Liquid Biopsy in Whole Blood for Identification of Gene Expression Patterns (mRNA and miRNA) Associated with Recurrence of Glioblastoma WHO CNS Grade 4
Abstract
Simple Summary
Abstract
1. Introduction
2. Materials and Methods
2.1. Patients, Treatment, Ethical Approvals, Guidelines
2.2. Sample Collection: Whole Blood and Tissue
2.3. RNA Extraction and Quality Control
2.4. Whole-Genome Screening (mRNAs and miRNAs)
2.4.1. Library Preparation
2.4.2. Sequencing Platform and Data Preprocessing
2.4.3. Filter Criteria for Identification of Potential Candidate Genes
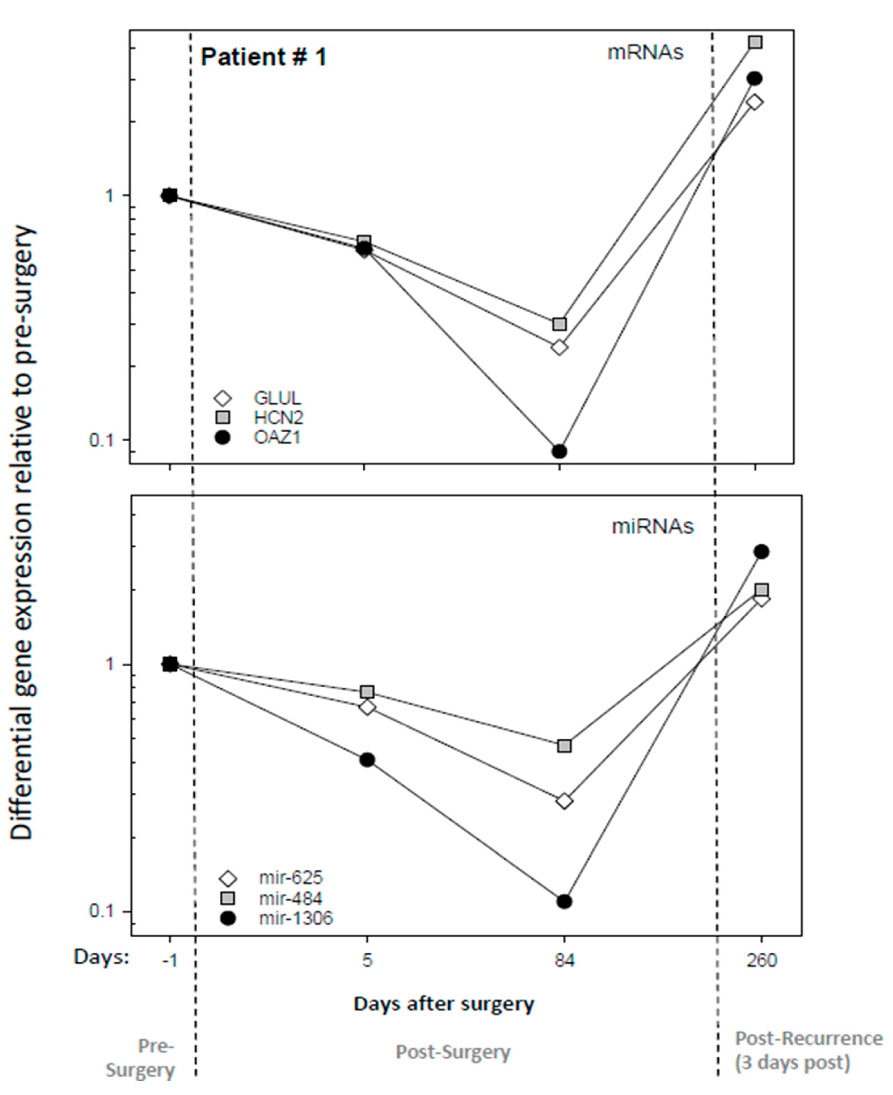
- mRNAs/miRNAs had to be expressed (≥10 normalized counts using DESeq2’s median of ratios) in both tumor and blood samples prior to surgery (pre-surgery). In case the tumor material was of insufficient quality and had to be excluded from further analysis, the first filter implied mRNAs/miRNAs expressed (≥10 normalized counts) in pre-surgery blood only.
- When comparing pre-surgery with post-surgery blood samples, a decrease in the copy numbers of potential candidate mRNAs and miRNAs was expected. A second filter searching for at least 2-fold downregulated mRNAs/miRNAs in >50% of samples after surgery compared to pre-surgery associated with reduced or absent tumor cells (post-surgery) was introduced.
- In case of tumor recurrence, a third filter enabled the search for upregulated mRNAs/miRNAs, resulting in gene expression (GE) levels comparable to pre-surgical samples or even higher expression levels (post-recurrence). This assumed an increase in these potential tumor markers in the peripheral blood.
2.5. Bioinformatics
2.6. Statistical Analysis
3. Results
3.1. RNA Quantity and Quality
Library Quantity and Quality
3.2. Gene Expression Analysis—Detection of Potential Candidates
4. Discussion
5. Conclusions
Supplementary Materials
Author Contributions
Funding
Institutional Review Board Statement
Informed Consent Statement
Data Availability Statement
Acknowledgments
Conflicts of Interest
References
- Grossman, S.A.; Ye, X.; Piantadosi, S.; Desideri, S.; Nabors, L.B.; Rosenfeld, M.; Fisher, J. Survival of Patients with Newly Diagnosed Glioblastoma Treated with Radiation and Temozolomide in Research Studies in the United States. Clin. Cancer Res. 2010, 16, 2443. [Google Scholar] [CrossRef] [PubMed]
- Fisher, J.L.; Schwartzbaum, J.A.; Wrensch, M.; Wiemels, J.L. Epidemiology of brain tumors. Neurol. Clin. 2007, 25, 867–890, vii. [Google Scholar] [CrossRef] [PubMed]
- Tamimi, A.F.; Juweid, M. Epidemiology and Outcome of Glioblastoma. In Glioblastoma; De Vleeschouwer, S., Ed.; Codon Publications Copyright: Brisbane, AU, USA, 2017. [Google Scholar]
- Stupp, R.; Mason, W.; Bent, M.; Weller, M.; Fisher, B.; Taphoorn, M.; Belanger, K.; Brandes, A.; Marosi, C.; Bogdahn, U.; et al. Radiotherapy plus Concomitant and Adjuvant Temozolomide for Glioblastoma. N. Engl. J. Med. 2005, 352, 987–996. [Google Scholar] [CrossRef]
- Dymova, M.A.; Kuligina, E.V.; Richter, V.A. Molecular Mechanisms of Drug Resistance in Glioblastoma. Int. J. Mol. Sci. 2021, 22, 6385. [Google Scholar] [CrossRef] [PubMed]
- Pöpperl, G.; Götz, C.; Rachinger, W.; Gildehaus, F.-J.; Tonn, J.-C.; Tatsch, K. Value of O-(2-[18F]fluoroethyl)-l-tyrosine PET for the diagnosis of recurrent glioma. Eur. J. Nucl. Med. Mol. Imaging 2004, 31, 1464–1470. [Google Scholar] [CrossRef] [PubMed]
- Martucci, M.; Russo, R.; Giordano, C.; Schiarelli, C.; D’Apolito, G.; Tuzza, L.; Lisi, F.; Ferrara, G.; Schimperna, F.; Vassalli, S.; et al. Advanced Magnetic Resonance Imaging in the Evaluation of Treated Glioblastoma: A Pictorial Essay. Cancers 2023, 15, 3790. [Google Scholar] [CrossRef] [PubMed]
- Chinot, O.L.; Macdonald, D.R.; Abrey, L.E.; Zahlmann, G.; Kerloëguen, Y.; Cloughesy, T.F. Response assessment criteria for glioblastoma: Practical adaptation and implementation in clinical trials of antiangiogenic therapy. Curr. Neurol. Neurosci. Rep. 2013, 13, 347. [Google Scholar] [CrossRef]
- Verma, N.; Cowperthwaite, M.C.; Burnett, M.G.; Markey, M.K. Differentiating tumor recurrence from treatment necrosis: A review of neuro-oncologic imaging strategies. Neuro Oncol. 2013, 15, 515–534. [Google Scholar] [CrossRef]
- Majewski, M.; Nestler, T.; Kägler, S.; Richardsen, I.; Ruf, C.G.; Matthies, C.; Willms, A.; Schmelz, H.-U.; Wagner, W.; Schwab, R.; et al. Liquid Biopsy Using Whole Blood from Testis Tumor and Colon Cancer Patients—A New and Simple Way? Health Phys. 2018, 115, 114–120. [Google Scholar] [CrossRef]
- Touat, M.; Duran-Peña, A.; Alentorn, A.; Lacroix, L.; Massard, C.; Idbaih, A. Emerging circulating biomarkers in glioblastoma: Promises and challenges. Expert Rev. Mol. Diagn. 2015, 15, 1311–1323. [Google Scholar] [CrossRef]
- Sindeeva, O.A.; Verkhovskii, R.A.; Sarimollaoglu, M.; Afanaseva, G.A.; Fedonnikov, A.S.; Osintsev, E.Y.; Kurochkina, E.N.; Gorin, D.A.; Deyev, S.M.; Zharov, V.P.; et al. New Frontiers in Diagnosis and Therapy of Circulating Tumor Markers in Cerebrospinal Fluid In Vitro and In Vivo. Cells 2019, 8, 1195. [Google Scholar] [CrossRef] [PubMed]
- Alvarez, M.L.; Khosroheidari, M.; Kanchi Ravi, R.; DiStefano, J.K. Comparison of protein, microRNA, and mRNA yields using different methods of urinary exosome isolation for the discovery of kidney disease biomarkers. Kidney Int. 2012, 82, 1024–1032. [Google Scholar] [CrossRef] [PubMed]
- Melo, S.A.; Luecke, L.B.; Kahlert, C.; Fernandez, A.F.; Gammon, S.T.; Kaye, J.; LeBleu, V.S.; Mittendorf, E.A.; Weitz, J.; Rahbari, N.; et al. Glypican-1 identifies cancer exosomes and detects early pancreatic cancer. Nature 2015, 523, 177–182. [Google Scholar] [CrossRef] [PubMed]
- Skog, J.; Wurdinger, T.; van Rijn, S.; Meijer, D.H.; Gainche, L.; Sena-Esteves, M.; Curry, W.T., Jr.; Carter, B.S.; Krichevsky, A.M.; Breakefield, X.O. Glioblastoma microvesicles transport RNA and proteins that promote tumour growth and provide diagnostic biomarkers. Nat. Cell Biol. 2008, 10, 1470–1476. [Google Scholar] [CrossRef]
- Manterola, L.; Guruceaga, E.; Gallego Perez-Larraya, J.; Gonzalez-Huarriz, M.; Jauregui, P.; Tejada, S.; Diez-Valle, R.; Segura, V.; Sampron, N.; Barrena, C.; et al. A small noncoding RNA signature found in exosomes of GBM patient serum as a diagnostic tool. Neuro Oncol. 2014, 16, 520–527. [Google Scholar] [CrossRef] [PubMed]
- Niyazi, M.; Pitea, A.; Mittelbronn, M.; Steinbach, J.; Sticht, C.; Zehentmayr, F.; Piehlmaier, D.; Zitzelsberger, H.; Ganswindt, U.; Rodel, C.; et al. A 4-miRNA signature predicts the therapeutic outcome of glioblastoma. Oncotarget 2016, 7, 45764–45775. [Google Scholar] [CrossRef] [PubMed]
- Forder, A.; Hsing, C.Y.; Trejo Vazquez, J.; Garnis, C. Emerging Role of Extracellular Vesicles and Cellular Communication in Metastasis. Cells 2021, 10, 3429. [Google Scholar] [CrossRef] [PubMed]
- Momen-Heravi, F.; Balaj, L.; Alian, S.; Tigges, J.; Toxavidis, V.; Ericsson, M.; Distel, R.J.; Ivanov, A.R.; Skog, J.; Kuo, W.P. Alternative methods for characterization of extracellular vesicles. Front. Physiol. 2012, 3, 354. [Google Scholar] [CrossRef] [PubMed]
- Dai, J.; Su, Y.; Zhong, S.; Cong, L.; Liu, B.; Yang, J.; Tao, Y.; He, Z.; Chen, C.; Jiang, Y. Exosomes: Key players in cancer and potential therapeutic strategy. Signal Transduct. Target. Ther. 2020, 5, 145. [Google Scholar] [CrossRef]
- Enderle, D.; Spiel, A.; Coticchia, C.M.; Berghoff, E.; Mueller, R.; Schlumpberger, M.; Sprenger-Haussels, M.; Shaffer, J.M.; Lader, E.; Skog, J.; et al. Characterization of RNA from Exosomes and Other Extracellular Vesicles Isolated by a Novel Spin Column-Based Method. PLoS ONE 2015, 10, e0136133. [Google Scholar] [CrossRef]
- Gardiner, C.; Di Vizio, D.; Sahoo, S.; Thery, C.; Witwer, K.W.; Wauben, M.; Hill, A.F. Techniques used for the isolation and characterization of extracellular vesicles: Results of a worldwide survey. J. Extracell. Vesicles 2016, 5, 32945. [Google Scholar] [CrossRef] [PubMed]
- Port, M.; Herodin, F.; Valente, M.; Drouet, M.; Lamkowski, A.; Majewski, M.; Abend, M. First generation gene expression signature for early prediction of late occurring hematological acute radiation syndrome in baboons. Radiat. Res. 2016, 186, 39–54. [Google Scholar] [CrossRef] [PubMed]
- Port, M.; Hérodin, F.; Valente, M.; Drouet, M.; Lamkowski, A.; Majewski, M.; Abend, M. Gene expression signature for early prediction of late occurring pancytopenia in irradiated baboons. Ann. Hematol. 2017, 96, 859–870. [Google Scholar] [CrossRef]
- Malzkorn, B.; Wolter, M.; Liesenberg, F.; Grzendowski, M.; Stuhler, K.; Meyer, H.E.; Reifenberger, G. Identification and functional characterization of microRNAs involved in the malignant progression of gliomas. Brain Pathol. 2010, 20, 539–550. [Google Scholar] [CrossRef] [PubMed]
- Ujifuku, K.; Mitsutake, N.; Takakura, S.; Matsuse, M.; Saenko, V.; Suzuki, K.; Hayashi, K.; Matsuo, T.; Kamada, K.; Nagata, I.; et al. miR-195, miR-455-3p and miR-10a(*) are implicated in acquired temozolomide resistance in glioblastoma multiforme cells. Cancer Lett. 2010, 296, 241–248. [Google Scholar] [CrossRef] [PubMed]
- Aziz, M.A.; Seo, B.; Hussaini, H.M.; Hibma, M.; Rich, A.M. Comparing Two Methods for the Isolation of Exosomes. J. Nucleic Acids 2022, 2022, 8648373. [Google Scholar] [CrossRef] [PubMed]
- Kenzelmann, M.; Klaren, R.; Hergenhahn, M.; Bonrouhi, M.; Grone, H.J.; Schmid, W.; Schutz, G. High-accuracy amplification of nanogram total RNA amounts for gene profiling. Genomics 2004, 83, 550–558. [Google Scholar] [CrossRef]
- Okino, S.T.; Kong, M.; Sarras, H.; Wang, Y. Evaluation of bias associated with high-multiplex, target-specific pre-amplification. Biomol. Detect. Quantif. 2016, 6, 13–21. [Google Scholar] [CrossRef]
- Lombardi, M.Y.; Assem, M. Glioblastoma Genomics: A Very Complicated Story. In Glioblastoma; De Vleeschouwer, S., Ed.; Codon Publications Copyright: Brisbane, AU, USA, 2017. [Google Scholar]
- Wu, T.; Li, Y.; Liu, B.; Zhang, S.; Wu, L.; Zhu, X.; Chen, Q. Expression of Ferritin Light Chain (FTL) Is Elevated in Glioblastoma, and FTL Silencing Inhibits Glioblastoma Cell Proliferation via the GADD45/JNK Pathway. PLoS ONE 2016, 11, e0149361. [Google Scholar] [CrossRef]
- Hu, Z.W.; Chen, L.; Ma, R.Q.; Wei, F.Q.; Wen, Y.H.; Zeng, X.L.; Sun, W.; Wen, W.P. Comprehensive analysis of ferritin subunits expression and positive correlations with tumor-associated macrophages and T regulatory cells infiltration in most solid tumors. Aging 2021, 13, 11491–11506. [Google Scholar] [CrossRef]
- Ravi, V.; Madhankumar, A.B.; Abraham, T.; Slagle-Webb, B.; Connor, J.R. Liposomal delivery of ferritin heavy chain 1 (FTH1) siRNA in patient xenograft derived glioblastoma initiating cells suggests different sensitivities to radiation and distinct survival mechanisms. PLoS ONE 2019, 14, e0221952. [Google Scholar] [CrossRef]
- Bell, E.H.; Guo, D. Biomarkers for malignant gliomas. Malig. Gliomas Radiat. Med. Rounds 2012, 3, 339–357. [Google Scholar]
- Eibl, R.H.; Schneemann, M. Liquid biopsy and glioblastoma. Explor. Target. Anti-Tumor Ther. 2023, 4, 28–41. [Google Scholar] [CrossRef] [PubMed]
- De Mattos-Arruda, L.; Mayor, R.; Ng, C.K.Y.; Weigelt, B.; Martínez-Ricarte, F.; Torrejon, D.; Oliveira, M.; Arias, A.; Raventos, C.; Tang, J.; et al. Cerebrospinal fluid-derived circulating tumour DNA better represents the genomic alterations of brain tumours than plasma. Nat. Commun. 2015, 6, 8839. [Google Scholar] [CrossRef] [PubMed]
- Yuan, J.; Xiao, G.; Peng, G.; Liu, D.; Wang, Z.; Liao, Y.; Liu, Q.; Wu, M.; Yuan, X. MiRNA-125a-5p inhibits glioblastoma cell proliferation and promotes cell differentiation by targeting TAZ. Biochem. Biophys. Res. Commun. 2015, 457, 171–176. [Google Scholar] [CrossRef] [PubMed]
- Shao, N.; Wang, L.; Xue, L.; Wang, R.; Lan, Q. Plasma miR-454-3p as a potential prognostic indicator in human glioma. Neurol. Sci. 2015, 36, 309–313. [Google Scholar] [CrossRef] [PubMed]
- Baraniskin, A.; Kuhnhenn, J.; Schlegel, U.; Maghnouj, A.; Zöllner, H.; Schmiegel, W.; Hahn, S.; Schroers, R. Identification of microRNAs in the cerebrospinal fluid as biomarker for the diagnosis of glioma. Neuro Oncol. 2012, 14, 29–33. [Google Scholar] [CrossRef] [PubMed]
- Müller Bark, J.; Kulasinghe, A.; Chua, B.; Day, B.W.; Punyadeera, C. Circulating biomarkers in patients with glioblastoma. Br. J. Cancer 2020, 122, 295–305. [Google Scholar] [CrossRef] [PubMed]
- Ivo D’Urso, P.; Fernando D’Urso, O.; Damiano Gianfreda, C.; Mezzolla, V.; Storelli, C.; Marsigliante, S. miR-15b and miR-21 as Circulating Biomarkers for Diagnosis of Glioma. Curr. Genom. 2015, 16, 304–311. [Google Scholar] [CrossRef]
- Dong, Z.; Cui, H. The Emerging Roles of RNA Modifications in Glioblastoma. Cancers 2020, 12, 736. [Google Scholar] [CrossRef]
- Hide, T.; Shibahara, I.; Inukai, M.; Shigeeda, R.; Kumabe, T. Ribosomes and Ribosomal Proteins Promote Plasticity and Stemness Induction in Glioma Cells via Reprogramming. Cells 2022, 11, 2142. [Google Scholar] [CrossRef] [PubMed]
- Ravi, V.M.; Neidert, N.; Will, P.; Joseph, K.; Maier, J.P.; Kückelhaus, J.; Vollmer, L.; Goeldner, J.M.; Behringer, S.P.; Scherer, F.; et al. T-cell dysfunction in the glioblastoma microenvironment is mediated by myeloid cells releasing interleukin-10. Nat. Commun. 2022, 13, 925. [Google Scholar] [CrossRef] [PubMed]




| Patient ID | Sex | Age (Years) | Primary Tumor Tissue | Total No. of Blood Samples | Days of Blood Sampling | ||
|---|---|---|---|---|---|---|---|
| Pre-Surgery | Post-Surgery | Pre-/Post-Recurrence | |||||
| 1 | F | 65 | yes | 4 | 1 | 5, 84 | 3 |
| 2 | M | 37 | yes | 4 | 1 | 6, 28 | 1 |
| 3 | M | 60 | yes | 6 | 1 | 6, 19, 29, 97 | 0 |
| 4 | M | 79 | yes | 3 | 1 | 7 | 0 |
| 5 | F | 45 | no | 5 | 5 | 28, 97, 184 | −13 |
| 6 | M | 60 | no | 5 | 1 | 9, 27 | 0, 14 |
| 7 | M | 59 | no | 6 | 1 | 7, 17, 23 | 4, 17 |
| Patient ID | NGS | ![]() | Pre Surgery Phase | ![]() | Post Surgery Phase | ![]() | Recurrence Phase | ||||
| # mRNA | # miRNA | # mRNA | # miRNA | # mRNA | # miRNA | # mRNA | # miRNA | ||||
| 1 | 01.4 × 105 | 622 | 567 | 186 | 188 | 58 | 93 | 19 | |||
| 2 | 01.4 × 105 | 622 | 500 | 187 | 81 | 41 | 27 | 1 | |||
| 3 | 01.4 × 105 | 622 | 489 | 185 | 175 | 17 | 12 | 4 | |||
| 4 | 01.4 × 105 | 622 | 492 | 196 | 135 | 43 | 6 | 10 | |||
| 5 | 01.4 × 105 | 622 | 1194 | 243 | 504 | 68 | 72 | 15 | |||
| 6 | 01.4 × 105 | 622 | 1117 | 242 | 370 | 46 | 88 | 9 | |||
| 7 | 01.4 × 105 | 622 | 1240 | 236 | 566 | 42 | 76 | 14 | |||
| Classification | No. of Genes | Fold Enrichment | p-Value | FDR | |
|---|---|---|---|---|---|
| Observed | Expected | ||||
| PANTHER GO-Slim Cellular Component | |||||
| cytosolic ribosome | 10 | 0.95 | 10.53 | 3.74 × 10−8 | 6.13 × 10−6 |
| ribonucleoprotein complex | 21 | 4.77 | 4.4 | 1.55 × 10−8 | 7.64 × 10−6 |
| ribosome | 12 | 1.5 | 8.02 | 3.59 × 10−8 | 8.84 × 10−6 |
| ribosomal subunit | 11 | 1.36 | 8.07 | 1.26 × 10−7 | 1.55 × 10−5 |
| cytoplasm | 91 | 58.09 | 1.57 | 1.77 × 10−6 | 1.75 × 10−4 |
| cytosolic large ribosomal subunit | 6 | 0.56 | 10.74 | 1.92 × 10−5 | 1.57 × 10−3 |
| intracellular anatomical structure | 124 | 93.38 | 1.33 | 4.68 × 10−5 | 3.29 × 10−3 |
| intracellular organelle | 101 | 73.07 | 1.38 | 1.11 × 10−4 | 6.84 × 10−3 |
| large ribosomal subunit | 6 | 0.8 | 7.46 | 1.54 × 10−4 | 8.40 × 10−3 |
| cellular_component | 160 | 132.78 | 1.2 | 2.72 × 10−4 | 1.12 × 10−2 |
| small ribosomal subunit | 5 | 0.56 | 8.95 | 2.34 × 10−4 | 1.15 × 10−2 |
| Unclassified | 70 | 97.22 | 0.72 | 2.72 × 10−4 | 1.22 × 10−2 |
| organelle | 101 | 75.66 | 1.33 | 5.16 × 10−4 | 1.95 × 10−2 |
| cytosolic small ribosomal subunit | 4 | 0.39 | 10.23 | 6.05 × 10−4 | 2.13 × 10−2 |
| cellular anatomical entity | 154 | 129.98 | 1.18 | 1.29 × 10−3 | 4.23 × 10−2 |
| protein-containing complex | 49 | 31.51 | 1.56 | 1.38 × 10−3 | 4.25 × 10−2 |
| PANTHER Protein Class | |||||
| ribosomal protein | 12 | 1.99 | 6.04 | 8.01 × 10−7 | 1.57 × 10−4 |
| translational protein | 14 | 3.74 | 3.74 | 2.62 × 10−5 | 2.57 × 10−3 |
| PANTHER Pathways | |||||
| T cell activation | 7 | 0.94 | 7.46 | 4.32 × 10−5 | 6.96 × 10−3 |
| GO molecular function complete | |||||
| RNA binding | 49 | 18.75 | 2.61 | 3.57 × 10−10 | 1.81 × 10−6 |
| structural constituent of ribosome | 15 | 1.88 | 7.99 | 7.07 × 10−10 | 1.79 × 10−6 |
| binding | 216 | 185.90 | 1.16 | 1.68 × 10−8 | 2.83 × 10−5 |
| protein binding | 196 | 161.51 | 1.21 | 1.34 × 10−7 | 1.70 × 10−4 |
| Unclassified | 6 | 25.60 | 0.23 | 2.43 × 10−6 | 2.47 × 10−3 |
| molecular_function | 224 | 204.40 | 1.10 | 2.43 × 10−6 | 2.06 × 10−3 |
| organic cyclic compound binding | 101 | 68.02 | 1.48 | 3.96 × 10−6 | 2.86 × 10−3 |
| enzyme binding | 46 | 23.61 | 1.95 | 9.00 × 10−6 | 5.71 × 10−3 |
| structural molecule activity | 24 | 8.89 | 2.70 | 1.05 × 10−5 | 5.93 × 10−3 |
| nucleic acid binding | 72 | 45.12 | 1.60 | 2.51 × 10−5 | 1.27 × 10−2 |
| protein-containing complex binding | 40 | 19.97 | 2.00 | 2.60 × 10−5 | 1.20 × 10−2 |
| enzyme regulator activity | 32 | 14.75 | 2.17 | 3.34 × 10−5 | 1.41 × 10−2 |
| mRNA binding | 14 | 3.84 | 3.64 | 3.50 × 10−5 | 1.37 × 10−2 |
| immune receptor activity | 9 | 1.70 | 5.30 | 5.44 × 10−5 | 1.97 × 10−2 |
Disclaimer/Publisher’s Note: The statements, opinions and data contained in all publications are solely those of the individual author(s) and contributor(s) and not of MDPI and/or the editor(s). MDPI and/or the editor(s) disclaim responsibility for any injury to people or property resulting from any ideas, methods, instructions or products referred to in the content. |
© 2024 by the authors. Licensee MDPI, Basel, Switzerland. This article is an open access article distributed under the terms and conditions of the Creative Commons Attribution (CC BY) license (https://creativecommons.org/licenses/by/4.0/).
Share and Cite
Muhtadi, R.; Bernhardt, D.; Multhoff, G.; Hönikl, L.; Combs, S.E.; Krieg, S.M.; Gempt, J.; Meyer, B.; Barsegian, V.; Lindemann, M.; et al. Liquid Biopsy in Whole Blood for Identification of Gene Expression Patterns (mRNA and miRNA) Associated with Recurrence of Glioblastoma WHO CNS Grade 4. Cancers 2024, 16, 2345. https://doi.org/10.3390/cancers16132345
Muhtadi R, Bernhardt D, Multhoff G, Hönikl L, Combs SE, Krieg SM, Gempt J, Meyer B, Barsegian V, Lindemann M, et al. Liquid Biopsy in Whole Blood for Identification of Gene Expression Patterns (mRNA and miRNA) Associated with Recurrence of Glioblastoma WHO CNS Grade 4. Cancers. 2024; 16(13):2345. https://doi.org/10.3390/cancers16132345
Chicago/Turabian StyleMuhtadi, Razan, Denise Bernhardt, Gabriele Multhoff, Lisa Hönikl, Stephanie E. Combs, Sandro M. Krieg, Jens Gempt, Bernhard Meyer, Vahé Barsegian, Monika Lindemann, and et al. 2024. "Liquid Biopsy in Whole Blood for Identification of Gene Expression Patterns (mRNA and miRNA) Associated with Recurrence of Glioblastoma WHO CNS Grade 4" Cancers 16, no. 13: 2345. https://doi.org/10.3390/cancers16132345
APA StyleMuhtadi, R., Bernhardt, D., Multhoff, G., Hönikl, L., Combs, S. E., Krieg, S. M., Gempt, J., Meyer, B., Barsegian, V., Lindemann, M., Kasper, M., Stewart, S., Port, M., Abend, M., Diehl, C. D., & Ostheim, P. (2024). Liquid Biopsy in Whole Blood for Identification of Gene Expression Patterns (mRNA and miRNA) Associated with Recurrence of Glioblastoma WHO CNS Grade 4. Cancers, 16(13), 2345. https://doi.org/10.3390/cancers16132345




