International External Validation of Risk Prediction Model of 90-Day Mortality after Gastrectomy for Cancer Using Machine Learning
Abstract
Simple Summary
Abstract
1. Introduction
2. Materials and Methods
2.1. Source of Data
2.1.1. Study Development Cohort
2.1.2. Validation Cohort
2.1.3. Ethics
2.1.4. Eligibility and Primary Outcome
2.1.5. Predictor Characteristics and Statistical Analysis
2.1.6. External Validation of the Predictive Model
3. Results
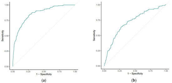
3.1. Model Performance: Discrimination
3.2. Variable Importance
4. Discussion
5. Conclusions
Supplementary Materials
Author Contributions
Funding
Institutional Review Board Statement
Informed Consent Statement
Data Availability Statement
Acknowledgments
Conflicts of Interest
Appendix A
References
- Thrift, A.P.; Wenker, T.N.; El-Serag, H.B. Global burden of gastric cancer: Epidemiological trends, risk factors, screening and prevention. Nat. Rev. Clin. Oncol. 2023, 20, 338–349. [Google Scholar] [CrossRef]
- Lordick, F.; Carneiro, F.; Cascinu, S.; Fleitas, T.; Haustermans, K.; Piessen, G.; Vogel, A.; Smyth, E.C. Gastric cancer: ESMO Clinical Practice Guideline for diagnosis, treatment and follow-up. Ann. Oncol. 2022, 33, 1005–1020. [Google Scholar] [CrossRef] [PubMed]
- Schneider, M.A.; Kim, J.; Berlth, F.; Sugita, Y.; Grimminger, P.P.; Sano, T.; Rosati, R.; Baiocchi, G.L.; Bencivenga, M.; De Manzoni, G.; et al. Defining benchmarks for total and distal gastrectomy: Global multicentre analysis. Br. J. Surg. 2024, 111, znad379. [Google Scholar] [CrossRef] [PubMed]
- Challine, A.; Voron, T.; Dousset, B.; Creavin, B.; Katsahian, S.; Parc, Y.; Lazzati, A.; Lefevre, J.H. Postoperative outcomes after laparoscopic or open gastrectomy: A national cohort study of 10,343 patients. Eur. J. Surg. Oncol. 2021, 47, 1985–1995. [Google Scholar] [CrossRef] [PubMed]
- Baiocchi, G.L.; Giacopuzzi, S.; Reim, D.; Piessen, G.; da Costa, P.M.; Reynolds, J.V.; Meyer, H.-J.; Morgagni, P.; Gockel, I.; Lara Santos, L.; et al. Incidence and Grading of Complications After Gastrectomy for Cancer Using the GASTRODATA Registry: A European Retrospective Observational Study. Ann. Surg. 2020, 272, 807–813. [Google Scholar] [CrossRef]
- Voeten, D.M.; Busweiler, L.A.D.; van der Werf, L.R.; Wijnhoven, B.P.L.; Verhoeven, R.H.A.; van Sandick, J.W.; van Hillegersberg, R.; van Berge Henegouwen, M.I. Outcomes of esophagogastric cancer surgery during eight years of surgical auditing by the Dutch Upper Gastrointestinal Cancer Audit (DUCA). Ann. Surg. 2021, 274, 866–873. [Google Scholar] [CrossRef] [PubMed]
- Papenfuss, W.A.; Kukar, M.; Oxenberg, J.; Attwood, K.; Nurkin, S.; Malhotra, U.; Wilkinson, N.W. Morbidity and mortality associated with gastrectomy for gastric cancer. Ann. Surg. Oncol. 2014, 21, 3008–3014. [Google Scholar] [CrossRef] [PubMed]
- van den Boorn, H.G.; Engelhardt, E.G.; van Kleef, J.; Sprangers, M.A.G.; van Oijen, M.G.H.; Abu-Hanna, A.; Zwinderman, A.H.; Coupé, V.M.H.; van Laarhoven, H.W.M. Prediction models for patients with esophageal or gastric cancer: A systematic review and meta-analysis. PLoS ONE 2018, 13, e0192310. [Google Scholar] [CrossRef]
- Dhir, M.; Smith, L.M.; Ullrich, F.; Leiphrakpam, P.D.; Ly, Q.P.; Sasson, A.R.; Are, C. A preoperative nomogram to predict the risk of perioperative mortality following gastric resections for malignancy. J. Gastrointest. Surg. 2012, 16, 2026–2036. [Google Scholar] [CrossRef]
- Fischer, C.; Lingsma, H.; Hardwick, R.; Cromwell, D.A.; Steyerberg, E.; Groene, O. Risk adjustment models for short-term outcomes after surgical resection for oesophagogastric cancer. Br. J. Surg. 2016, 103, 105–116. [Google Scholar] [CrossRef]
- Kurita, N.; Miyata, H.; Gotoh, M.; Shimada, M.; Imura, S.; Kimura, W.; Tomita, N.; Baba, H.; Kitagawa, Y.; Sugihara, K.; et al. Risk Model for Distal Gastrectomy When Treating Gastric Cancer on the Basis of Data From 33,917 Japanese Patients Collected Using a Nationwide Web-based Data Entry System. Ann. Surg. 2015, 262, 295–303. [Google Scholar] [CrossRef] [PubMed]
- Tekkis, P.P.; McCulloch, P.; Poloniecki, J.D.; Prytherch, D.R.; Kessaris, N.; Steger, A.C. Risk-adjusted prediction of operative mortality in oesophagogastric surgery with O-POSSUM. Br. J. Surg. 2004, 91, 288–295. [Google Scholar] [CrossRef] [PubMed]
- Watanabe, N.; Miyata, H.; Gotoh, M.; Baba, H.; Kimura, W.; Tomita, T.; Nakagoe, T.; Shimada, M.; Kitagawa, Y.; Sugihara, K.; et al. Total gastrectomy risk model: Data from 20,011 Japanese patients in a nationwide internet-based database. Ann. Surg. 2014, 260, 1034–1039. [Google Scholar] [CrossRef] [PubMed]
- Ramspek, C.L.; Jager, K.J.; Dekker, F.W.; Zoccali, C.; van Diepen, M. External validation of prognostic models: What, why, how, when and where? Clin. Kidney J. 2021, 14, 49–58. [Google Scholar] [CrossRef] [PubMed]
- Groot, O.Q.; Bindels, B.J.J.; Ogink, P.T.; Kapoor, N.D.; Twining, P.K.; Collins, A.K.; Bongers, M.E.R.; Lans, A.; Oosterhoff, J.H.F.; Karhade, A.V.; et al. Availability and reporting quality of external validations of machine-learning prediction models with orthopedic surgical outcomes: A systematic review. Acta Orthop. 2021, 92, 385–393. [Google Scholar] [CrossRef] [PubMed]
- Pera, M.; Gibert, J.; Gimeno, M.; Garsot, E.; Eizaguirre, E.; Mirò, M.; Castro, S.; Miranda, C.; Reka, L.; Leturio, S.; et al. Machine learning risk prediction model of 90-day mortality after gastrectomy for cancer. Ann. Surg. 2022, 276, 776–783. [Google Scholar] [CrossRef] [PubMed]
- Debray, T.P.; Vergouwe, Y.; Koffijberg, H.; Nieboer, D.; Steyerberg, E.W.; Moons, K.G. A new framework to enhance the interpretation of external validation studies of clinical prediction models. J. Clin. Epidemiol. 2015, 68, 279–289. [Google Scholar] [CrossRef] [PubMed]
- Loftus, T.J.; Altieri, M.S.; Balch, J.A.; Abbott, K.L.; Choi, J.; Marwaha, J.S.; Hashimoto, D.A.; Brat, G.A.; Raftopoulos, Y.; Evans, H.L.; et al. Artificial Intelligence-enabled decision support in surgery: State-of-the-art and future directions. Ann. Surg. 2023, 278, 51–58. [Google Scholar] [CrossRef]
- Collins, G.S.; Reitsma, J.B.; Altman, D.G.; Moons, K.G. Transparent reporting of a multivariable prediction model for individual prognosis or diagnosis (TRIPOD): The TRIPOD statement. BMJ 2015, 350, g7594. [Google Scholar] [CrossRef]
- Dal Cero, M.; Rodríguez-Santiago, J.; Miró, M.; Castro, S.; Miranda, C.; Santamaria, M.; Gobbini, Y.; Garsot, E.; Pujadas, M.; Luna, A.; et al. Evaluation of data quality in the Spanish EURECCA Esophagogastric Cancer Registry. Eur. J. Surg. Oncol. 2021, 47, 3081–3087. [Google Scholar] [CrossRef]
- Baiocchi, G.L.; Giacopuzzi, S.; Marrelli, D.; Reim, D.; Piessen, G.; da Costa, P.M.; Reynolds, J.V.; Meyer, H.-J.; Morgagni, P.; Gockel, I.; et al. International consensus on a complications list after gastrectomy for cancer. Gastric Cancer 2019, 22, 172–189. [Google Scholar] [CrossRef] [PubMed]
- Hancock, J.T.; Khoshgoftaar, T.M. CatBoost for big data: An interdisciplinary review. J. Big Data 2020, 7, 94. [Google Scholar] [CrossRef] [PubMed]
- Friedman, J.; Hastie, T.; Tibshirani, R. Regularization paths for generalized linear models vi coordinate descent. J. Stat. Softw. 2010, 33, 1–22. [Google Scholar] [CrossRef] [PubMed]
- Breiman, L. Random forest. Mach. Learn. 2001, 45, 5–32. [Google Scholar] [CrossRef]
- Bühlmann, P.; Yu, B. Boosting with the L2 loss: Regression and classification. J. Am. Stat. Assoc. 2003, 98, 324–339. [Google Scholar] [CrossRef]
- Schapire, R.E. The strength of weak learnability. Mach. Learn. 1990, 5, 197–227. [Google Scholar] [CrossRef]
- Ding, Y.; Simonoff, J. An Investigation of missing data methods for classification trees applied to binary response data. J. Mach. Learn. Res. 2010, 11, 131–170. [Google Scholar]
- Biecek, P. DALEX: Explainers for complex predictive models in R. J. Mach. Learn. Res. 2018, 19, 1–5. [Google Scholar]
- Lang, M.; Binder, M.; Richter, J.; Schratz, P.; Pfisterer, F.; Coors, S.; Au, Q.; Casalicchio, G.; Kotthoff, L.; Bischi, B. mlr3: A modern object-oriented machine learning framework in R. J. Open Source Softw. 2019, 4, 1903. [Google Scholar] [CrossRef]
- Siontis, G.C.; Tzoulaki, I.; Castaldi, P.J.; Ioannidis, J.P. External validation of new risk prediction models is infrequent and reveals worse prognostic discrimination. J. Clin. Epidemiol. 2015, 68, 25–34. [Google Scholar] [CrossRef]
- Saito, T.; Rehmsmeier, M. The precision-recall plot is more informative than the ROC plot when evaluating binary classifiers on imbalanced datasets. PLoS ONE 2015, 10, e0118432. [Google Scholar] [CrossRef] [PubMed]
- Pinker, E. Reporting accuracy of rare event classifiers. NPJ Digit. Med. 2018, 1, 56. [Google Scholar] [CrossRef] [PubMed]


| Development Cohort (n = 3182) | Validation Cohort (n = 2546) | p Value | |
|---|---|---|---|
| Sex, n (%) | 0.252 | ||
| Male | 1978 (62.1) | 1544 (60.6) | |
| Female | 1204 (37.9) | 1002 (39.4) | |
| Age, years, mean (SD) | |||
| Body mass index $, kg/m2, mean (SD) | 26 (4.6) | 25 (4.5) | <0.001 |
| Missing | 90 (2.8) | 94 (3.7) | |
| ECOG performance status, n (%) | <0.001 | ||
| 0 | 1185 (37.2) | 1203 (47.2) | |
| 1 | 1661 (52.2) | 626 (24.6) | |
| 2 | 269 (8.5) | 118 (4.6) | |
| >3 | 51 (1.6) | 45 (1.8) | |
| Missing | 16 (0.5) | 554 (21.8) | |
| ASA index, n (%) | <0.001 | ||
| I | 110 (3.5) | 300 (11.8) | |
| II | 1435 (45.0) | 1288 (50.5) | |
| III | 1510 (47.5) | 878 (34.5) | |
| IV | 127 (4.0) | 55 (2.2) | |
| Missing, n (%) | 0 (0) | 25 (1.0) | |
| Weight loss $, %, n (%) | <0.001 | ||
| 0–5% | 2164 (68.0) | 1368 (53.7) | |
| 6–10 | 603 (19.0) | 646 (25.4) | |
| >10% | 390 (12.3) | 370 (14.5) | |
| Missing | 25 (0.7) | 162 (6.4) | |
| Preoperative hemoglobin level, g/dL, mean (SD) | 12.0 (1.9) | 12.0 (2.1) | <0.038 |
| Missing, n (%) | 24 (0.8) | 470 (18.5) | |
| Preoperative albumin level, mg/dL, mean (SD) | 38 (6.2) | 38 (6.4) | 0.431 |
| Missing, n (%) | 441 (13.9) | 668 (26.2) | |
| Myocardial infarction, n (%) | 0.653 | ||
| Yes | 253 (8.0) | 193 (7.6) | |
| No | 2929 (82.0) | 2348 (92.2) | |
| Missing | 0 (0) | 5 (0.2) | |
| Congestive heart failure, n (%) | 0.026 | ||
| Yes | 183 (5.8) | 112 (4.4) | |
| No | 2999 (94.2) | 2429 (94.4) | |
| Missing | 0 (0) | 5 (0.2) | |
| Chronic pulmonary disease, n (%) | <0.001 | ||
| Yes | 450 (14.1) | 246 (9.7) | |
| No | 2732 (85.9) | 2295 (90.1) | |
| Missing | 0 (0) | 5 (0.2) | |
| Connective tissue disease, n (%) | 0.647 | ||
| Yes | 47 (1.5) | 33 (1.3) | |
| No | 3135 (98.5) | 2508 (98.5) | |
| Missing | 0 (0) | 5 (0.2) | |
| Peripheral vascular disease, n (%) | 0.098 | ||
| Yes | 226 (7.1) | 211 (8.3) | |
| No | 2956 (92.9) | 2330 (91.5) | |
| Missing | 0 (0) | 5 (0.2) | |
| Cerebrovascular disease, n (%) | 0.021 | ||
| Yes | 200 (6.3) | 123 (4.8) | |
| No | 2982 (93.7) | 2420 (95.1) | |
| Missing | 0 (0) | 3 (0.1) | |
| Dementia, n (%) | 0.944 | ||
| Yes | 33 (1.0) | 25 (1.0) | |
| No | 3149 (99.0) | 2518 (98.1) | |
| Missing | 0 (0) | 3 (0.1) | |
| Peptic ulcer disease, n (%) | 0.214 | ||
| Yes | 158 (4.9) | 146 (5.7) | |
| No | 3024 (95.1) | 2397 (94.2) | |
| Missing | 0 (0) | 3 (0.1) | |
| Diabetes mellitus (uncomplicated), n (%) | 1.000 | ||
| Yes | 519 (16.3) | 414 (16.3) | |
| No | 2663 (83.7) | 2127 (83.5) | |
| Missing | 0 (0) | 5 (0.2) | |
| Diabetes mellitus (end-organ damage), n (%) | <0.001 | ||
| Yes | 137 (4.3) | 39 (1.5) | |
| No | 3045 (95.7) | 2499 (86.4) | |
| Missing | 0 (0) | 0 (0.3) | |
| Leukemia, n (%) | 0.002 | ||
| Yes | 16 (5.0) | 0 (0) | |
| No | 3166 (99.5) | 2193 (86.1) | |
| Missing | 0 (0) | 353 (13.9) | |
| Malignant lymphoma, n (%) | <0.001 | ||
| Yes | 34 (1.1) | 0 (0) | |
| No | 3148 (98.9) | 2193 (86.1) | |
| Missing | 0 (0) | 353 (13.9) | |
| Liver disease/moderate to severe, n (%) | <0.001 | ||
| Yes | 82 (2.6) | 0 (0) | |
| No | 3100 (97.4) | 2526 (99.2) | |
| Missing | 0 (0) | 20 (0.8) | |
| Hemiplegia, n (%) | 1.000 | ||
| Yes | 8 (0.3) | 6 (0.2) | |
| No | 3174 (99.7) | 2537 (99.6) | |
| Missing | 0 (0) | 3 (0.2) | |
| Metastatic tumor present, n (%) | 1.000 | ||
| Yes | 36 (1.1) | 28 (1.1) | |
| No | 3146 (98.9) | 2513 (98.7) | |
| Missing | 0 (0) | 5 (0.2) | |
| Moderate to severe renal disease, n (%) | 0.654 | ||
| Yes | 162 (5.1) | 137 (5.4) | |
| No | 3020 (94.9) | 2404 (94.4) | |
| Missing | 0 (0) | 5 (0.2) | |
| AIDS, n (%) | 0.453 | ||
| Yes | 6 (0.2) | 2 (0.1) | |
| No | 3176 (99.8) | 2539 (99.7) | |
| Missing | 0 (0) | 5 (0.2) | |
| Timing of surgery, n (%) | <0.001 | ||
| Elective | 3002 (94.3) | 2476 (97.2) | |
| Emergency | 180 (5.7) | 68 (2.7) | |
| Missing | 0 (0) | 2 (0.1) | |
| Tumor location, n (%) | <0.001 | ||
| Antrum-pylorus | 1276 (48.1) | 1212 (47.6) | |
| Corpus-fundus | 76 (40.1) | 848 (33.3) | |
| Linitis plastica | 33 (1.0) | 86 (3.4) | |
| Stump | 81 (2.6) | 0 (0) | |
| Gastro-esophageal junction | 259 (8.1) | 348 (13.7) | |
| Missing | 3 (0.1) | 52 (2.0) | |
| Tumor cT stage &, n (%) | <0.001 | ||
| T1 | 528 (16.6) | 235 (9.2) | |
| T2 | 792 (24.9) | 447 (17.6) | |
| T3 | 1082 (34.0) | 1095 (43.0) | |
| T4 | 569 (17.9) | 544 (21.4) | |
| Tx | 173 (5.4) | 206 (8.1) | |
| Missing | 38 (1.2) | 19 (0.7) | |
| Tumor cN stage &, n (%) | <0.001 | ||
| Negative | 1771 (55.7) | 858 (33.7) | |
| Positive | 1377 (43.3) | 1299 (51.0) | |
| Missing | 34 (1.0) | 389 (15.3) | |
| Neoadjuvant therapy, n (%) | <0.001 | ||
| None | 2232 (70.1) | 1383 (54.3) | |
| Chemoradiotherapy | 54 (1.8) | 46 (1.8) | |
| Chemotherapy | 888 (27.9) | 1117 (43.9) | |
| Missing | 8 (0.2) | 0 (0) | |
| Surgical approach, n (%) | <0.001 | ||
| Open | 1706 (53.6) | 1884 (74.0) | |
| Laparoscopic | 1476 (46.4) | 662 (26.0) | |
| Type of gastrectomy, n (%) | <0.001 | ||
| Partial | 1818 (57.1) | 1211 (47.6) | |
| Total | 1364 (42.9) | 1331 (52.3) | |
| Missing | 0 (0) | 4 (0.1) | |
| Volume activity, mean/year/hospital, mean (SD) | 24 (10) | 60 (49) | <0.001 |
| 90-day mortality, n (%) | 179 (5.6) | 95 (3.7) | <0.001 |
| Metrics | Development Cohort | External Validation Cohort |
|---|---|---|
| AUC | 0.829 (95% CI 0.743–0.916) | 0.716 (95% CI 0.663–0.769) |
| Sensitivity | 0.125 (95% CI 0.016–0.383) | 0.074 (95% CI 0.030–0.146) |
| Specificity | 0.979 (95% CI 0.953–0.993) | 0.984 (95% CI 0.979–0.989) |
| PPV | 0.286 (95% CI 0.037–0.710) | 0.156 (95% CI 0.065–0.295) |
| NPV | 0.945 (95% CI 0.909–0.969) | 0.965 (95% CI 0.957–0.972) |
| AUPRC | 0.253 | 0.093 |
Disclaimer/Publisher’s Note: The statements, opinions and data contained in all publications are solely those of the individual author(s) and contributor(s) and not of MDPI and/or the editor(s). MDPI and/or the editor(s) disclaim responsibility for any injury to people or property resulting from any ideas, methods, instructions or products referred to in the content. |
© 2024 by the authors. Licensee MDPI, Basel, Switzerland. This article is an open access article distributed under the terms and conditions of the Creative Commons Attribution (CC BY) license (https://creativecommons.org/licenses/by/4.0/).
Share and Cite
Dal Cero, M.; Gibert, J.; Grande, L.; Gimeno, M.; Osorio, J.; Bencivenga, M.; Fumagalli Romario, U.; Rosati, R.; Morgagni, P.; Gisbertz, S.; et al. International External Validation of Risk Prediction Model of 90-Day Mortality after Gastrectomy for Cancer Using Machine Learning. Cancers 2024, 16, 2463. https://doi.org/10.3390/cancers16132463
Dal Cero M, Gibert J, Grande L, Gimeno M, Osorio J, Bencivenga M, Fumagalli Romario U, Rosati R, Morgagni P, Gisbertz S, et al. International External Validation of Risk Prediction Model of 90-Day Mortality after Gastrectomy for Cancer Using Machine Learning. Cancers. 2024; 16(13):2463. https://doi.org/10.3390/cancers16132463
Chicago/Turabian StyleDal Cero, Mariagiulia, Joan Gibert, Luis Grande, Marta Gimeno, Javier Osorio, Maria Bencivenga, Uberto Fumagalli Romario, Riccardo Rosati, Paolo Morgagni, Suzanne Gisbertz, and et al. 2024. "International External Validation of Risk Prediction Model of 90-Day Mortality after Gastrectomy for Cancer Using Machine Learning" Cancers 16, no. 13: 2463. https://doi.org/10.3390/cancers16132463
APA StyleDal Cero, M., Gibert, J., Grande, L., Gimeno, M., Osorio, J., Bencivenga, M., Fumagalli Romario, U., Rosati, R., Morgagni, P., Gisbertz, S., Polkowski, W. P., Lara Santos, L., Kołodziejczyk, P., Kielan, W., Reddavid, R., van Sandick, J. W., Baiocchi, G. L., Gockel, I., Davies, A., ... on behalf of the Spanish EURECCA Esophagogastric Cancer Group and the European GASTRODATA Study Group. (2024). International External Validation of Risk Prediction Model of 90-Day Mortality after Gastrectomy for Cancer Using Machine Learning. Cancers, 16(13), 2463. https://doi.org/10.3390/cancers16132463

