Combined Assessment of Immune Checkpoint Regulator VISTA on Tumor-Associated Immune Cells and Platelet-to-Lymphocyte Ratio Identifies Advanced Germ Cell Tumors with Higher Risk of Unfavorable Outcomes
Abstract
Simple Summary
Abstract
1. Introduction
2. Materials and Methods
2.1. Study Group
2.2. Histological Examination
2.3. Statistical Analysis
3. Results
3.1. Expression of PD-L1 and VISTA in Testicular Germ Cell Tumors
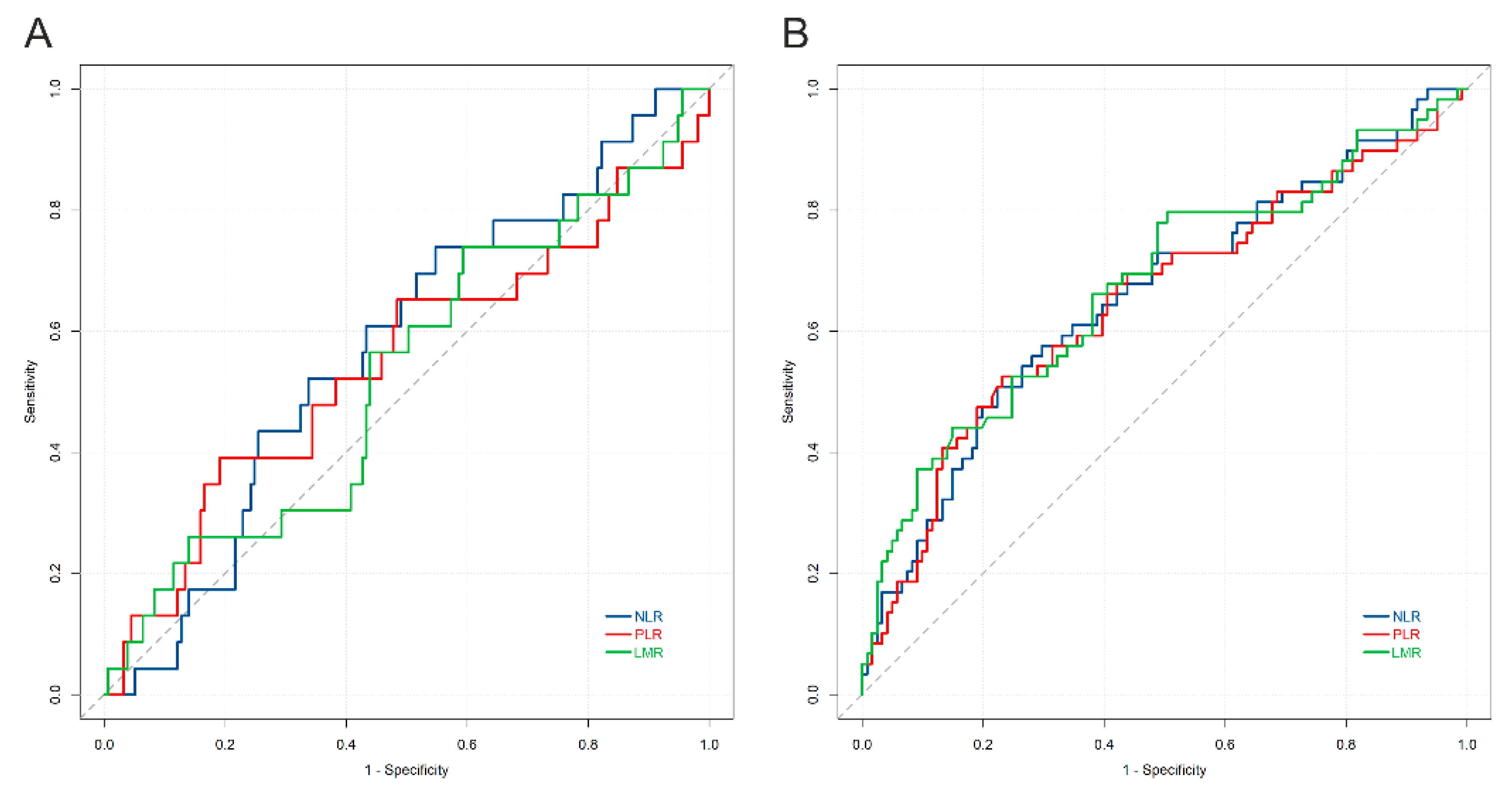
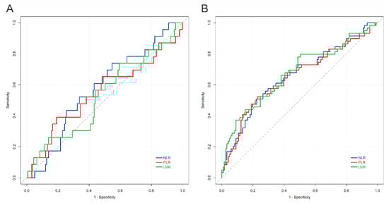
3.2. Markers of Systemic Inflammation
3.3. Survival Analysis
3.3.1. Survival Analysis in the Whole Cohort
3.3.2. Assessment of Risk of Relapse in Stage I Patients
3.3.3. Survival Analysis in Stage II/III Disease
3.3.4. Comparison of Factors Influencing Survival in Seminomas and Nonseminomas
4. Discussion
5. Conclusions
Author Contributions
Funding
Institutional Review Board Statement
Informed Consent Statement
Data Availability Statement
Conflicts of Interest
References
- Dieckmann, K.P.; Pichlmeier, U. Clinical epidemiology of testicular germ cell tumors. World J. Urol. 2004, 22, 2–14. [Google Scholar] [CrossRef] [PubMed]
- Honecker, F.; Aparicio, J.; Berney, D.; Beyer, J.; Bokemeyer, C.; Cathomas, R.; Clarke, N.; Cohn-Cedermark, G.; Daugaard, G.; Dieckmann, K.-P.; et al. ESMO Consensus Conference on testicular germ cell cancer: Diagnosis, treatment and follow-up. Ann. Oncol. 2018, 29, 1658–1686. [Google Scholar] [CrossRef]
- Boormans, J.L.; Mayor de Castro, J.; Marconi, L.; Yuan, Y.; Laguna Pes, M.P.; Bokemeyer, C.; Nicolai, N.; Algaba, F.; Oldenburg, J.; Albers, P. Testicular Tumour Size and Rete Testis Invasion as Prognostic Factors for the Risk of Relapse of Clinical Stage I Seminoma Testis Patients Under Surveillance: A Systematic Review by the Testicular Cancer Guidelines Panel. Eur. Urol. 2018, 73, 394–405. [Google Scholar] [CrossRef]
- International Germ Cell Cancer Collaborative Group. International Germ Cell Consensus Classification: A prognostic factor-based staging system for metastatic germ cell cancers. J. Clin. Oncol. 1997, 15, 594–603. [Google Scholar] [CrossRef]
- Grivennikov, S.I.; Greten, F.R.; Karin, M. Immunity, Inflammation, and Cancer. Cell 2010, 140, 883–899. [Google Scholar] [CrossRef] [PubMed]
- Ohno, Y. Role of systemic inflammatory response markers in urological malignancy. Int. J. Urol. 2019, 26, 31–47. [Google Scholar] [CrossRef]
- Zitvogel, L.; Kroemer, G. Targeting PD-1/PD-L1 interactions for cancer immunotherapy. Oncoimmunology 2012, 1, 1223–1225. [Google Scholar] [CrossRef] [PubMed]
- Xu, W.; Hiếu, T.; Malarkannan, S.; Wang, L. The structure, expression, and multifaceted role of immune-checkpoint protein VISTA as a critical regulator of anti-tumor immunity, autoimmunity, and inflammation. Cell. Mol. Immunol. 2018, 15, 438–446. [Google Scholar] [CrossRef]
- Brockhoff, G.; Seitz, S.; Weber, F.; Zeman, F.; Klinkhammer-Schalke, M.; Ortmann, O.; Wege, A.K. The presence of PD-1 positive tumor infiltrating lymphocytes in triple negative breast cancers is associated with a favorable outcome of disease. Oncotarget 2018, 9, 6201–6212. [Google Scholar] [CrossRef]
- Kim, H.R.; Ha, S.-J.; Hong, M.H.; Heo, S.J.; Koh, Y.W.; Choi, E.C.; Kim, E.K.; Pyo, K.H.; Jung, I.; Seo, D.; et al. PD-L1 expression on immune cells, but not on tumor cells, is a favorable prognostic factor for head and neck cancer patients. Sci. Rep. 2016, 6. [Google Scholar] [CrossRef]
- Loeser, H.; Kraemer, M.; Gebauer, F.; Bruns, C.; Schröder, W.; Zander, T.; Persa, O.-D.; Alakus, H.; Hoelscher, A.; Buettner, R.; et al. The expression of the immune checkpoint regulator VISTA correlates with improved overall survival in pT1/2 tumor stages in esophageal adenocarcinoma. Oncoimmunology 2019, 8, e1581546. [Google Scholar] [CrossRef] [PubMed]
- Sun, C.; Zhang, L.; Zhang, W.; Liu, Y.; Chen, B.; Zhao, S.; Li, W.; Wang, L.; Ye, L.; Jia, K.; et al. Expression of PD-1 and PD-L1 on Tumor-Infiltrating Lymphocytes Predicts Prognosis in Patients with Small-Cell Lung Cancer. OncoTargets Ther. 2020, 13, 6475–6483. [Google Scholar] [CrossRef] [PubMed]
- Zong, L.; Zhou, Y.; Zhang, M.; Chen, J.; Xiang, Y. VISTA expression is associated with a favorable prognosis in patients with high-grade serous ovarian cancer. Cancer Immunol. Immunother. 2020, 69, 33–42. [Google Scholar] [CrossRef]
- Lines, J.L.; Sempere, L.F.; Broughton, T.; Wang, L.; Noelle, R. VISTA Is a Novel Broad-Spectrum Negative Checkpoint Regulator for Cancer Immunotherapy. Cancer Immunol. Res. 2014, 2, 510–517. [Google Scholar] [CrossRef]
- ElTanbouly, M.A.; Croteau, W.; Noelle, R.J.; Lines, J.L. VISTA: A novel immunotherapy target for normalizing innate and adaptive immunity. Semin. Immunol. 2019, 42. [Google Scholar] [CrossRef]
- ElTanbouly, M.A.; Zhao, Y.; Nowak, E.; Li, J.; Schaafsma, E.; Le Mercier, I.; Ceeraz, S.; Lines, J.L.; Peng, C.; Carriere, C.; et al. VISTA is a checkpoint regulator for naïve T cell quiescence and peripheral tolerance. Science 2020, 367, eaay0524. [Google Scholar] [CrossRef]
- Fankhauser, C.D.; Curioni-Fontecedro, A.; Allmann, V.; Beyer, J.; Tischler, V.; Sulser, T.; Moch, H.; Bode, P.K. Frequent PD-L1 expression in testicular germ cell tumors. Br. J. Cancer 2015, 113, 411–413. [Google Scholar] [CrossRef]
- Cierna, Z.; Mego, M.; Miskovska, V.; Machalekova, K.; Chovanec, M.; Svetlovska, D.; Hainova, K.; Rejlekova, K.; Macak, D.; Spanik, S.; et al. Prognostic value of programmed-death-1 receptor (PD-1) and its ligand 1 (PD-L1) in testicular germ cell tumors. Ann. Oncol. 2016, 27, 300–305. [Google Scholar] [CrossRef]
- Lobo, J.; Rodrigues, Â.; Guimarães, R.; Cantante, M.; Lopes, P.; Maurício, J.; Oliveira, J.; Jerónimo, C.; Henrique, R. Detailed Characterization of Immune Cell Infiltrate and Expression of Immune Checkpoint Molecules PD-L1/CTLA-4 and MMR Proteins in Testicular Germ Cell Tumors Disclose Novel Disease Biomarkers. Cancers 2019, 11, 1535. [Google Scholar] [CrossRef] [PubMed]
- Hinsch, A.; Blessin, N.; Simon, R.; Kluth, M.; Fischer, K.; Hube-Magg, C.; Li, W.; Makrypidi-Fraune, G.; Wellge, B.; Mandelkow, T.; et al. Expression of the immune checkpoint receptor TIGIT in seminoma. Oncol. Lett. 2019, 18, 1497–1502. [Google Scholar] [CrossRef] [PubMed]
- Siska, P.J.; Johnpulle, R.A.N.; Zhou, A.; Bordeaux, J.; Kim, J.Y.; Dabbas, B.; Dakappagari, N.; Rathmell, J.C.; Rathmell, W.K.; Morgans, A.K.; et al. Deep exploration of the immune infiltrate and outcome prediction in testicular cancer by quantitative multiplexed immunohistochemistry and gene expression profiling. Oncoimmunology 2017, 6, e1305535. [Google Scholar] [CrossRef]
- Gabay, C.; Kushner, I. Acute-Phase Proteins and Other Systemic Responses to Inflammation. N. Engl. J. Med. 1999, 340, 448–454. [Google Scholar] [CrossRef]
- Li, B.; Zhou, P.; Liu, Y.; Wei, H.; Yang, X.; Chen, T.; Xiao, J. Platelet-to-lymphocyte ratio in advanced Cancer: Review and meta-analysis. Clin. Chim. Acta 2018, 483, 48–56. [Google Scholar] [CrossRef]
- Templeton, A.J.; Ace, O.; McNamara, M.G.; Al-Mubarak, M.; Vera-Badillo, F.E.; Hermanns, T.; Šeruga, B.; Ocaña, A.; Tannock, I.F.; Amir, E. Prognostic role of platelet to lymphocyte ratio in solid tumors: A systematic review and meta-analysis. Cancer Epidemiol. Biomark. Prev. 2014. [Google Scholar] [CrossRef] [PubMed]
- Brighi, N.; Farolfi, A.; Conteduca, V.; Gurioli, G.; Gargiulo, S.; Gallà, V.; Schepisi, G.; Lolli, C.; Casadei, C.; De Giorgi, U. The Interplay between Inflammation, Anti-Angiogenic Agents, and Immune Checkpoint Inhibitors: Perspectives for Renal Cell Cancer Treatment. Cancers 2019, 11, 1935. [Google Scholar] [CrossRef] [PubMed]
- Moschetta, M.; Uccello, M.; Kasenda, B.; Mak, G.; McClelland, A.; Boussios, S.; Forster, M.; Arkenau, H.-T. Dynamics of Neutrophils-to-Lymphocyte Ratio Predict Outcomes of PD-1/PD-L1 Blockade. BioMed Res. Int. 2017, 2017, 1–5. [Google Scholar] [CrossRef]
- Lee, D.Y.; Im, E.; Yoon, D.; Lee, Y.-S.; Kim, G.-S.; Kim, D.; Kim, S.-H. Pivotal role of PD-1/PD-L1 immune checkpoints in immune escape and cancer progression: Their interplay with platelets and FOXP3+Tregs related molecules, clinical implications and combinational potential with phytochemicals. Semin. Cancer Biol. 2020. [Google Scholar] [CrossRef] [PubMed]
- Lalani, A.-K.A.; Xie, W.; Martini, D.J.; Steinharter, J.A.; Norton, C.K.; Krajewski, K.M.; Duquette, A.; Bossé, D.; Bellmunt, J.; Van Allen, E.M.; et al. Change in neutrophil-to-lymphocyte ratio (NLR) in response to immune checkpoint blockade for metastatic renal cell carcinoma. J. Immunother. Cancer 2018, 6, 5. [Google Scholar] [CrossRef] [PubMed]
- Chovanec, M.; Cierna, Z.; Miskovska, V.; Machalekova, K.; Kalavska, K.; Rejlekova, K.; Svetlovska, D.; Macak, D.; Spanik, S.; Kajo, K.; et al. Systemic immune-inflammation index in germ-cell tumours. Br. J. Cancer 2018, 118, 831–838. [Google Scholar] [CrossRef]
- Paner, G.P.; Stadler, W.M.; Hansel, D.E.; Montironi, R.; Lin, D.W.; Amin, M.B. Updates in the Eighth Edition of the Tumor-Node-Metastasis Staging Classification for Urologic Cancers. Eur. Urol. 2018, 73, 570–571. [Google Scholar] [CrossRef]
- R Core Team. R: A Language and Environment for Statistical Computing; R Foundation for Statistical Computing: Vienna, Austria, 2020. [Google Scholar]
- Wickham, H. ggplot2: Elegant Graphics for Data Analysis; Springer International Publishing: Cham, Switzerland, 2016; ISBN 978-3-319-24275-0. [Google Scholar]
- Kassambara, A.; Kosinski, M.; Biecek, P. Survminer: Drawing Survival Curves Using “ggplot2”. R Package Version 0.4.8. 2020. Available online: https://cran.r-project.org/web/packages/survminer/ (accessed on 15 March 2020).
- Xiao, N. ggplot2Scientific Journal and Sci-Fi ThemedColor Palettes for "ggplot2. R Package Version 2.7; R Foundation for Statistical Computing: Vienna, Austria, 2018. [Google Scholar]
- Qu, N.; Ogawa, Y.; Kuramasu, M.; Nagahori, K.; Sakabe, K.; Itoh, M. Immunological microenvironment in the testis. Reprod. Med. Biol. 2020, 19, 24–31. [Google Scholar] [CrossRef] [PubMed]
- Zhao, S.; Zhu, W.; Xue, S.; Han, D. Testicular defense systems: Immune privilege and innate immunity. Cell. Mol. Immunol. 2014, 11, 428–437. [Google Scholar] [CrossRef] [PubMed]
- Brunet-Possenti, F.; Opsomer, M.A.; Gomez, L.; Ouzaid, I.; Descamps, V. Immune checkpoint inhibitors-related orchitis. Ann. Oncol. 2016, 28, mdw696. [Google Scholar] [CrossRef] [PubMed]
- Kalavska, K.; Schmidtova, S.; Chovanec, M.; Mego, M. Immunotherapy in Testicular Germ Cell Tumors. Front. Oncol. 2020, 10. [Google Scholar] [CrossRef] [PubMed]
- Dorantes-Heredia, R.; Motola-Kuba, D.; Murphy-Sanchez, C.; Izquierdo-Tolosa, C.D.; Ruiz-Morales, J.M. Spontaneous regression as a ‘burned-out’ non-seminomatous testicular germ cell tumor: A case report and literature review. J. Surg. Case Rep. 2019, 2019. [Google Scholar] [CrossRef]
- Marshall, A.H..; Dayan, A. An immune reaction in man against seminomas, dysgerminomas, pinealomas, and the mediastinal tumours of similar histological appearance? Lancet 1964, 284, 1102–1104. [Google Scholar] [CrossRef]
- Hadrup, S.R.; Brændstrup, O.; Jacobsen, G.K.; Mortensen, S.; Pedersen, L.Ø.; Seremet, T.; Andersen, M.H.; Becker, J.C.; Straten, P. Tumor infiltrating lymphocytes in seminoma lesions comprise clonally expanded cytotoxic T cells. Int. J. Cancer 2006, 119, 831–838. [Google Scholar] [CrossRef]
- Pearce, H.; Hutton, P.; Chaudhri, S.; Porfiri, E.; Patel, P.; Viney, R.; Moss, P. Spontaneous CD4+ and CD8+ T-cell responses directed against cancer testis antigens are present in the peripheral blood of testicular cancer patients. Eur. J. Immunol. 2017, 47, 1232–1242. [Google Scholar] [CrossRef] [PubMed]
- Cheng, X.; Dai, H.; Wan, N.; Moore, Y.; Vankayalapati, R.; Dai, Z. Interaction of Programmed Death-1 and Programmed Death-1 Ligand-1 Contributes to Testicular Immune Privilege. Transplantation 2009, 87, 1778–1786. [Google Scholar] [CrossRef]
- Chovanec, M.; Cierna, Z.; Miskovska, V.; Machalekova, K.; Svetlovska, D.; Kalavska, K.; Rejlekova, K.; Spanik, S.; Kajo, K.; Babal, P.; et al. Prognostic role of programmed-death ligand 1 (PD-L1) expressing tumor infiltrating lymphocytes in testicular germ cell tumors. Oncotarget 2017, 8, 21794–21805. [Google Scholar] [CrossRef]
- Sadigh, S.; Farahani, S.J.; Shah, A.; Vaughn, D.; Lal, P. Differences in PD-L1–Expressing Macrophages and Immune Microenvironment in Testicular Germ Cell Tumors. Am. J. Clin. Pathol. 2020, 153, 387–395. [Google Scholar] [CrossRef]
- Villarroel-Espindola, F.; Yu, X.; Datar, I.; Mani, N.; Sanmamed, M.; Velcheti, V.; Syrigos, K.; Toki, M.; Zhao, H.; Chen, L.; et al. Spatially Resolved and Quantitative Analysis of VISTA/PD-1H as a Novel Immunotherapy Target in Human Non–Small Cell Lung Cancer. Clin. Cancer Res. 2018, 24, 1562–1573. [Google Scholar] [CrossRef] [PubMed]
- Cao, X.; Ren, X.; Zhou, Y.; Mao, F.; Lin, Y.; Wu, H.; Sun, Q. VISTA Expression on Immune Cells Correlates With Favorable Prognosis in Patients With Triple-Negative Breast Cancer. Front. Oncol. 2021, 10. [Google Scholar] [CrossRef] [PubMed]
- Liu, C.-Q.; Xu, J.; Zhou, Z.-G.; Jin, L.-L.; Yu, X.-J.; Xiao, G.; Lin, J.; Zhuang, S.-M.; Zhang, Y.-J.; Zheng, L. Expression patterns of programmed death ligand 1 correlate with different microenvironments and patient prognosis in hepatocellular carcinoma. Br. J. Cancer 2018, 119, 80–88. [Google Scholar] [CrossRef] [PubMed]
- Pollari, M.; Brück, O.; Pellinen, T.; Vähämurto, P.; Karjalainen-Lindsberg, M.-L.; Mannisto, S.; Kallioniemi, O.; Kellokumpu-Lehtinen, P.-L.; Mustjoki, S.; Leivonen, S.-K.; et al. PD-L1 + tumor-associated macrophages and PD-1 + tumor-infiltrating lymphocytes predict survival in primary testicular lymphoma. Haematologica 2018, 103, 1908–1914. [Google Scholar] [CrossRef] [PubMed]
- Boldrini, R.; De Pasquale, M.D.; Melaiu, O.; Chierici, M.; Jurman, G.; Benedetti, M.C.; Salfi, N.C.; Castellano, A.; Collini, P.; Furlanello, C.; et al. Tumor-infiltrating T cells and PD-L1 expression in childhood malignant extracranial germ-cell tumors. Oncoimmunology 2019, 8, e1542245. [Google Scholar] [CrossRef] [PubMed]
- Jennewein, L.; Bartsch, G.; Gust, K.; Kvasnicka, H.; Haferkamp, A.; Blaheta, R.; Mittelbronn, M.; Harter, P.; Mani, J. Increased tumor vascularization is associated with the amount of immune competent PD-1 positive cells in testicular germ cell tumors. Oncol. Lett. 2018, 6, 9852–9860. [Google Scholar] [CrossRef] [PubMed]
- Liu, J.; Yuan, Y.; Chen, W.; Putra, J.; Suriawinata, A.A.; Schenk, A.D.; Miller, H.E.; Guleria, I.; Barth, R.J.; Huang, Y.H.; et al. Immune-checkpoint proteins VISTA and PD-1 nonredundantly regulate murine T-cell responses. Proc. Natl. Acad. Sci. USA 2015, 112, 6682–6687. [Google Scholar] [CrossRef]
- Zong, L.; Zhang, M.; Wang, W.; Wan, X.; Yang, J.; Xiang, Y. PD -L1, B7-H3 and VISTA are highly expressed in gestational trophoblastic neoplasia. Histopathology 2019, 71, 421–430. [Google Scholar] [CrossRef]
- Necchi, A.; Giannatempo, P.; Raggi, D.; Mariani, L.; Colecchia, M.; Farè, E.; Monopoli, F.; Calareso, G.; Ali, S.M.; Ross, J.S.; et al. An Open-label Randomized Phase 2 study of Durvalumab Alone or in Combination with Tremelimumab in Patients with Advanced Germ Cell Tumors (APACHE): Results from the First Planned Interim Analysis. Eur. Urol. 2019, 75, 201–203. [Google Scholar] [CrossRef]
- Adra, N.; Einhorn, L.H.; Althouse, S.K.; Ammakkanavar, N.R.; Musapatika, D.; Albany, C.; Vaughn, D.; Hanna, N.H. Phase II trial of pembrolizumab in patients with platinum refractory germ-cell tumors: A Hoosier Cancer Research Network Study GU14-206. Ann. Oncol. 2018, 29, 209–214. [Google Scholar] [CrossRef] [PubMed]
- Zschäbitz, S.; Lasitschka, F.; Hadaschik, B.; Hofheinz, R.-D.; Jentsch-Ullrich, K.; Grüner, M.; Jäger, D.; Grüllich, C. Response to anti-programmed cell death protein-1 antibodies in men treated for platinum refractory germ cell cancer relapsed after high-dose chemotherapy and stem cell transplantation. Eur. J. Cancer 2017, 76, 1–7. [Google Scholar] [CrossRef] [PubMed]
- Tagliamento, M.; Bironzo, P.; Novello, S. New emerging targets in cancer immunotherapy: The role of VISTA. ESMO Open 2019, 4, e000683. [Google Scholar] [CrossRef]
- Tashima, Y.; Kuwata, T.; Yoneda, K.; Hirai, A.; Mori, M.; Kanayama, M.; Imanishi, N.; Kuroda, K.; Ichiki, Y.; Tanaka, F. Prognostic impact of PD-L1 expression in correlation with neutrophil-to-lymphocyte ratio in squamous cell carcinoma of the lung. Sci. Rep. 2020, 10. [Google Scholar] [CrossRef] [PubMed]
- Hasegawa, T.; Yanagitani, N.; Utsumi, H.; Wakui, H.; Sakamoto, H.; Tozuka, T.; Yoshida, H.; Amino, Y.; Uematsu, S.; Yoshizawa, T.; et al. Association of High Neutrophil-to-Lymphocyte Ratio With Poor Outcomes of Pembrolizumab Therapy in High-PD-L1-expressing Non-small Cell Lung Cancer. Anticancer Res. 2019, 39, 6851–6857. [Google Scholar] [CrossRef]
- Yuksel, O.H.; Verit, A.; Sahin, A.; Urkmez, A.; Uruc, F. White blood cell counts and neutrophil to lymphocyte ratio in the diagnosis of testicular cancer: A simple secondary serum tumor marker. Int. Braz. J. Urol. 2016, 42, 53–59. [Google Scholar] [CrossRef]
- Gokcen, K.; Dundar, G.; Gulbahar, H.; Gokce, G.; Gultekin, E.Y. Can routine peripheral blood counts like neutrophil-to-lymphocyte ratio be beneficial in prediagnosis of testicular cancer and its stages? J. Res. Med. Sci. 2018, 23, 64. [Google Scholar] [CrossRef] [PubMed]
- Herraiz-Raya, L.; Moreillo-Vicente, L.; Martínez-Ruiz, J.; Agustí-Martínez, A.; Fernández-Anguita, P.J.; Esper-Rueda, J.A.; Salce-Marte, L.; Armas-Álvarez, A.; Díaz de Mera-Sánchez Migallón, I.; Martínez-Alfaro, C.; et al. Leukocyte and platelet counts as prognostic values of testicular germ cell tumors. Actas Urológicas Españolas 2019, 43, 284–292. [Google Scholar] [CrossRef] [PubMed]
- Tan, Y.G.; Sia, J.; Huang, H.H.; Lau, W.K.O. Neutrophil-to-lymphocyte ratio independently predicts advanced pathological staging and poorer survival outcomes in testicular cancer. Investig. Clin. Urol. 2019, 60, 176–183. [Google Scholar] [CrossRef]
- Fankhauser, C.D.; Sander, S.; Roth, L.; Gross, O.; Eberli, D.; Sulser, T.; Seifert, B.; Beyer, J.; Hermanns, T. Systemic inflammatory markers have independent prognostic value in patients with metastatic testicular germ cell tumours undergoing first-line chemotherapy. Br. J. Cancer 2018, 118, 825–830. [Google Scholar] [CrossRef]
- Maruyama, Y.; Sadahira, T.; Araki, M.; Mitsui, Y.; Wada, K.; Edamura, K.; Kobayashi, Y.; Watanabe, M.; Watanabe, T.; Nasu, Y. Comparison of the predictive value among inflammation-based scoring systems for bleomycin pulmonary toxicity in patients with germ cell tumors. Int. J. Urol. 2019, 26, 813–819. [Google Scholar] [CrossRef] [PubMed]
- Nieswandt, B.; Hafner, M.; Echtenacher, B.; Männel, D.N. Lysis of tumor cells by natural killer cells in mice is impeded by platelets. Cancer Res. 1999, 59, 1295–1300. [Google Scholar] [PubMed]
- Labelle, M.; Begum, S.; Hynes, R.O. Direct Signaling between Platelets and Cancer Cells Induces an Epithelial-Mesenchymal-Like Transition and Promotes Metastasis. Cancer Cell 2011, 20, 576–590. [Google Scholar] [CrossRef] [PubMed]
- Badia, R.R.; Woldu, S.; Patel, H.D.; Singla, N.; Srivastava, A.; Cheaib, J.G.; Pierorazio, P.M.; Bagrodia, A. Clinical utility of the AJCC 8th edition pT1 subclassification and impact on practice patterns in stage I seminoma. Urol. Oncol. Semin. Orig. Investig. 2021, 39. [Google Scholar] [CrossRef]








| Feature | ||
|---|---|---|
| Mean Age (Max–Min) (Years) | 32.89 (17–66) | |
| Diagnosis (n, %) | Seminoma | 97 (53.9) |
| Nonseminoma | 83 (46.1) | |
| EC | 15 (8.3) | |
| Teratoma | 2 (1.1) | |
| MGCT | 66 (36.7) | |
| T (n, %) | 1 | 69 (38.3) |
| 2 | 102 (56.7) | |
| 3 | 8 (4.4) | |
| 4 | 1 (0.5) | |
| n (n, %) | 0 | 125 (69.4) |
| 1 | 8 (4.4) | |
| 2 | 22 (12.2) | |
| 3 | 25 (13.9) | |
| M (n, %) | 0 | 157 (87.2) |
| 1a | 19 (10.5) | |
| 1b | 4 (22.2) | |
| S (n, %) | 0 | 81 (45.0) |
| 1 | 63 (35.0) | |
| 2 | 28 (15.5) | |
| 3 | 8 (4.4) | |
| Stage according to AJCC (n, %) | I | 121 (67.2) |
| II | 29 (16.1) | |
| III | 30 (16.7) | |
| IGCCCG risk groups (stage IIC–III patients only) | Good | 35 (84.4) |
| Intermediate | 17 (11.7) | |
| Poor | 7 (38.8) | |
| Adjuvant chemotherapy (stage I patients) (n, %) | No | 66/121 (54.5) |
| BEP in NSCGTs | 23/39 (59.0) | |
| Carboplatin in seminoma | 32/82 (39.0) | |
| Event (n, %) | Progression | 12 (6.7) |
| Relapse | 11 (6.1) | |
| Death | 8 (4.4) | |
| PD-L1 Low | PD-L1 High | p | |
|---|---|---|---|
| VISTA low | 69 (38.33) | 44 (24.44) | <0.001 * |
| VISTA high | 22 (12.22) | 45 (25.00) | |
| Pure seminoma | 42 (23.33) | 55 (30.56) | 0.035 * |
| Other histologies | 49 (27.22) | 34 (18.89) | |
| LVI-1 | 50 (27.78) | 52 (28.89) | 0.637 |
| LVI-0 | 41 (22.78) | 37 (20.56) | |
| T1 | 35 (19.44) | 33 (18.33) | 0.848 |
| T2–4 | 56 (31.11) | 56 (31.11) | |
| N0 | 57 (31.67) | 68 (37.78) | 0.045 * |
| N1–3 | 34 (18.89) | 21 (11.67) | |
| M0 | 74 (41.11) | 83 (46.11) | 0.016 * |
| M1 | 17 (9.44) | 6 (3.33) | |
| S0–1 | 67 (37.22) | 77 (42.78) | 0.031 * |
| S2–3 | 24 (13.33) | 12 (6.67) | |
| Stage I | 56 (31.11) | 65 (36.11) | 0.100 |
| Stage II–III | 35 (19.44) | 24 (13.33) |
| Stage | IGCCCG Risk Group n (%) | Relapse/ Progression n (%) | Death n (%) | Percentage of PD-L1-High Cases | Percentage of VISTA-High Cases |
|---|---|---|---|---|---|
| Seminoma | |||||
| I (n = 82) | N/a | 4 (4.9) | 2 (2.4) * | 51.31% | 35.36% |
| II/III (n = 15) | Good or no need for risk assessment (n = 11) | 2 (13.3) | 0 (0) | 54.54% | 54.54% |
| Intermediate (n = 4) | 1 (25.0) | 2 (50.0) | 50.00% | 0.0% | |
| NSGCTs | |||||
| I (n = 39) | N/a | 2 (5.1) | 0 (0) | 46.15% | 35.89% |
| II/III (n = 44) | Good or no need for risk assessment (n = 24) | 4 (16.7) | 0 (0) | 54.16% | 50.00% |
| Intermediate (n = 13) | 6 (46.1) | 3 (23.1) | 30.00% | 30.00% | |
| Poor (n = 7) | 2 (28.6) | 1 (14.3) | 0.0% | 57.14% | |
| Univariate | Multivariate | |||
|---|---|---|---|---|
| Characteristics | OR (95% CI) | p | OR (95% CI) | p |
| Stage | 3.70 (1.63–8.38) | 0.002 *,! | ||
| pT (1 vs. 2–4) | 0.63 (0.19–2.15) | 0.465 | ||
| n (1–3 vs. 0) | 3.25 (0.93–11.38) | 0.065 | ||
| M (1 vs. 0) | 6.67 (1.89–23.51) | 0.003 * | 5.27 (1.30–21.38) | 0.020 * |
| S (2–3 vs. 0–1) | 3.60 (1.09–11.87) | 0.035 * | ||
| LVI | 2.45 (0.76–7.89) | 0.133 | ||
| PD-L1 (L vs. H) | 1.92 (0.54–6.73) | 0.306 | ||
| VISTA (L vs. H) | 4.89 (1.02–23.53) | 0.047 * | ||
| PD-L1/VISTA (LL vs. others) | 3.89 (1.11–13.66) | 0.034 * | ||
| NLR (L vs. H) | 3.26 (1.00–10.62) | 0.049 * | ||
| PLR (L vs. H) | 3.78 (1.15–12.38) | 0.028 * | ||
| LMR (L vs. H) | 1.51 (0.43–5.31) | 0.520 | ||
| PD-L1/PLR (L/H vs. others) | 5.90 (1.70–20.46) | <0.001 * | ||
| VISTA/PLR (L/H vs. others) | 10.16 (2.80–36.92) | <0.001 * | 8.49 (2.16–33.30) | 0.002 * |
| Univariate | Multivariate | |||
|---|---|---|---|---|
| Characteristics | OR (95% CI) | p | OR (95% CI) | p |
| Stage | 2.59 (1.03–6.51) | 0.042 *,! | ||
| pT (1 vs. 2–4) | 1.16 (0.24–5.51) | 0.845 | ||
| n (1–3 vs. 0) | 4.87 (0.96–24.53) | 0.055 | ||
| M (1 vs. 0) | 6.8 (1.04–44.19) | 0.045 * | ||
| S (2–3 vs. 0–1) | 10.67 (2.08–54.71) | 0.004 * | 15.05 (2.38–94.79) | 0.004 * |
| Infiltration of rete testis | 1.97 (0.21–18.81) | 0.553 | ||
| Tumor size > 4 cm | 1.27 (0.27–6.02) | 0.758 | ||
| PD-L1 (L vs. H) | 9.00 (1.03–77.93) | 0.046 * | 12.70 (1.24–129.52) | 0.032 * |
| VISTA (L vs. H) | 3.47 (0.40–30.12) | 0.258 | ||
| PD-L1/VISTA (LL vs. others) | 5.83 (1.06–31.95) | 0.042 * | ||
| NLR (L vs. H) | 0.62 (0.07–5.49) | 0.670 | ||
| PLR (L vs. H) | 1.08 (0.12–9.80) | 0.943 | ||
| LMR (L vs. H) | 2.49 (0.47–13.08) | 0.279 | ||
| PD-L1/PLR (L/H vs. others) | 1.89 (0.20–17.64) | 0.575 | ||
| VISTA/PLR (L/H vs. others) | N/A ** |
| Author/Year | Fankhauser (2015) [17] | Cierna (2016) [18] | Chovanec (2017) [44] | Lobo (2019) [19] | Siska (2017) [21] | Sadigh (2020) [45] | Boldrini (2019) [50] | Jennewein (2018) [51] | Pęksa (2020) Current study |
|---|---|---|---|---|---|---|---|---|---|
| Antibody | E1L3N (monoclonal rabbit antibody; dilution 1:1000) | EPR1161(2) (monoclonal rabbit antibody; dilution 1:100) | EPR1161(2) (monoclonal rabbit antibody; dilution 1:100 | 22C3 (monoclonal mouse antibody; dilution 1:100) | E1L3N (monoclonal rabbit antibody; multiplexed FIHC) | E1J2J (monoclonal rabbit antibody; dilution 1:2000) | RBT-PDL1 (monoclonal rabbit antibody) | E1L3N (monoclonal rabbit antibody) | 22C3 (monoclonal rabbit antibody; dilution 1:50) |
| Evaluation of staining/criteria for postivity | Percentage of cells. Threshold: 5% positive cells | Multiplicative quickscore (0–9—low; 10–18—high) | Weighted histoscore (0–150—low; 160–300—high) | Presence or absence of any positive cells | Automated analysis; calculation of PD-1/PD-L1 interaction score | H-score | Density of positive cells | A multi-score of staining frequency and intensity | Weighted histoscore (0–40—low; 41–300—high) |
| Number of cases | 329 | 140 | 240 | 265 | 35 | 77 | 49 (pediatric patients) | 84 | 180 |
| Frequency of PD-L1 expression in tumor cells | 64% of nonseminomas Some seminomas (no exact data) | 76% of seminomas 89% of nonseminomas | Evaluated but no information | 24.9% in total; 25.0% of seminomas; 24.8% of nonseminomas | No information (most likely expression of PD-L1 in TC was not observed) | 0% (except ChC) with the use of dual PD-L1/OCT3/3 staining | 12.2% (6 cases—3 ChC, 2 EC, 1 YS) | No information (most likely expression of PD-L1 in TC was not observed) | 0% (except choriocarcinoma and focal staining in 3 EC) |
| Frequency of PD-L1 expression in TILs | 73% in seminoma Rare in nonseminomas (no exact data) | No information | 95.9% of seminomas; 91.0% of EC; 60% of YST; 54.5% of ChC; 35.7% of teratomas | 85.5% in total; 87.2% of seminomas; 79.5% of nonseminomas | No exact information | Dependent on the pattern of staining (scattered/rare; intraseptal/stromal; extensive intratumoral) | 8.16% | PD-L1 expression was described in “tumor parenchyma” | 94.4% in total 92.8% of seminomas 96.4% of nonseminomas |
| Other immune markers assessed | No | PD-1—negative in tumor cells in all cases | PD-1—mainly low-expression in TILs in 87.7% of seminomatous tumors; 42.9% of EC; 38.8% teratomas; 26.9% of YST; 0% ChC | CTLA4—expressed in immune cells in 96.3% of GCTs and in tumor cells in 89.7% of cases; CD20 and CD3—lower levels associated with higher stage | PD-1, CD3, CD4, CD8, CD25, and FOXP3 Gene expression profiling with the NanoString pan-cancer immunology panel | PD-1, FOXP3, CD68, CD163 | CD3, CD8, FOXP3 | PD-1—expressed on TILs | VISTA—expressed in immune cells in 98.8% of GCTs |
| Other findings/Comments | No assessment of prognostic significance | High expression of PD-L1 in tumor cells is associated with worse PFS and OS | Patients with low PD-L1 in tumor cells and high PD-L1 in TILs have the best prognosis. | Absence of PD-L1 positive IC was associated with worse RFS. PD-L1 expression in TC had no prognostic impact. | Seminomas vs nonseminomas: higher levels of PD-L1+ IC. Advanced stage associated with more Tregs, decreased NK cell signature, increased neutrophil and macrophage signature | Higher expression of PD-L1+ TAMs in seminomas compared to nonseminomas. Activated TILs (FOXP3+) and TAMs are more abundant in nonmetastatic seminomas | Pediatric GCTs may be less immunogenic. A high CD3+ T-cell infiltration is associated with better outcome. | No association between PD-L1 or PD-1 expression and clinicopathological variables | Low expression of VISTA combined with high levels of PLR characterize stage II/III patients with high risk of relapse/progression Low PD-L1 expression may indicate risk of events in seminoma |
Publisher’s Note: MDPI stays neutral with regard to jurisdictional claims in published maps and institutional affiliations. |
© 2021 by the authors. Licensee MDPI, Basel, Switzerland. This article is an open access article distributed under the terms and conditions of the Creative Commons Attribution (CC BY) license (https://creativecommons.org/licenses/by/4.0/).
Share and Cite
Pęksa, R.; Kunc, M.; Popęda, M.; Piątek, M.; Bieńkowski, M.; Żok, J.; Starzyńska, A.; Perdyan, A.; Sowa, M.; Duchnowska, R.; et al. Combined Assessment of Immune Checkpoint Regulator VISTA on Tumor-Associated Immune Cells and Platelet-to-Lymphocyte Ratio Identifies Advanced Germ Cell Tumors with Higher Risk of Unfavorable Outcomes. Cancers 2021, 13, 1750. https://doi.org/10.3390/cancers13081750
Pęksa R, Kunc M, Popęda M, Piątek M, Bieńkowski M, Żok J, Starzyńska A, Perdyan A, Sowa M, Duchnowska R, et al. Combined Assessment of Immune Checkpoint Regulator VISTA on Tumor-Associated Immune Cells and Platelet-to-Lymphocyte Ratio Identifies Advanced Germ Cell Tumors with Higher Risk of Unfavorable Outcomes. Cancers. 2021; 13(8):1750. https://doi.org/10.3390/cancers13081750
Chicago/Turabian StylePęksa, Rafał, Michał Kunc, Marta Popęda, Michał Piątek, Michał Bieńkowski, Jolanta Żok, Anna Starzyńska, Adrian Perdyan, Marek Sowa, Renata Duchnowska, and et al. 2021. "Combined Assessment of Immune Checkpoint Regulator VISTA on Tumor-Associated Immune Cells and Platelet-to-Lymphocyte Ratio Identifies Advanced Germ Cell Tumors with Higher Risk of Unfavorable Outcomes" Cancers 13, no. 8: 1750. https://doi.org/10.3390/cancers13081750
APA StylePęksa, R., Kunc, M., Popęda, M., Piątek, M., Bieńkowski, M., Żok, J., Starzyńska, A., Perdyan, A., Sowa, M., Duchnowska, R., & Biernat, W. (2021). Combined Assessment of Immune Checkpoint Regulator VISTA on Tumor-Associated Immune Cells and Platelet-to-Lymphocyte Ratio Identifies Advanced Germ Cell Tumors with Higher Risk of Unfavorable Outcomes. Cancers, 13(8), 1750. https://doi.org/10.3390/cancers13081750

