Real-World Outcomes of Ipilimumab–Nivolumab vs. Anti-PD-1 Monotherapy in Metastatic Uveal Melanoma: A Single-Center Retrospective Study
Simple Summary
Abstract
1. Introduction
2. Materials and Methods
2.1. Patient Selection and Data Collection
2.2. Treatment Regimens
2.3. Endpoints
2.4. Statistical Analysis
2.5. Use of Generative AI
3. Results
3.1. Baseline Characteristics
3.2. Treatment Exposure
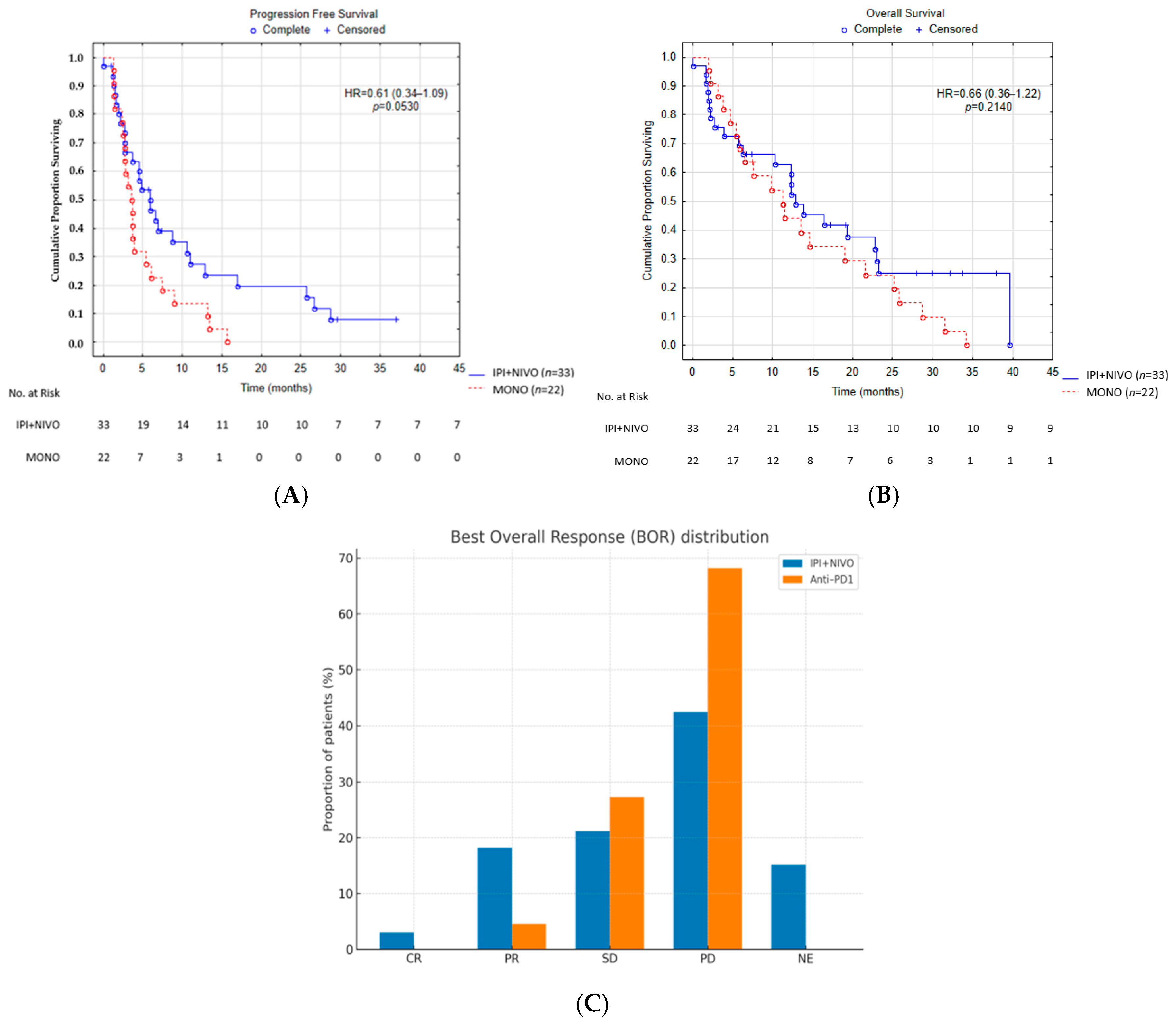
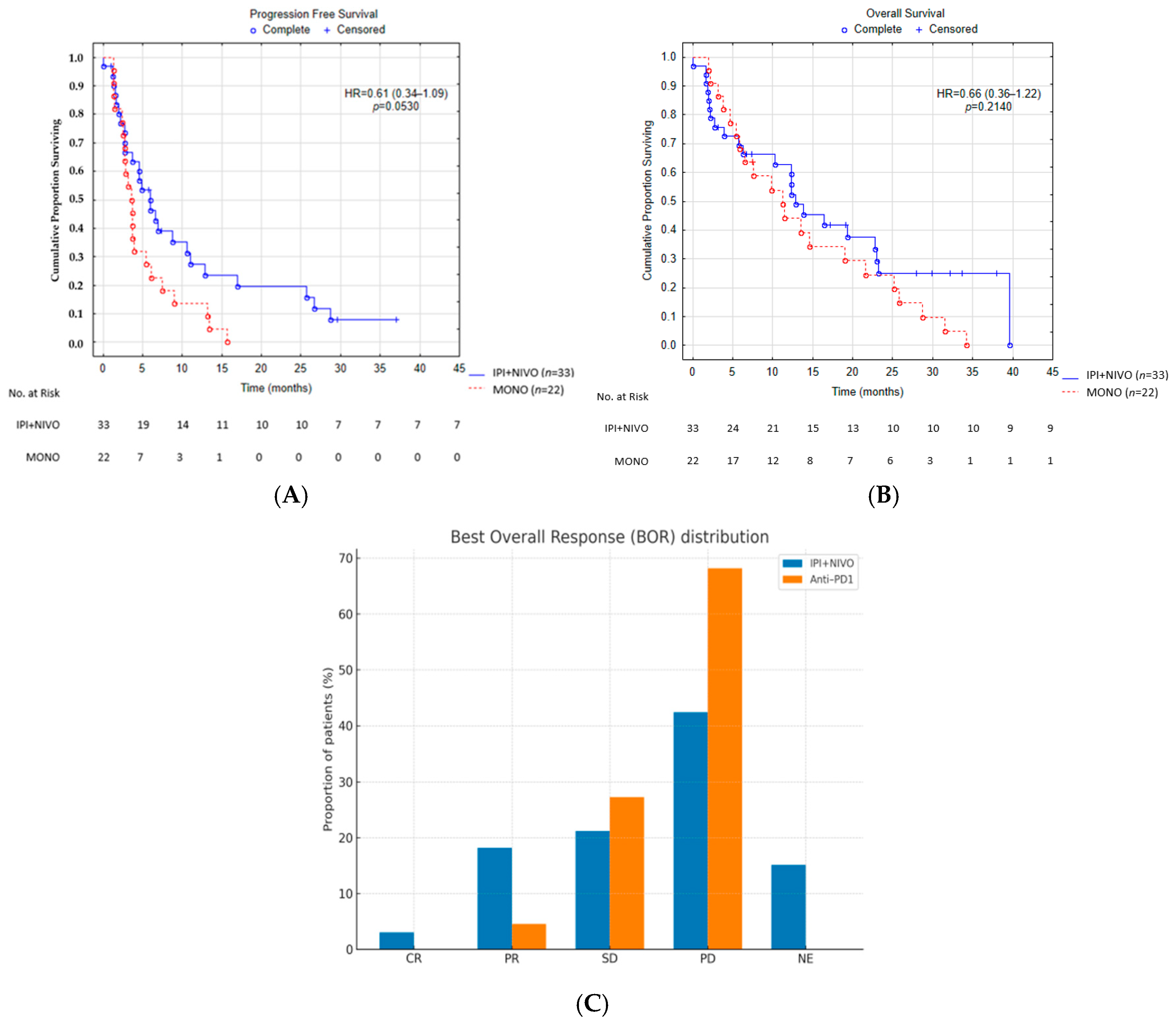
3.3. Efficacy Outcomes
3.4. Safety
3.5. Post–Treatment Therapy and Survival Status
3.6. Survival Outcomes
4. Discussion
5. Conclusions
Supplementary Materials
Author Contributions
Funding
Institutional Review Board Statement
Informed Consent Statement
Data Availability Statement
Acknowledgments
Conflicts of Interest
Abbreviations
| UM | Uveal melanoma | 
| mUM | Metastatic uveal melanoma | 
| ICI | Immune checkpoint inhibitor | 
| irAE | Immune-related adverse event | 
| OS | Overall survival | 
| PFS | Progression-free survival | 
| ORR | Objective response rate | 
| DCR | Disease control rate | 
| CR | Complete response | 
| PR | Partial response | 
| SD | Stable disease | 
| PD | Progressive disease | 
| NE | Not evaluable | 
| CI | Confidence interval | 
| HR | Hazard ratio | 
| LDH | Lactate dehydrogenase | 
| ECOG | Eastern Cooperative Oncology Group | 
| CTCAE | Common Terminology Criteria for Adverse Events | 
| ULN | Upper limit of normal | 
| BOR | Best overall response | 
| KM | Kaplan–Meier | 
References
- Kaliki, S.; Shields, C.L. Uveal melanoma: Relatively rare but deadly cancer. Eye 2017, 31, 241–257. [Google Scholar] [CrossRef]
 - Singh, A.D.; Turell, M.E.; Topham, A.K. Uveal melanoma: Trends in incidence, treatment, and survival. Ophthalmology 2011, 118, 1881–1885. [Google Scholar] [CrossRef] [PubMed]
 - Decatur, C.L.; Ong, E.; Garg, N.; Anbunathan, H.; Bowcock, A.M.; Field, M.G.; Harbour, J.W. Driver mutations in uveal melanoma: Associations with gene expression profile and patient outcomes. JAMA Ophthalmol. 2016, 134, 728–733. [Google Scholar] [CrossRef]
 - van den Bosch, T.; van Beek, J.G.; Vaarwater, J.; Verdijk, R.M.; Naus, N.C.; Paridaens, D.; de Klein, A.; Kiliç, E. Higher percentage of FISH-determined monosomy 3 and 8q amplification in uveal melanoma cells relate to poor patient prognosis. Invest. Ophthalmol. Vis. Sci. 2012, 53, 2668–2674. [Google Scholar] [CrossRef]
 - Diener-West, M.; Reynolds, S.M.; Agugliaro, D.J.; Caldwell, R.; Cumming, K.; Earle, J.D.; Hawkins, B.S.; Hayman, J.A.; Jaiyesimi, I.; Jampol, L.M.; et al. Development of metastatic disease after enrollment in the COMS trials for treatment of choroidal melanoma: Collaborative Ocular Melanoma Study Group Report No. 26. Arch. Ophthalmol. 2005, 123, 1639–1643. [Google Scholar] [CrossRef]
 - Heppt, M.V.; Heinzerling, L.; Kähler, K.C.; Forschner, A.; Kirchberger, M.C.; Loquai, C.; Meissner, M.; Meier, F.; Terheyden, P.; Schell, B.; et al. Prognostic factors and outcomes in metastatic uveal melanoma treated with programmed cell death-1 or combined PD-1/cytotoxic T-lymphocyte antigen-4 inhibition. Eur. J. Cancer 2017, 82, 56–65. [Google Scholar] [CrossRef]
 - Algazi, A.P.; Tsai, K.K.; Shoushtari, A.N.; Munhoz, R.R.; Eroglu, Z.; Piulats, J.M.; Ott, P.A.; Johnson, D.B.; Hwang, J.; Daud, A.I.; et al. Clinical outcomes in metastatic uveal melanoma treated with PD-1 and PD-L1 antibodies. Cancer 2016, 122, 3344–3353. [Google Scholar] [CrossRef] [PubMed]
 - Niederkorn, J.Y. Ocular immune privilege and ocular melanoma: Parallel universes or immunological plagiarism. Front. Immunol. 2012, 3, 148. [Google Scholar] [CrossRef]
 - Basile, M.S.; Mazzon, E.; Fagone, P.; Longo, A.; Russo, A.; Fallico, M.; Bonfiglio, V.; Nicoletti, F.; Avitabile, T.; Reibaldi, M. Immunobiology of uveal melanoma: State of the art and therapeutic targets. Front. Oncol. 2019, 9, 1145. [Google Scholar] [CrossRef] [PubMed]
 - Piulats, J.M.; Espinosa, E.; de la Cruz Merino, L.; Varela, M.; Alonso Carrión, L.; Martín-Algarra, S.; López Castro, R.; Curiel, T.; Rodríguez-Abreu, D.; Redrado, M.; et al. Nivolumab plus ipilimumab for treatment-naïve metastatic uveal melanoma: An open-label, multicenter, phase II trial by the Spanish Multidisciplinary Melanoma Group (GEM-1402). J. Clin. Oncol. 2021, 39, 586–598. [Google Scholar] [CrossRef]
 - Pelster, M.S.; Gruschkus, S.K.; Bassett, R.; Gombos, D.S.; Shephard, M.; Posada, L.; Glover, M.S.; Simien, R.; Diab, A.; Hwu, P.; et al. Nivolumab and ipilimumab in metastatic uveal melanoma: Results from a single-arm phase II study. J. Clin. Oncol. 2021, 39, 599–607. [Google Scholar] [CrossRef] [PubMed]
 - Heppt, M.V.; Amaral, T.; Kähler, K.C.; Heinzerling, L.; Hassel, J.C.; Meissner, M.; Kreuzberg, N.; Loquai, C.; Reinhardt, L.; Utikal, J.; et al. Combined immune checkpoint blockade for metastatic uveal melanoma: A retrospective, multi-center study. J. Immunother. Cancer 2019, 7, 299. [Google Scholar] [CrossRef] [PubMed]
 - National Cancer Institute. NCI Dictionary of Cancer Terms. National Cancer Institute. 2025. Available online: https://www.cancer.gov/publications/dictionaries/cancer-terms (accessed on 22 October 2025).
 - Delgado, A.; Guddati, A.K. Clinical endpoints in oncology—A primer. Am. J. Cancer Res. 2021, 11, 1121–1131. [Google Scholar] [PubMed]
 - Eisenhauer, E.A.; Therasse, P.; Bogaerts, J.; Schwartz, L.H.; Sargent, D.; Ford, R.; Dancey, J.; Arbuck, S.; Gwyther, S.; Mooney, M.; et al. New response evaluation criteria in solid tumours: Revised RECIST guideline (version 1.1). Eur. J. Cancer 2009, 45, 228–247. [Google Scholar] [CrossRef]
 - National Cancer Institute. Common Terminology Criteria for Adverse Events (CTCAE), Version 4.0. 2017. Available online: https://evs.nci.nih.gov/ftp1/CTCAE/CTCAE_4.03/CTCAE_4.03_2010-06-14_QuickReference_5x7.pdf (accessed on 28 May 2009).
 - National Cancer Institute. Common Terminology Criteria for Adverse Events (CTCAE), Version 5.0. 2017. Available online: https://dctd.cancer.gov/research/ctep-trials/for-sites/adverse-events/ctcae-v5-5x7.pdf (accessed on 27 November 2017).
 - Spagnolo, F.; Grosso, M.; Picasso, V.; Tornari, E.; Pesce, M.; Queirolo, P. Treatment of metastatic uveal melanoma with intravenous fotemustine. Melanoma Res. 2013, 23, 196–198. [Google Scholar] [CrossRef]
 - Buder, K.; Gesierich, A.; Gelbrich, G.; Goebeler, M. Systemic treatment of metastatic uveal melanoma: Review of literature and future perspectives. Cancer Med. 2013, 2, 674–686. [Google Scholar] [CrossRef]
 - Carvajal, R.D.; Sosman, J.A.; Quevedo, J.F.; Milhem, M.M.; Joshua, A.M.; Kudchadkar, R.R.; Linette, G.P.; Gajewski, T.F.; Lutzky, J.; Lawson, D.H.; et al. Effect of selumetinib vs chemotherapy on progression-free survival in uveal melanoma: A randomized clinical trial. JAMA 2014, 311, 2397–2405. [Google Scholar] [CrossRef]
 - Najjar, Y.G.; Navrazhina, K.; Ding, F.; Bhatia, R.; Tsai, K.; Abbate, K.; Durden, B.; Eroglu, Z.; Bhatia, S.; Park, S.; et al. Ipilimumab plus nivolumab for patients with metastatic uveal melanoma: A multicenter, retrospective study. J. Immunother. Cancer 2020, 8, e000331. [Google Scholar] [CrossRef]
 - Larkin, J.; Chiarion-Sileni, V.; Gonzalez, R.; Grob, J.J.; Cowey, C.L.; Lao, C.D.; Schadendorf, D.; Dummer, R.; Smylie, M.; Rutkowski, P.; et al. Combined nivolumab and ipilimumab or monotherapy in untreated melanoma. N. Engl. J. Med. 2015, 373, 23–34. [Google Scholar] [CrossRef]
 - Demkowicz, P.; Pointdujour-Lim, R.; Miguez, S.; Lee, Y.; Jones, B.S.C.L.; Barker, C.A.; Bosenberg, M.; Abramson, D.H.; Shoushtari, A.N.; Kluger, H.; et al. Determinants of overall survival in patients with metastatic uveal melanoma. Cancer 2023, 129, 3275–3286. [Google Scholar] [CrossRef]
 - Hindso, T.G.; Jensen, P.S.; Sjøl, M.B.; Nissen, K.; Bjerrum, C.W.; von Benzon, E.; Faber, C.; Urbak, S.F.; Donia, M.; Svane, I.M.; et al. Impact of metastatic pattern on survival in patients with posterior uveal melanoma: A retrospective cohort study. Cancers 2024, 16, 3346. [Google Scholar] [CrossRef]
 - Ciernik, A.; Ciernik, L.; Bonczkowitz, P.; Morak, M.; Heinzerling, L.; Bennaceur, Y.; Lawless, A.; Sullivan, R.; Kött, J.; Gebhardt, C.; et al. Retrospective multicenter analysis of real-life toxicity and outcome of ipilimumab and nivolumab in metastatic uveal melanoma. Oncologist 2025, 30, oyaf173. [Google Scholar] [CrossRef] [PubMed]
 - Nathan, P.; Hassel, J.C.; Rutkowski, P.; Baurain, J.F.; Butler, M.O.; Schlaak, M.; Sullivan, R.J.; Ochsenreither, S.; Dummer, R.; Kirkwood, J.M.; et al. Overall survival benefit with tebentafusp in metastatic uveal melanoma. N. Engl. J. Med. 2021, 385, 1196–1206. [Google Scholar] [CrossRef]
 - Hassel, J.C.; Piperno-Neumann, S.; Rutkowski, P.; Baurain, J.F.; Schlaak, M.; Butler, M.O.; Sullivan, R.J.; Dummer, R.; Kirkwood, J.M.; Orloff, M.; et al. Three-year overall survival with tebentafusp in metastatic uveal melanoma. N. Engl. J. Med. 2023, 389, 2256–2266. [Google Scholar] [CrossRef] [PubMed]
 - Rowcroft, A.; Loveday, B.P.T.; Thomson, B.N.J.; Banting, S.; Knowles, B. Systematic review of liver-directed therapy for uveal melanoma hepatic metastases. HPB 2020, 22, 497–505. [Google Scholar] [CrossRef] [PubMed]
 - Pánczél, G.; Balatoni, T.; Szavcsúr, P.; Liszkay, G. Results achieved by intra-arterial chemotherapy in 50 ocular melanoma patients with metastases localised in the liver: Single-institute retrospective study. J. Eur. Acad. Dermatol. Venereol. 2017, 31 (Suppl. S3), 56. [Google Scholar]
 - Tong, T.M.L.; Burgmans, M.C.; Speetjens, F.M.; van Erkel, A.R.; van der Meer, R.W.; van Rijswijk, C.S.P.; Jonker-Bos, M.A.; Roozen, C.F.M.; Sporrel-Blokland, M.; Lutjeboer, J.; et al. Combining melphalan percutaneous hepatic perfusion with ipilimumab plus nivolumab in advanced uveal melanoma: First safety and efficacy data from the phase Ib part of the CHOPIN trial. Cardiovasc. Intervent. Radiol. 2023, 46, 350–359. [Google Scholar] [CrossRef]
 - Kapiteijn, E.; van den Hoek, L.; Speetjens, F.; Zunder, S.M.; van Erkel, A.; van der Meer, R.; van Rijswijk, C.; Lutjeboer, J.; Tong, T.M.; Jonker, M.; et al. Combined percutaneous hepatic perfusion with ipilimumab plus nivolumab in metastatic uveal melanoma (CHOPIN): A single-center, open-label, randomized, phase II study. In Proceedings of the European Society for Medical Oncology (ESMO) Congress 2025, Berlin, Germany, 17–21 October 2025. Abstract LBA59. [Google Scholar]
 - Yamada, K.; Takeuchi, M.; Fukumoto, T.; Suzuki, M.; Kato, A.; Mizuki, Y.; Yamada, N.; Kaneko, T.; Mizuki, N.; Horita, N. Immune checkpoint inhibitors for metastatic uveal melanoma: A meta-analysis. Sci. Rep. 2024, 14, 7887. [Google Scholar] [CrossRef]
 



| Characteristic | IPI + NIVO (n = 33) | Anti-PD-1 (n = 22) | 
|---|---|---|
| Median age, years (IQR) | 64 (58–71) | 64 (56–69) | 
| Age <65/≥65 | 17 (52%)/16 (48%) | 14 (64%)/8 (36%) | 
| Sex (male/female) | 16 (48%)/17 (52%) | 11 (50%)/11 (50%) | 
| ECOG performance status 0–1/≥2 | 32 (97%)/1 (3%) | 22 (100%)/0 (0%) | 
| Line of immunotherapy | ||
| First line | 28 (85%) | 17 (77%) | 
| Second line | 1 (3%) | 3 (14%) | 
| Later lines | 4 (12%) | 2 (9%) | 
| Median no. of prior systemic therapies (IQR, range) | 1 (0–1, 0–3) | 1 (1–1, 0–4) | 
| Prior liver-directed therapy | 14 (42%) | 11 (50%) | 
| Primary tumor laterality (left/right) | 52%/48% | 59%/41% | 
| Primary tumor location | ||
| Choroid | 19 (58%) | 6 (27%) | 
| Ciliary body | 1 (3%) | 1 (5%) | 
| Choroid + ciliary body | 4 (12%) | 4 (18%) | 
| Choroid + iris | 1 (3%) | 0 (0%) | 
| Unknown/missing | 8 (24%) | 11 (50%) | 
| Median largest basal diameter, mm (IQR, range) | 12 (11–15, 4–20); 36% missing | 13 (12–18, 10–20); 64% missing | 
| Median tumor thickness, mm (IQR, range) | 6 (4–9, 2–17); 33% missing | 9 (6–10, 5–16); 55% missing | 
| AJCC T category | T1 12%, T2 24%, T3 12%, T4 9%, Unknown 42% | T2 5%, T3 14%, T4 9%, Unknown 73% | 
| Local treatment of primary tumor | ||
| Enucleation | 62% | 56% | 
| Brachytherapy | 30% | 42% | 
| Sequential/other | 8% | 2% | 
| HLA-A*02:01 status | Negative 8 (62%), Positive 5 (38%), Unknown 20 (61%) | Unknown (100%) | 
| Metastatic pattern | ||
| Liver-only disease | 15 (45%) | 8 (36%) | 
| Extrahepatic-only disease | 2 (6%) | 4 (18%) | 
| Sites of metastases | ||
| Liver | 51% | 50% | 
| Lung | 20% | 22% | 
| Bone | 8% | 8% | 
| Lymph nodes | 3% | 8% | 
| Skin | 11% | 0% | 
| CNS | 2% | 0% | 
| Other | 5% | 11% | 
| LDH ≤ 2× ULN/>2× ULN/>5× ULN | 25 (76%)/8 (24%)/4 (12%) | 17 (77%)/5 (23%)/0 (0%) | 
| Outcome | IPI + NIVO (n = 33) | Anti-PD-1 (n = 22) | 
|---|---|---|
| CR | 1 (3%) | 0 (0%) | 
| PR | 6 (18%) | 1 (5%) | 
| SD | 7 (21%) | 6 (27%) | 
| PD | 14 (42%) | 15 (68%) | 
| NE | 5 (15%) | 0 (0%) | 
| ORR (CR + PR) | 7 (21%) | 1 (5%) | 
| DCR (CR + PR + SD) | 14 (42%) | 7 (32%) | 
| Median PFS, months | 5.8 | 3.7 | 
| Median OS, months | 12.3 | 10.6 | 
| HR (95% CI), p—PFS | 0.61 (0.34–1.09), p = 0.053 | |
| HR (95% CI), p—OS | 0.66 (0.36–1.22), p = 0.214 | 
| Cohort | 6-mo PFS Rate | 12-mo PFS Rate | 6-mo OS Rate | 12-mo OS Rate | On Treatment ≥ 6 mo | On Treatment ≥ 12 mo | 
|---|---|---|---|---|---|---|
| IPI + NIVO (n = 33) | 49.8% | 27.4% | 66.3% | 63.2% | 36.4% | 15.2% | 
| Anti–PD–1 (n = 22) | 22.7% | 13.4% | 68.2% | 44.1% | 22.7% | 9.1% | 
Disclaimer/Publisher’s Note: The statements, opinions and data contained in all publications are solely those of the individual author(s) and contributor(s) and not of MDPI and/or the editor(s). MDPI and/or the editor(s) disclaim responsibility for any injury to people or property resulting from any ideas, methods, instructions or products referred to in the content.  | 
© 2025 by the authors. Licensee MDPI, Basel, Switzerland. This article is an open access article distributed under the terms and conditions of the Creative Commons Attribution (CC BY) license (https://creativecommons.org/licenses/by/4.0/).
Share and Cite
Pánczél, G.; Horváth, P.; Temaj, E.; Czirbesz, K.; Kispál, M.T.; Fröhlich, G.; Balatoni, T. Real-World Outcomes of Ipilimumab–Nivolumab vs. Anti-PD-1 Monotherapy in Metastatic Uveal Melanoma: A Single-Center Retrospective Study. Cancers 2025, 17, 3521. https://doi.org/10.3390/cancers17213521
Pánczél G, Horváth P, Temaj E, Czirbesz K, Kispál MT, Fröhlich G, Balatoni T. Real-World Outcomes of Ipilimumab–Nivolumab vs. Anti-PD-1 Monotherapy in Metastatic Uveal Melanoma: A Single-Center Retrospective Study. Cancers. 2025; 17(21):3521. https://doi.org/10.3390/cancers17213521
Chicago/Turabian StylePánczél, Gitta, Patrik Horváth, Erijona Temaj, Kata Czirbesz, Mihály Tamás Kispál, Georgina Fröhlich, and Tímea Balatoni. 2025. "Real-World Outcomes of Ipilimumab–Nivolumab vs. Anti-PD-1 Monotherapy in Metastatic Uveal Melanoma: A Single-Center Retrospective Study" Cancers 17, no. 21: 3521. https://doi.org/10.3390/cancers17213521
APA StylePánczél, G., Horváth, P., Temaj, E., Czirbesz, K., Kispál, M. T., Fröhlich, G., & Balatoni, T. (2025). Real-World Outcomes of Ipilimumab–Nivolumab vs. Anti-PD-1 Monotherapy in Metastatic Uveal Melanoma: A Single-Center Retrospective Study. Cancers, 17(21), 3521. https://doi.org/10.3390/cancers17213521
        
