Immune-Checkpoint Inhibitors for Malignant Pleural Mesothelioma: A French, Multicenter, Retrospective Real-World Study
Abstract
:Simple Summary
Abstract
1. Introduction
2. Methods
2.1. Patients
2.2. Patient Characteristics at Nivolumab Start (Baseline)
2.3. Clinical Outcomes
2.4. Statistics
2.5. Ethics
3. Results
3.1. Patient Characteristics
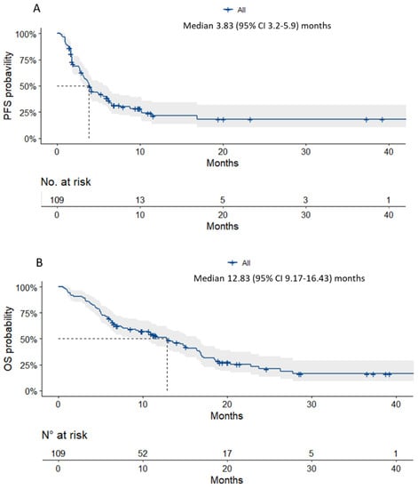
3.2. Outcomes of Second-Line and Onward Nivolumab
4. Discussion
5. Conclusions
Author Contributions
Funding
Institutional Review Board Statement
Informed Consent Statement
Data Availability Statement
Acknowledgments
Conflicts of Interest
Abbreviations
References
- Bray, F.; Ferlay, J.; Soerjomataram, I.; Siegel, R.L.; Torre, L.A.; Jemal, A. Global cancer statistics 2018: GLOBOCAN estimates of incidence and mortality worldwide for 36 cancers in 185 countries. CA Cancer J. Clin. 2018, 68, 394–424. [Google Scholar] [CrossRef] [PubMed] [Green Version]
- Vogelzang, N.J.; Rusthoven, J.J.; Symanowski, J.; Denham, C.; Kaukel, E.; Ruffie, P.; Gatzemeier, U.; Boyer, M.; Emri, S.; Manegold, C.; et al. Phase III study of pemetrexed in combination with cisplatin versus cisplatin alone in patients with malig-nant pleural mesothelioma. J. Clin. Oncol. 2003, 21, 2636–2644. [Google Scholar] [CrossRef] [PubMed]
- Santoro, A.; O'Brien, M.E.; Stahel, R.A.; Nackaerts, K.; Baas, P.; Karthaus, M.; Eberhardt, W.; Paz-Ares, L.; Sundstrom, S.; Liu, Y.; et al. Pemetrexed plus cisplatin or pemetrexed plus carboplatin for chemonaïve patients with malignant pleural mesothe-lioma: Results of the International Expanded Access Program. J. Thorac. Oncol. 2008, 3, 756–763. [Google Scholar] [CrossRef] [PubMed] [Green Version]
- Zalcman, G.; Mazieres, J.; Margery, J.; Greillier, L.; Audigier-Valette, C.; Moro-Sibilot, D.; Molinier, O.; Corre, R.; Monnet, I.; Gounant, V.; et al. Bevacizumab for newly diagnosed pleural mesothelioma in the Mesothelioma Avastin Cisplatin Pemetrexed Study (MAPS): A randomised, controlled, open-label, phase 3 trial. Lancet 2015, 387, 1405–1414. [Google Scholar] [CrossRef]
- Jassem, J.; Ramlau, R.; Santoro, A.; Schuette, W.; Chemaissani, A.; Hong, S.; Blatter, J.; Adachi, S.; Hanauske, A.; Manegold, C. Phase III Trial of Pemetrexed Plus Best Supportive Care Compared with Best Supportive Care in Previously Treated Patients with Advanced Malignant Pleural Mesothelioma. J. Clin. Oncol. 2008, 26, 1698–1704. [Google Scholar] [CrossRef]
- Ceresoli, G.L.; Zucali, P.A.; De Vincenzo, F.; Gianoncelli, L.; Simonelli, M.; Lorenzi, E.; Ripa, C.; Giordano, L.; Santoro, A. Retreatment with pemetrexed-based chemotherapy in patients with malignant pleural mesothelioma. Lung Cancer 2011, 72, 73–77. [Google Scholar] [CrossRef]
- Kindler, H.L.; Millard, F.; Herndon, J.E., 2nd; Vogelzang, N.J.; Suzuki, Y.; Green, M.R. Gemcitabine for malignant mesothelioma: A phase II trial by the Cancer and Leukemia Group B. Lung Cancer 2001, 31, 311–317. [Google Scholar] [CrossRef]
- Bueno, R.; Stawiski, E.W.; Goldstein, L.D.; Durinck, S.; De Rienzo, A.; Modrusan, Z.; Gnad, F.; Nguyen, T.T.; Jaiswal, B.S.; Chirieac, L.R.; et al. Comprehensive genomic analysis of malignant pleural mesothelioma identifies recurrent mutations, gene fusions and splicing alterations. Nat. Genet. 2016, 48, 407–416. [Google Scholar] [CrossRef]
- Blum, Y.; Meiller, C.; Quetel, L.; Elarouci, N.; Ayadi, M.; Tashtanbaeva, D.; Armenoult, L.; Montagne, F.; Tranchant, R.; Re-nier, A.; et al. Dissecting heterogeneity in malignant pleural mesothelioma through histo-molecular gradients for clinical applications. Nat. Commun. 2019, 10, 1333. [Google Scholar] [CrossRef]
- Cedrés, S.; Ponce-Aix, S.; Zugazagoitia, J.; Sansano, I.; Enguita, A.; Navarro-Mendivil, A.; Martinez-Marti, A.; Martinez, P.; Felip, E. Analysis of Expression of Programmed Cell Death 1 Ligand 1 (PD-L1) in Malignant Pleural Mesothelioma (MPM). PLoS ONE 2015, 10, e0121071. [Google Scholar] [CrossRef]
- Zhang, F.; Gong, W. Prognostic and clinicopathological utility of programmed death-ligand 1 in malignant pleural mesotheli-oma: A meta-analysis. Int. Immunopharmacol. 2020, 83, 106481. [Google Scholar] [CrossRef] [PubMed]
- Mansfield, A.S.; Roden, A.C.; Peikert, T.; Sheinin, Y.M.; Harrington, S.M.; Krco, C.J.; Dong, H.; Kwon, E.D. B7-H1 Expression in Malignant Pleural Mesothelioma is Associated with Sarcomatoid Histology and Poor Prognosis. J. Thorac. Oncol. 2014, 9, 1036–1040. [Google Scholar] [CrossRef] [PubMed] [Green Version]
- Fujimoto, N.; Okada, M.; Kijima, T.; Aoe, K.; Kato, T.; Nakagawa, K.; Takeda, Y.; Hida, T.; Kanai, K.; Hirano, J.; et al. Clinical Efficacy and Safety of Nivolumab in Japanese Patients with Malignant Pleural Mesothelioma: 3-Year Results of the MER-IT Study. JTO Clin. Res. Rep. 2021, 2, 100135. [Google Scholar] [CrossRef] [PubMed]
- A Fennell, D.; Ewings, S.; Ottensmeier, C.; Califano, R.; Hanna, G.G.; Hill, K.; Danson, S.; Steele, N.; Nye, M.; Johnson, L.; et al. Nivolumab versus placebo in patients with relapsed malignant mesothelioma (CONFIRM): A multicentre, double-blind, randomised, phase 3 trial. Lancet Oncol. 2021, 22, 1530–1540. [Google Scholar] [CrossRef]
- Scherpereel, A.; Mazieres, J.; Greillier, L.; Lantuejoul, S.; Dô, P.; Bylicki, O.; Monnet, I.; Corre, R.; Audigier-Valette, C.; Locatelli-Sanchez, M.; et al. Nivolumab or nivolumab plus ipilimumab in patients with relapsed malignant pleural mesothelioma (IFCT-1501 MAPS2): A multicentre, open-label, randomised, non-comparative, phase 2 trial. Lancet Oncol. 2019, 20, 239–253. [Google Scholar] [CrossRef]
- Quispel-Janssen, J.; van der Noort, V.; de Vries, J.F.; Zimmerman, M.; Lalezari, F.; Thunnissen, E.; Monkhorst, K.; Schouten, R.; Schunselaar, L.; Disselhorst, M.; et al. Programmed Death 1 Blockade with Nivolumab in Patients with Recurrent Malig-nant Pleural Mesothelioma. J. Thorac. Oncol. 2018, 13, 1569–1576. [Google Scholar] [CrossRef] [Green Version]
- Popat, S.; Curioni-Fontecedro, A.; Dafni, U.; Shah, R.; O'Brien, M.; Pope, A.; Fisher, P.; Spicer, J.; Roy, A.; Gilligan, D.; et al. A multicentre randomised phase III trial comparing pembrolizumab versus single-agent chemotherapy for advanced pre-treated malignant pleural mesothelioma: The European Thoracic Oncology Platform (ETOP 9-15) PROMISE-meso trial. Ann. Oncol. 2020, 31, 1734–1745. [Google Scholar] [CrossRef]
- A Yap, T.; Nakagawa, K.; Fujimoto, N.; Kuribayashi, K.; Guren, T.K.; Calabrò, L.; Shapira-Frommer, R.; Gao, B.; Kao, S.; Matos, I.; et al. Efficacy and safety of pembrolizumab in patients with advanced mesothelioma in the open-label, single-arm, phase 2 KEYNOTE-158 study. Lancet Respir. Med. 2021, 9, 613–621. [Google Scholar] [CrossRef]
- Desai, A.; Karrison, T.; Rose, B.; Pemberton, E.; Hill, B.; Straus, C.M.; Tan, Y.-H.C.; Seiwert, T.Y.; Kindler, H.L. Phase II trial of pembrolizumab (P) in patients (pts) with previously-treated mesothelioma (MM). J. Clin. Oncol. 2018, 36, 8565. [Google Scholar] [CrossRef]
- Hassan, R.; Thomas, A.; Nemunaitis, J.J.; Patel, M.R.; Bennouna, J.; Chen, F.L.; Delord, J.P.; Dowlati, A.; Kochuparambil, S.T.; Taylor, M.H.; et al. Efficacy and Safety of Avelumab Treatment in Patients with Advanced Unresectable Mesothelioma: Phase 1b Results from the JAVELIN Solid Tumor Trial. JAMA Oncol. 2019, 5, 351–357. [Google Scholar] [CrossRef]
- Lau, B.; Boyer, M.; Lee, J.H.; Kao, S. Clinical Trials Eligibility of Patients with Malignant Pleural Mesothelioma: Use of Novel Therapies and Outcomes. Clin. Lung Cancer 2020, 21, 378–383. [Google Scholar] [CrossRef] [PubMed]
- Zauderer, M.G. Practical Application of Real-World Evidence in Developing Cancer Therapies. JCO Clin. Cancer Inform. 2019, 3, 1–2. [Google Scholar] [CrossRef] [PubMed]
- Mezquita, L.; Auclin, E.; Ferrara, R.; Charrier, M.; Remon, J.; Planchard, D.; Ponce, S.; Ares, L.P.; Leroy, L.; Audigier-Valette, C.; et al. Association of the Lung Immune Prognostic Index with Immune Checkpoint Inhibitor Outcomes in Patients with Advanced Non–Small Cell Lung Cancer. JAMA Oncol. 2018, 4, 351–357. [Google Scholar] [CrossRef] [PubMed]
- Tsao, A.S.; Garland, L.; Redman, M.; Kernstine, K.; Gandara, D.; Marom, E.M. A Practical Guide of the Southwest Oncology Group to Measure Malignant Pleural Mesothelioma Tumors by RECIST and Modified RECIST Criteria. J. Thorac. Oncol. 2011, 6, 598–601. [Google Scholar] [CrossRef] [Green Version]
- R Core Team. R: A Language and Environment for Statistical Computing; R Foundation for Statistical Computing: Vienna, Austria, 2018; Available online: https://www.R-project.org/ (accessed on 1 February 2022).
- Cantini, L.; Belderbos, R.A.; Gooijer, C.J.; Dumoulin, D.W.; Cornelissen, R.; Baart, S.; Burgers, J.A.; Baas, P.; Aerts, J.G.J.V. Nivolumab in pre-treated malignant pleural mesothelioma: Real-world data from the Dutch expanded access program. Transl. Lung Cancer Res. 2020, 9, 1169–1179. [Google Scholar] [CrossRef]
- Kim, R.Y.; Li, Y.; Marmarelis, M.E.; Vachani, A. Comparative effectiveness of second-line immune checkpoint inhibitor thera-py versus chemotherapy for malignant pleural mesothelioma. Lung Cancer 2021, 159, 107–110. [Google Scholar] [CrossRef]
- Fennell, D.A.; Casbard, A.C.; Porter, C.; Rudd, R.; Lester, J.F.; Nicolson, M.; Morgan, B.; Steele, J.P.; Darlison, L.; Gardner, G.M.; et al. A randomized phase II trial of oral vinorelbine as second-line therapy for patients with malignant pleural mesothelioma. J. Clin. Oncol. 2021, 39, 8507. [Google Scholar] [CrossRef]
- Pinto, C.; Zucali, P.A.; Pagano, M.; Grosso, F.; Pasello, G.; Garassino, M.C.; Tiseo, M.; Parra, H.S.; Grossi, F.; Cappuzzo, F.; et al. Gemcitabine with or without ramucirumab as second-line treatment for malignant pleural mesothelioma (RAMES): A randomised, double-blind, placebo-controlled, phase 2 trial. Lancet Oncol. 2021, 22, 1438–1447. [Google Scholar] [CrossRef]
- Metaxas, Y.; Rivalland, G.; Mauti, L.A.; Klingbiel, D.; Kao, S.; Schmid, S.; Nowak, A.; Gautschi, O.; Bartnick, T.; Hughes, B.G.; et al. Pembrolizumab as palliative immunotherapy in malignant pleural mesothelioma. J. Thorac. Oncol. 2018, 13, 1784–1791. [Google Scholar] [CrossRef] [Green Version]
- Ahmadzada, T.; Cooper, W.A.; Holmes, M.; Mahar, A.; Westman, H.; Gill, A.J.; Nordman, I.; Yip, P.Y.; Pal, A.; Zielinski, R.; et al. Retrospective Evaluation of the Use of Pembrolizumab in Malignant Mesothelioma in a Real-World Australian Population. JTO Clin. Res. Rep. 2020, 1, 75. [Google Scholar] [CrossRef]
- Nakamura, A.; Kondo, N.; Nakamichi, T.; Kuroda, A.; Hashimoto, M.; Matsumoto, S.; Yokoi, T.; Kuribayashi, K.; Kijima, T.; Hasegawa, S. Initial evaluation of nivolumab in patients with post-operative recurrence of malignant pleural mesothelioma. Jpn. J. Clin. Oncol. 2020, 50, 920–925. [Google Scholar] [CrossRef] [PubMed]
- Hamad, H.; Shafi, S.; Lenge De Rosen, V.; Zhang, J. A real-world experience of nivolumab in advanced malignant mesothelio-ma (MM). J. Clin. Oncol. 2018, 36, 8569. [Google Scholar] [CrossRef]
- Mikami, K.; Yokoi, T.; Takahashi, R.; Shibata, E.; Niki, M.; Nakajima, Y.; Negi, Y.; Ishigaki, H.; Tada, A.; Higashiyama, T.; et al. Efficacy and safety of nivolumab for malignant mesothelioma in the real world. J. Clin. Oncol. 2020, 38, 9052. [Google Scholar] [CrossRef]
- Brockwell, N.K.; Alamgeer, M.; Kumar, B.; Rivalland, G.; John, T.; Parker, B.S. Preliminary study highlights the potential of immune checkpoint inhibitors in sarcomatoid mesothelioma. Transl. Lung Cancer Res. 2020, 9, 639–645. [Google Scholar] [CrossRef] [PubMed]
- Baas, P.; Scherpereel, A.; Nowak, A.K.; Fujimoto, N.; Peters, S.; Tsao, A.S.; Mansfield, A.S.; Popat, S.; Jahan, T.; Antonia, S.; et al. First-line nivolumab plus ipilimumab in unresectable malignant pleural mesothelioma (CheckMate 743): A multicentre, randomised, open-label, phase 3 trial. Lancet 2021, 397, 375–386. [Google Scholar] [CrossRef]
- Ferrara, R.; Mezquita, L.; Auclin, E.; Chaput, N.; Besse, B. Immunosenescence and immunecheckpoint inhibitors in non-small cell lung cancer patients: Does age really matter? Cancer Treat. Rev. 2017, 60, 60–68. [Google Scholar] [CrossRef] [Green Version]
- Ferrara, R.; Naigeon, M.; Auclin, E.; Duchemann, B.; Cassard, L.; Jouniaux, J.M.; Boselli, L.; Grivel, J.; Desnoyer, A.; Mezquita, L.; et al. Circulating T-cell Immunosenescence in Patients with Advanced Non-Small Cell Lung Cancer Treated with Single-agent PD-1/PD-L1 Inhibitors or Platinum-based Chemotherapy. Clin. Cancer Res. 2021, 27, 492–503. [Google Scholar] [CrossRef]
- Pawelec, G. Hallmarks of human “immunosenescence”: Adaptation or dysregulation? Immun. Ageing 2012, 9, 15. [Google Scholar] [CrossRef] [Green Version]
- de Gooijer, C.J.; Borm, F.J.; Scherpereel, A.; Baas, P. Immunotherapy in Malignant Pleural Mesothelioma. Front. Oncol. 2020, 10, 187. [Google Scholar] [CrossRef] [Green Version]
- Ikeda, S.; Yoshioka, H.; Ikeo, S.; Morita, M.; Sone, N.; Niwa, T.; Nishiyama, A.; Yokoyama, T.; Sekine, A.; Ogura, T.; et al. Serum albumin level as a potential marker for deciding chemotherapy or best supportive care in elderly, advanced non-small cell lung cancer patients with poor performance status. BMC Cancer 2017, 17, 797. [Google Scholar] [CrossRef]
- Awada, G.; Jansen, Y.; Schwarze, J.K.; Tijtgat, J.; Hellinckx, L.; Gondry, O.; Vermeulen, S.; Warren, S.; Schats, K.; van Dam, P.J.; et al. A Comprehensive Analysis of Baseline Clinical Characteristics and Biomarkers Associated with Outcome in Ad-vanced Melanoma Patients Treated with Pembrolizumab. Cancers 2021, 13, E168. [Google Scholar] [CrossRef] [PubMed]
- Peters, S.; Scherpereel, A.; Cornelissen, R.; Oulkhouir, Y.; Greillier, L.; Kaplan, M.A.; Talbot, T.; Monnet, I.; Hiret, S.; Baas, P.; et al. First-line nivolumab (NIVO) plus ipilimumab (IPI) vs. chemotherapy (chemo) in patients (pts) with unresectable malignant pleural mesothelioma (MPM): 3-Year update from CheckMate 743. Ann. Oncol. 2021, 32, S1341–S1342. [Google Scholar] [CrossRef]

| Characteristic | Values (n = 109) * |
|---|---|
| Age, years | 69 (64–74) |
| Males | 74 (67.9) |
| ECOG PS at nivolumab start | |
| 0 or 1 | 91 (83.5) |
| ≥2 | 14 (12.8) |
| Unknown | 4 (3.7%) |
| Histology | |
| Epithelioid | 90 (82.6) |
| Sarcomatoid | 11 (10.1) |
| Biphasic | 8 (7.3) |
| BAP1 status | |
| Wild-type | 82 (75.2) |
| Lost | 27 (24.8) |
| Albumin | |
| >35 g/L | 47 (43.1) |
| 25–35 g/L | 25 (22.9) |
| <25 g/L | 3 (2.8) |
| Unknown | 34 (31.2) |
| Derived neutrophil/lymphocyte ratio | |
| <3 | 33 (30.3) |
| >3 | 57 (52.3) |
| Unknown | 19 (17.4) |
| LIPI | |
| Good | 16 (14.7) |
| Intermediate | 27 (24.8) |
| Poor | 15 (13.8) |
| Unknown | 51 (46.8) |
| Type of prior systemic treatment, % | |
| 1st line: (n = 109): platinum-based ChT + PMX/PMX + Beva | 84.2/15.8 |
| 2nd line: (n = 53): platinum-based ChT + PMX/PMX/Other | 43.4/30.2/26.4 |
| Best response to last-line ChT | |
| Progressive disease | 28 (25.7) |
| Stabilized disease | 50 (45.9) |
| Partial response | 30 (27.5) |
| Unknown | 1 (0.9) |
| Univariable Analysis | Multivariable Analysis | |||
|---|---|---|---|---|
| Variable | HR (95% CI) | p | HR (95% CI) | p |
| Sex | ||||
| Men | Reference | |||
| Women | 0.95 (0.57–1.6) | 0.834 | ||
| MPM histology | ||||
| Epithelioid | Reference | Reference | ||
| Sarcomatoid | 1.4 (0.66–2.9) | 0.385 | 0.83 (0.26–2.6) | 0.749 |
| Biphasic | 3.3 (1.52–7.0) | 0.002 | 3.57 (1.08–11.8) | 0.037 |
| LIPI | ||||
| Good | Reference | Reference | ||
| Intermediate | 0.46 (0.22–0.99) | 0.046 | 0.67 (0.26–1.7) | 0.397 |
| Poor | 0.73(0.33–1.58) | 0.42 | 1.11 (0.44–2.8) | 0.821 |
| Albumin | ||||
| >35 g/L | Reference | Reference | ||
| 25–35 g/L | 1.1 (0.6–2.1) | 0.716 | 1.12 (0.45–2.8) | 0.808 |
| <25 g/L | 6.8 (1.9–23.7) | 0.003 | 10.28 (1.5–70.7) | 0.018 |
| dNLR | ||||
| <3 | Reference | |||
| >3 | 1.1 (0.68–1.8) | 0.671 | ||
| BAP1 status | ||||
| Wild type | Reference | |||
| Lost | 0.68 (0.38–1.2) | 0.194 | ||
| ICI-attributed adverse events | ||||
| No | Reference | |||
| Yes | 0.81 (0.5–1.3) | 0.379 | ||
| ICI treatment line | ||||
| 2 | Reference | |||
| ≥3 | 0.97 (0.61–1.5) | 0.884 | ||
| Best response to last line | ||||
| Partial response | Reference | Reference | ||
| Stabilization | 1.2 (0.68–2.1) | 0.532 | 0.99 (0.42–2.3) | 0.986 |
| Progression | 2.1 (1.11–3.9) | 0.022 | 0.84 (0.26–2.7) | 0.772 |
| Age, years | ||||
| <70 | Reference | Reference | ||
| ≥70 | 2.5 (1.5–4.0) | <0.001 | 1.89 (0.85–4.2) | 0.118 |
| 1st Author [Reference] | Country | Line | Agent | N | DCR, % | ORR, % | mPFS (Months) | mOS (Months) |
|---|---|---|---|---|---|---|---|---|
| Metaxas [30] | Switzerland/ Australia | 1st & 2L+ | Pembro | 93 | 48 | 18 | 3.1 | 7.2 |
| Ahmadzada [31] | Australia | 1st: 4 2L+: 94 | Pembro | 98 | 56 | 18 | 4.8 | 9.5 |
| Cantini [26] | The Netherlands | 2nd/3rd | Nivo | 107 | 37 | 10 | 2.4 | 6.7 |
| Nakamura [32] | Japan | Recurrence post-op | Nivo | 35 | 77.1 | 20 | 4.4 | 13.1 |
| Hamad (abstract) [33] | USA | 1st 2nd | Nivo | 25 | 60 | 24 | 5 | NR |
| Mikami (abstract) [34] | Japan | 2L+ | Nivo | 66 | 66 | 24 | 4.1 | 13.3 |
| Kim [27] | USA | 2nd | Nivo with/without IPI or Pembro | 115 | NR | NR | NR | 8.7 |
Publisher’s Note: MDPI stays neutral with regard to jurisdictional claims in published maps and institutional affiliations. |
© 2022 by the authors. Licensee MDPI, Basel, Switzerland. This article is an open access article distributed under the terms and conditions of the Creative Commons Attribution (CC BY) license (https://creativecommons.org/licenses/by/4.0/).
Share and Cite
Assié, J.-B.; Crépin, F.; Grolleau, E.; Canellas, A.; Geier, M.; Grébert-Manuardi, A.; Akkache, N.; Renault, A.; Hauss, P.-A.; Sabatini, M.; et al. Immune-Checkpoint Inhibitors for Malignant Pleural Mesothelioma: A French, Multicenter, Retrospective Real-World Study. Cancers 2022, 14, 1498. https://doi.org/10.3390/cancers14061498
Assié J-B, Crépin F, Grolleau E, Canellas A, Geier M, Grébert-Manuardi A, Akkache N, Renault A, Hauss P-A, Sabatini M, et al. Immune-Checkpoint Inhibitors for Malignant Pleural Mesothelioma: A French, Multicenter, Retrospective Real-World Study. Cancers. 2022; 14(6):1498. https://doi.org/10.3390/cancers14061498
Chicago/Turabian StyleAssié, Jean-Baptiste, Florian Crépin, Emmanuel Grolleau, Anthony Canellas, Margaux Geier, Aude Grébert-Manuardi, Nabila Akkache, Aldo Renault, Pierre-Alexandre Hauss, Marielle Sabatini, and et al. 2022. "Immune-Checkpoint Inhibitors for Malignant Pleural Mesothelioma: A French, Multicenter, Retrospective Real-World Study" Cancers 14, no. 6: 1498. https://doi.org/10.3390/cancers14061498
APA StyleAssié, J.-B., Crépin, F., Grolleau, E., Canellas, A., Geier, M., Grébert-Manuardi, A., Akkache, N., Renault, A., Hauss, P.-A., Sabatini, M., Bonnefoy, V., Cortot, A., Wislez, M., Gauvain, C., Chouaïd, C., Scherpereel, A., & Monnet, I. (2022). Immune-Checkpoint Inhibitors for Malignant Pleural Mesothelioma: A French, Multicenter, Retrospective Real-World Study. Cancers, 14(6), 1498. https://doi.org/10.3390/cancers14061498

