X.; Mukherjee, B. On cross-ancestry cancer polygenic risk scores. PLoS Genet. 2021, 17, e1009670. [Google Scholar] [CrossRef]
- Zheng, Y.; Allman, R.; Spaeth, E.; Lai, J.; Gross, S.J.; Hopper, J.L. A streamlined model for use in clinical breast cancer risk assessment maintains predictive power and is further improved with inclusion of a polygenic risk score. PLoS ONE 2021, 16, e0245375. [Google Scholar] [CrossRef]




| European, n = 161,849 | Asian, n = 18,549 | |||||
|---|---|---|---|---|---|---|
| Control n = 68,540 (42%) | Invasive n = 83,685 (52%) | DCIS n = 9624 (6%) | Control n = 8347 (45%) | Invasive n = 9222 (50%) | DCIS n = 980 (5%) | |
| Median age (at interview/diagnosis), years (IQR) | 57 (50 to 64) | 57 (49 to 65) | 55 (50 to 63) | 50 (44 to 58) | 49 (43 to 57) | 49 (43 to 56) |
| Age at menarche, n (%) | ||||||
| <12 years | 9825 (14) | 10,859 (13) | 1733 (18) | 508 (6) | 586 (6) | 61 (6) |
| 12 to 14 years | 30,243 (44) | 33,476 (40) | 4546 (47) | 3080 (37) | 3278 (36) | 326 (33) |
| ≥14 years | 21,133 (31) | 23,169 (28) | 2758 (29) | 4321 (52) | 4186 (45) | 467 (48) |
| Unknown | 7339 (11) | 16,181 (19) | 587 (6) | 438 (5) | 1172 (13) | 126 (13) |
| Age at first full-term pregnancy, n (%) | ||||||
| Nulliparous | 8319 (12) | 10,769 (13) | 1520 (16) | 1005 (12) | 1236 (13) | 158 (16) |
| <20 years | 5427 (8) | 6138 (7) | 794 (8) | 316 (4) | 362 (4) | 29 (3) |
| 20 to 24 years | 21,863 (32) | 21,927 (26) | 2899 (30) | 1948 (23) | 1810 (20) | 135 (14) |
| 25 to 29 years | 17,543 (26) | 18,174 (22) | 2382 (25) | 2836 (34) | 3030 (33) | 293 (30) |
| ≥30 years | 8487 (12) | 9973 (12) | 1386 (14) | 1149 (14) | 1554 (17) | 156 (16) |
| Unknown | 6901 (10) | 16,704 (20) | 643 (7) | 1093 (13) | 1230 (13) | 209 (21) |
| Family history, n (%) | ||||||
| No | 45,629 (67) | 48,903 (58) | 4005 (42) | 7181 (86) | 7500 (81) | 708 (72) |
| 1 | 5348 (8) | 10,256 (12) | 1115 (12) | 437 (5) | 876 (9) | 114 (12) |
| ≥2 | 791 (1) | 2064 (2) | 305 (3) | 63 (1) | 93 (1) | 13 (1) |
| Unknown | 16,772 (24) | 22,462 (27) | 4199 (44) | 666 (8) | 753 (8) | 145 (15) |
| Number of breast biopsy, n (%) | ||||||
| No | 930 (1) | 3181 (4) | 96 (1) | 0 (0) | 0 (0) | 0 (0) |
| 1 | 277 (0) | 3148 (4) | 216 (2) | 0 (0) | 0 (0) | 0 (0) |
| ≥2 | 103 (0) | 1822 (2) | 148 (2) | 0 (0) | 0 (0) | 0 (0) |
| Unknown | 67,230 (98) | 75,534 (90) | 9164 (95) | 8347 (100) | 9222 (100) | 980 (100) |
| Atypical hyperplasia, n (%) | ||||||
| No | 930 (1) | 3181 (4) | 96 (1) | 0 (0) | 0 (0) | 0 (0) |
| Yes | 5 (0) | 49 (0) | 8 (0) | 0 (0) | 0 (0) | 0 (0) |
| Unknown | 67,605 (99) | 80,455 (96) | 9520 (99) | 8347 (100) | 9222 (100) | 980 (100) |
| Median five-year absolute risk by Gail (IQR) | 1.25 (0.92 to 1.64) | 1.25 (0.89 to 1.73) | 1.29 (0.98 to 1.71) | 0.61 (0.45 to 0.78) | 0.61 (0.44 to 0.80) | 0.61 (0.38 to 0.81) |
| Protein truncating variants (9 Genes) | ||||||
| No | 24,215 (35) | 27,926 (33) | 1662 (17) | 1091 (13) | 2049 (22) | 317 (32) |
| Yes | 583 (1) | 1927 (2) | 74 (1) | 24 (0) | 129 (1) | 7 (1) |
| Unknown | 43,742 (64) | 53,832 (64) | 7888 (82) | 7232 (87) | 7044 (76) | 656 (67) |
| Polygenic risk score (PRS) | −0.45 (−0.86 to −0.04) | −0.09 (−0.51 to 0.32) | −0.15 (−0.55 to 0.27) | 0.16 (−0.20 to 0.53) | 0.37 (−0.01 to 0.76) | 0.45 (0.05 to 0.83) |
| Median five-year absolute risk by PRS (IQR) | 0.69 (0.46 to 1.05) | 0.95 (0.62 to 1.44) | 0.91 (0.61 to 1.37) | 0.62 (0.40 to 0.95) | 0.74 (0.44 to 1.15) | 0.79 (0.44 to 1.28) |
| All Ages | <50 Years | ≥50 Years | ||||
|---|---|---|---|---|---|---|
| OR (95% CI) | AUC (95% CI) | OR (95% CI) | AUC (95% CI) | OR (95% CI) | AUC (95% CI) | |
| Invasive | ||||||
| European, n = 152,225 | ||||||
| PRS | 1.97 (1.94 to 2.01) | 0.635 (0.632 to 0.638) | 2.51 (2.39 to 2.62) | 0.622 (0.617 to 0.628) | 2.06 (2.02 to 2.11) | 0.653 (0.650 to 0.656) |
| P interaction (PRS × Age) | <0.001 | |||||
| Gail | 1.12 (1.11 to 1.14) | 0.492 (0.489 to 0.495) | 1.35 (1.29 to 1.40) | 0.493 (0.487 to 0.499) | 1.18 (1.16 to 1.19) | 0.517 (0.514 to 0.520) |
| P interaction (Gail × Age) | <0.001 | |||||
| PRS and Gail combined | 0.635 (0.632 to 0.638) | 0.621 (0.616 to 0.627) | 0.654 (0.651 to 0.658) | |||
| PRS | 1.97 (1.93 to 2.00) | 2.46 (2.35 to 2.58) | 2.04 (2.00 to 2.08) | |||
| Gail | 1.01 (1.00 to 1.03) | 1.06 (1.02 to 1.10) | 1.13 (1.11 to 1.15) | |||
| Asian, n = 17,569 | ||||||
| PRS | 1.48 (1.41 to 1.56) | 0.564 (0.556 to 0.573) | 1.62 (1.47 to 1.78) | 0.551 (0.539 to 0.563) | 1.64 (1.53 to 1.75) | 0.600 (0.588 to 0.611) |
| P interaction (PRS × Age) | 0.833 | |||||
| Gail | 1.19 (1.09 to 1.30) | 0.506 (0.497 to 0.514) | 0.94 (0.81 to 1.08) | 0.523 (0.511 to 0.535) | 1.82 (1.61 to 2.07) | 0.554 (0.543 to 0.566) |
| P interaction (Gail × Age) | <0.001 | |||||
| PRS and Gail combined | 0.564 (0.556 to 0.573) | 0.566 (0.554 to 0.578) | 0.611 (0.599 to 0.622) | |||
| PRS | 1.48 (1.40 to 1.56) | 1.76 (1.58 to 1.95) | 1.61 (1.51 to 1.73) | |||
| Gail | 1.00 (0.91 to 1.09) | 0.69 (0.59 to 0.81) | 1.75 (1.54 to 1.99) | |||
| DCIS | ||||||
| European, n = 78,164 | ||||||
| PRS | 1.63 (1.59 to 1.68) | 0.626 (0.620 to 0.631) | 2.56 (2.37 to 2.78) | 0.657 (0.645 to 0.669) | 1.56 (1.51 to 1.61) | 0.620 (0.613 to 0.626) |
| P interaction (PRS × Age) | <0.001 | |||||
| Gail | 1.23 (1.20 to 1.26) | 0.537 (0.531 to 0.543) | 2.28 (2.10 to 2.49) | 0.610 (0.597 to 0.622) | 1.19 (1.16 to 1.22) | 0.519 (0.512 to 0.526) |
| P interaction (Gail × Age) | <0.001 | |||||
| PRS and Gail combined | 0.622 (0.616 to 0.628) | 0.669 (0.657 to 0.681) | 0.618 (0.611 to 0.624) | |||
| PRS | 1.59 (1.55 to 1.64) | 2.29 (2.11 to 2.48) | 1.54 (1.50 to 1.59) | |||
| Gail | 1.15 (1.12 to 1.18) | 1.92 (1.76 to 2.10) | 1.15 (1.12 to 1.19) | |||
| Asian, n = 9327 | ||||||
| PRS | 1.67 (1.52 to 1.83) | 0.587 (0.566 to 0.607) | 1.70 (1.42 to 2.03) | 0.556 (0.528 to 0.584) | 1.89 (1.69 to 2.12) | 0.654 (0.628 to 0.680) |
| P interaction (PRS × Age) | 0.313 | |||||
| Gail | 1.25 (1.03 to 1.52) | 0.507 (0.486 to 0.528) | 0.99 (0.71 to 1.38) | 0.533 (0.505 to 0.562) | 1.88 (1.46 to 2.41) | 0.542 (0.513 to 0.572) |
| P interaction (Gail × Age) | 0.002 | |||||
| PRS and Gail combined | 0.587 (0.566 to 0.607) | 0.565 (0.537 to 0.593) | 0.665 (0.640 to 0.691) | |||
| PRS | 1.66 (1.52 to 1.83) | 1.78 (1.48 to 2.15) | 1.88 (1.68 to 2.11) | |||
| Gail | 1.01 (0.82 to 1.25) | 0.72 (0.50 to 1.05) | 1.80 (1.39 to 2.32) | |||
Disclaimer/Publisher’s Note: The statements, opinions and data contained in all publications are solely those of the individual author(s) and contributor(s) and not of MDPI and/or the editor(s). MDPI and/or the editor(s) disclaim responsibility for any injury to people or property resulting from any ideas, methods, instructions or products referred to in the content. |
© 2025 by the authors. Licensee MDPI, Basel, Switzerland. This article is an open access article distributed under the terms and conditions of the Creative Commons Attribution (CC BY) license (https://creativecommons.org/licenses/by/4.0/).
Share and Cite
Ho, P.J.; Loo, C.K.Y.; Lim, R.J.Y.; Goh, M.H.; Abubakar, M.; Ahearn, T.U.; Andrulis, I.L.; Antonenkova, N.N.; Aronson, K.J.; Augustinsson, A.; et al. Threshold-Based Overlap of Breast Cancer High-Risk Classification Using Family History, Polygenic Risk Scores, and Traditional Risk Models in 180,398 Women. Cancers 2025, 17, 3561. https://doi.org/10.3390/cancers17213561
Ho PJ, Loo CKY, Lim RJY, Goh MH, Abubakar M, Ahearn TU, Andrulis IL, Antonenkova NN, Aronson KJ, Augustinsson A, et al. Threshold-Based Overlap of Breast Cancer High-Risk Classification Using Family History, Polygenic Risk Scores, and Traditional Risk Models in 180,398 Women. Cancers. 2025; 17(21):3561. https://doi.org/10.3390/cancers17213561
Chicago/Turabian StyleHo, Peh Joo, Christine Kim Yan Loo, Ryan Jak Yang Lim, Meng Huang Goh, Mustapha Abubakar, Thomas U. Ahearn, Irene L. Andrulis, Natalia N. Antonenkova, Kristan J. Aronson, Annelie Augustinsson, and et al. 2025. "Threshold-Based Overlap of Breast Cancer High-Risk Classification Using Family History, Polygenic Risk Scores, and Traditional Risk Models in 180,398 Women" Cancers 17, no. 21: 3561. https://doi.org/10.3390/cancers17213561
APA StyleHo, P. J., Loo, C. K. Y., Lim, R. J. Y., Goh, M. H., Abubakar, M., Ahearn, T. U., Andrulis, I. L., Antonenkova, N. N., Aronson, K. J., Augustinsson, A., Behrens, S., Bodelon, C., Bogdanova, N. V., Bolla, M. K., Brantley, K. D., Brenner, H., Byers, H., Camp, N. J., Castelao, J. E., ... SGBCC Investigators. (2025). Threshold-Based Overlap of Breast Cancer High-Risk Classification Using Family History, Polygenic Risk Scores, and Traditional Risk Models in 180,398 Women. Cancers, 17(21), 3561. https://doi.org/10.3390/cancers17213561

