Association of RERG Expression with Female Survival Advantage in Malignant Pleural Mesothelioma
Abstract
Simple Summary
Abstract
1. Introduction
2. Results
2.1. Identification of RERG
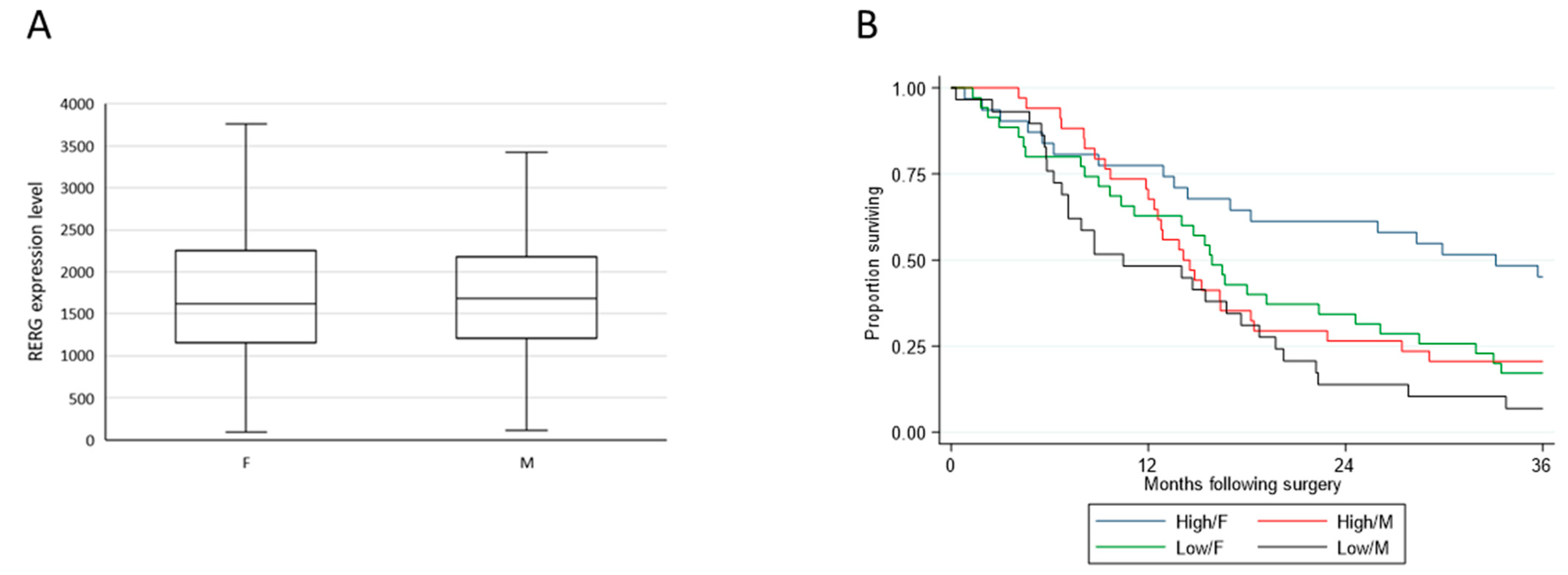
2.2. Validation of Association of RERG Expression and Survival in a Selected Cohort of Epithelioid MPM Samples
2.3. Biological Pathway Analyses
2.4. Tumor Expression of Estrogen Receptors and Circulating Estradiol
3. Discussion
4. Materials and Methods
4.1. Specimens and RNA Extraction
4.2. Identification of Most Variable Estrogen Response Genes in MPM
4.3. Microarray Validation and Functional Enrichment Analyses
4.4. Gene Expression Analysis of Affymetrix Microarray Data
4.5. IHC and Estradiol Immunoassay
4.6. Statistical Analysis
5. Conclusions
Supplementary Materials
Author Contributions
Funding
Institutional Review Board Statement
Informed Consent Statement
Data Availability Statement
Acknowledgments
Conflicts of Interest
References
- Zhu, Y.; Shao, X.; Wang, X.; Liu, L.; Liang, H. Sex disparities in cancer. Cancer Lett. 2019, 466, 35–38. [Google Scholar] [CrossRef]
- Abdel-Rahman, O. Global trends in mortality from malignant mesothelioma: Analysis of WHO mortality database (1994–2013). Clin. Respir. J. 2018, 12, 2090–2100. [Google Scholar] [CrossRef]
- Van Gerwen, M.; Alpert, N.; Flores, R.; Taioli, E. An overview of existing mesothelioma registries worldwide, and the need for a US Registry. Am. J. Ind. Med. 2019, 63, 115–120. [Google Scholar] [CrossRef]
- Barsky, A.R.; Ahern, C.A.; Venigalla, S.; Verma, V.; Anstadt, E.J.; Wright, C.M.; Ludmir, E.B.; Berlind, C.G.; Lindsay, W.D.; Grover, S.; et al. Gender-based Disparities in Receipt of Care and Survival in Malignant Pleural Mesothelioma. Clin. Lung Cancer 2020, 21, e583–e591. [Google Scholar] [CrossRef] [PubMed]
- Taioli, E.; Wolf, A.S.; Camacho-Rivera, M.; Flores, R.M. Women with Malignant Pleural Mesothelioma Have a Threefold Better Survival Rate than Men. Ann. Thorac. Surg. 2014, 98, 1020–1024. [Google Scholar] [CrossRef] [PubMed]
- Wolf, A.S.; Richards, W.G.; Tilleman, T.R.; Chirieac, L.; Hurwitz, S.; Bueno, R.; Sugarbaker, D.J. Characteristics of Malignant Pleural Mesothelioma in Women. Ann. Thorac. Surg. 2010, 90, 949–956. [Google Scholar] [CrossRef] [PubMed]
- De Rienzo, A.; Archer, M.A.; Yeap, B.Y.; Dao, N.; Sciaranghella, D.; Sideris, A.C.; Zheng, Y.; Holman, A.G.; Wang, Y.E.; Cin, P.S.D.; et al. Gender-Specific Molecular and Clinical Features Underlie Malignant Pleural Mesothelioma. Cancer Res. 2016, 76, 319–328. [Google Scholar] [CrossRef] [PubMed]
- Ben-Batalla, I.; Vargas-Delgado, M.E.; Meier, L.; Loges, S. Sexual dimorphism in solid and hematological malignancies. Semin. Immunopathol. 2019, 41, 251–263. [Google Scholar] [CrossRef] [PubMed]
- Caiazza, F.; Ryan, E.J.; Edoherty, G.; Winter, D.C.; Esheahan, K. Estrogen Receptors and Their Implications in Colorectal Carcinogenesis. Front. Oncol. 2015, 5, 19. [Google Scholar] [CrossRef] [PubMed]
- Kawai, H. Estrogen receptors as the novel therapeutic biomarker in non-small cell lung cancer. World J. Clin. Oncol. 2014, 5, 1020–1027. [Google Scholar] [CrossRef]
- Pinton, G.; Brunelli, E.; Murer, B.; Puntoni, R.; Puntoni, M.; Fennell, D.A.; Gaudino, G.; Mutti, L.; Moro, L. Estrogen Receptor-β Affects the Prognosis of Human Malignant Mesothelioma. Cancer Res. 2009, 69, 4598–4604. [Google Scholar] [CrossRef] [PubMed]
- Pinton, G.; Thomas, W.; Bellini, P.; Manente, A.G.; Favoni, R.E.; Harvey, B.J.; Mutti, L.; Moro, L. Estrogen Receptor β Exerts Tumor Repressive Functions in Human Malignant Pleural Mesothelioma via EGFR Inactivation and Affects Response to Gefitinib. PLoS ONE 2010, 5, e14110. [Google Scholar] [CrossRef] [PubMed]
- Gruber, C.J.; Tschugguel, W.; Schneeberger, C.; Huber, J.C. Production and Actions of Estrogens. N. Engl. J. Med. 2002, 346, 340–352. [Google Scholar] [CrossRef] [PubMed]
- Chen, B.; Ye, P.; Chen, Y.; Liu, T.; Cha, J.-H.; Yan, X.; Yang, W.-H. Involvement of the Estrogen and Progesterone Axis in Cancer Stemness: Elucidating Molecular Mechanisms and Clinical Significance. Front. Oncol. 2020, 10, 1657. [Google Scholar] [CrossRef] [PubMed]
- Reis-Filho, J.S.; Pusztai, L. Gene expression profiling in breast cancer: Classification, prognostication, and prediction. Lancet 2011, 378, 1812–1823. [Google Scholar] [CrossRef]
- Broadhead, M.L.; Clark, J.C.M.; Dass, C.R.; Choong, P.F.M. Microarray: An instrument for cancer surgeons of the future? ANZ J. Surg. 2010, 80, 531–536. [Google Scholar] [CrossRef] [PubMed]
- De Rienzo, A.; Richards, W.G.; Yeap, B.Y.; Coleman, M.H.; Sugarbaker, P.E.; Chirieac, L.R.; Wang, Y.E.; Quackenbush, J.; Jensen, R.V.; Bueno, R. Sequential Binary Gene Ratio Tests Define a Novel Molecular Diagnostic Strategy for Malignant Pleural Mesothelioma. Clin. Cancer Res. 2013, 19, 2493–2502. [Google Scholar] [CrossRef] [PubMed]
- Finlin, B.S.; Gau, C.-L.; Murphy, G.A.; Shao, H.; Kimel, T.; Seitz, R.S.; Chiu, Y.-F.; Botstein, D.; Brown, P.O.; Der, C.J.; et al. RERG Is a Novel ras-related, Estrogen-regulated and Growth-inhibitory Gene in Breast Cancer. J. Biol. Chem. 2001, 276, 42259–42267. [Google Scholar] [CrossRef]
- Ferguson, M.K.; Wang, J.; Hoffman, P.C.; Haraf, D.J.; Olak, J.; Masters, G.A.; Vokes, E.E. Sex-associated differences in survival of patients undergoing resection for lung cancer. Ann. Thorac. Surg. 2000, 69, 245–249. [Google Scholar] [CrossRef]
- Kris, M.G.; Natale, R.B.; Herbst, R.S.; Lynch, J.T.J.; Prager, D.; Belani, C.P.; Schiller, J.H.; Kelly, K.; Spiridonidis, H.; Sandler, A.; et al. Efficacy of Gefitinib, an Inhibitor of the Epidermal Growth Factor Receptor Tyrosine Kinase, in Symptomatic Patients With Non–Small Cell Lung Cancer: A randomized trial. JAMA 2003, 290, 2149–2158. [Google Scholar] [CrossRef]
- Kuperstein, I.; Grieco, L.; Cohen, D.P.A.; Thieffry, D.; Zinovyev, A.; Barillot, E. The shortest path is not the one you know: Application of biological network resources in precision oncology research. Mutagenesis 2015, 30, 191–204. [Google Scholar] [CrossRef]
- Yuan, Y.; Liu, L.; Chen, H.; Wang, Y.; Xu, Y.; Mao, H.; Li, J.; Mills, G.B.; Shu, Y.; Li, L.; et al. Comprehensive Characterization of Molecular Differences in Cancer between Male and Female Patients. Cancer Cell 2016, 29, 711–722. [Google Scholar] [CrossRef] [PubMed]
- Rusch, V.W.; Venkatraman, E.S. Important prognostic factors in patients with malignant pleural mesothelioma, managed surgically. Ann. Thorac. Surg. 1999, 68, 1799–1804. [Google Scholar] [CrossRef]
- Sugarbaker, D.J.; Wolf, A.S.; Chirieac, L.R.; Godleski, J.J.; Tilleman, T.R.; Jaklitsch, M.; Bueno, R.; Richards, W.G. Clinical and pathological features of three-year survivors of malignant pleural mesothelioma following extrapleural pneumonectomy. Eur. J. Cardio-Thorac. Surg. 2011, 40, 298–303. [Google Scholar] [CrossRef] [PubMed][Green Version]
- Van Gerwen, M.; Alpert, N.; Wolf, A.; Ohri, N.; Lewis, E.; Rosenzweig, K.E.; Flores, R.; Taioli, E. Prognostic factors of survival in patients with malignant pleural mesothelioma: An analysis of the National Cancer Database. Carcinogenesis 2019, 40, 529–536. [Google Scholar] [CrossRef]
- Coleman, M.H.; De Rienzo, A.; Richards, W.G.; Yeap, B.Y.; Sugarbaker, D.J.; Bueno, R. Association of mesothelioma outcome with RERG expression. J. Am. Coll. Surg. 2011, 213, S38. [Google Scholar] [CrossRef]
- Zhao, W.; Ma, N.; Wang, S.; Mo, Y.; Zhang, Z.; Huang, G.; Midorikawa, K.; Hiraku, Y.; Oikawa, S.; Murata, M.; et al. RERG suppresses cell proliferation, migration and angiogenesis through ERK/NF-κB signaling pathway in nasopharyngeal carcinoma. J. Exp. Clin. Cancer Res. 2017, 36, 1–15. [Google Scholar] [CrossRef]
- Xu, Y.; Zhao, W.; Mo, Y.; Ma, N.; Midorikawa, K.; Kobayashi, H.; Hiraku, Y.; Oikawa, S.; Zhang, Z.; Huang, G.; et al. Combination of RERG and ZNF671 methylation rates in circulating cell-free DNA: A novel biomarker for screening of nasopharyngeal carcinoma. Cancer Sci. 2020, 111, 2536–2545. [Google Scholar] [CrossRef]
- Xiong, Y.; Huang, H.; Chen, S.; Dai, H.; Zhang, L. ERK5‑regulated RERG expression promotes cancer progression in prostatic carcinoma. Oncol. Rep. 2018, 41, 1160–1168. [Google Scholar]
- Habashy, H.O.; Powe, D.G.; Glaab, E.; Ball, G.; Spiteri, I.; Krasnogor, N.; Garibaldi, J.M.; Rakha, E.A.; Green, A.R.; Caldas, C.; et al. RERG (Ras-like, oestrogen-regulated, growth-inhibitor) expression in breast cancer: A marker of ER-positive luminal-like subtype. Breast Cancer Res. Treat. 2011, 128, 315–326. [Google Scholar] [CrossRef]
- Zhao, C.; Putnik, G.D.; Gustafsson, J.A.; Dahlman-Wright, K. Microarray analysis of altered gene expression in ERβ-overexpressing HEK293 cells. Endocrine 2009, 36, 224–232. [Google Scholar] [CrossRef] [PubMed]
- Manente, A.G.; Valenti, D.A.; Pinton, G.; Jithesh, P.V.; Daga, A.S.; Rossi, L.; Gray, S.G.; Obyrne, K.J.; Fennell, D.A.; Vacca, R.A.; et al. Estrogen receptor β activation impairs mitochondrial oxidative metabolism and affects malignant mesothelioma cell growth in vitro and in vivo. Oncogenesis 2013, 2, e72. [Google Scholar] [CrossRef] [PubMed]
- Bueno, R.; Stawiski, E.W.; Goldstein, L.D.; Durinck, S.; De Rienzo, A.; Modrusan, Z.; Gnad, F.; Nguyen, T.T.; Jaiswal, B.S.; Chirieac, L.R.; et al. Comprehensive genomic analysis of malignant pleural mesothelioma identifies recurrent mutations, gene fusions and splicing alterations. Nat. Genet. 2016, 48, 407–416. [Google Scholar] [CrossRef] [PubMed]
- Bol, G.M.; Vesuna, F.; Xie, M.; Zeng, J.; Aziz, K.; Gandhi, N.; Levine, A.; Irving, A.; Korz, D.; Tantravedi, S.; et al. Targeting DDX 3 with a small molecule inhibitor for lung cancer therapy. EMBO Mol. Med. 2015, 7, 648–669. [Google Scholar] [CrossRef] [PubMed]
- Severson, D.T.; De Rienzo, A.; Bueno, R. Mesothelioma in the age of “Omics”: Before and after The Cancer Genome Atlas. J. Thorac. Cardiovasc. Surg. 2020, 160, 1078–1083.e2. [Google Scholar] [CrossRef] [PubMed]
- Liu, Y.; Beyer, A.; Aebersold, R. On the Dependency of Cellular Protein Levels on mRNA Abundance. Cell 2016, 165, 535–550. [Google Scholar] [CrossRef]
- Law, C.W.; Chen, Y.; Shi, W.; Smyth, G.K. voom: Precision weights unlock linear model analysis tools for RNA-seq read counts. Genome Biol. 2014, 15, R29. [Google Scholar] [CrossRef]
- Shi, L.; Reid, L.H.; Jones, W.D.; Shippy, R.; Warrington, J.A.; Baker, S.C.; Collins, P.J.; de Longueville, F.; Kawasaki, E.S.; Lee, K.Y.; et al. The MicroArray Quality Control (MAQC) project shows inter- and intraplatform reproducibility of gene expression measurements. Nat. Biotechnol. 2006, 24, 1151–1161. [Google Scholar]
- Phipson, B.; Lee, S.; Majewski, I.J.; Alexander, W.S.; Smyth, G.K. Robust hyperparameter estimation protects against hypervariable genes and improves power to detect differential expression. Ann. Appl. Stat. 2016, 10, 946–963. [Google Scholar] [CrossRef]
- Ritchie, M.E.; Phipson, B.; Wu, D.; Hu, Y.; Law, C.W.; Shi, W.; Smyth, G.K. limma powers differential expression analyses for RNA-sequencing and microarray studies. Nucleic Acids Res. 2015, 43, e47. [Google Scholar] [CrossRef]
- Hochberg, Y.; Benjamini, Y. More powerful procedures for multiple significance testing. Stat. Med. 1990, 9, 811–818. [Google Scholar] [CrossRef] [PubMed]




| ProbeID | Gene | Mean | Variance | CV^2 * | Microarray |
|---|---|---|---|---|---|
| GE87411 | RERG | 45.00 | 832.24 | 0.41 | Codelink |
| GE81045 | PARP1 | 101.99 | 517.95 | 0.05 | Codelink |
| GE56173 | LEF1 | 11.21 | 156.55 | 1.25 | Codelink |
| GE88499 | FUS | 2.13 | 83.90 | 18.42 | Codelink |
| GE80030 | ACTN4 | 17.44 | 68.11 | 0.22 | Codelink |
| GE80030 | FUS | 17.44 | 68.11 | 0.22 | Codelink |
| GE818783 | TRIP4 | 26.36 | 53.05 | 0.08 | Codelink |
| GE62204 | NKX3-1 | 11.50 | 49.68 | 0.38 | Codelink |
| GE695752 | RERG | 7.47 | 39.00 | 0.70 | Codelink |
| GE54705 | SRC | 23.38 | 29.39 | 0.05 | Codelink |
| ILMN_20678 | TACC1 | 63.80 | 508.09 | 0.12 | Sentrix |
| ILMN_12963 | WBP2 | 70.78 | 412.02 | 0.08 | Sentrix |
| ILMN_12434 | RERG | 20.61 | 248.54 | 0.59 | Sentrix |
| ILMN_3056 | PARP1 | 40.17 | 202.99 | 0.13 | Sentrix |
| ILMN_2259 | CNOT1 | 28.51 | 93.19 | 0.11 | Sentrix |
| ILMN_15515 | PHB2 | 19.11 | 45.92 | 0.13 | Sentrix |
| ILMN_137682 | CTNNB1 | 12.80 | 29.96 | 0.18 | Sentrix |
| ILMN_11329 | TAF10 | 22.98 | 27.66 | 0.05 | Sentrix |
| ILMN_4339 | NRIP1 | 13.43 | 19.14 | 0.11 | Sentrix |
| ILMN_20599 | NCOA6 | 16.16 | 15.07 | 0.06 | Sentrix |
| Sentrix | CodeLink | Affymetrix | |
|---|---|---|---|
| Evaluable for analysis | 39 | 44 | 129 |
| Alive at last follow-up | 0 | 1 | 12 |
| Sample Collection (years) | 2002–2006 | 2001–2006 | 1992–2009 |
| Age at surgery, years | |||
| Median (range) | 62 (38–75) | 61 (37–80) | 57 (17–74) |
| Sex | |||
| Male | 34 | 28 | 63 |
| Female | 5 | 16 | 66 |
| Histologic subtype | |||
| Epithelioid | 25 | 23 | 129 |
| Biphasic | 8 | 19 | |
| Sarcomatoid/Desmoplastic | 6 | 2 | |
| Nodal Stage | |||
| N0 | 19 | 16 | 39 |
| N1–N3 | 16 | 21 | 90 |
| Nx | 4 | 7 | |
| Self-reported asbestos exposure | |||
| Yes | 24 | 24 | 76 |
| No | 11 | 11 | 43 |
| Unknown | 4 | 9 | 10 |
| Neoadjuvant Chemotherapy | |||
| Yes | 6 | 5 | 16 |
| No | 33 | 39 | 113 |
| Adjuvant Chemotherapy | |||
| Yes | 18 | 24 | 56 |
| No | 18 | 17 | 57 |
| Unknown | 3 | 3 | 16 |
| Adjuvant Radiation Therapy | |||
| Yes | 14 | 18 | 60 |
| No | 22 | 23 | 52 |
| Unknown | 3 | 3 | 17 |
| Surgical procedure | |||
| Extrapleural Pneumonectomy | 39 | 31 | 129 |
| Pleurectomy/Decortication | 6 | ||
| Extended Pleurectomy/Decortication | 3 | ||
| Partial Pleurectomy/Decortication | 4 |
Publisher’s Note: MDPI stays neutral with regard to jurisdictional claims in published maps and institutional affiliations. |
© 2021 by the authors. Licensee MDPI, Basel, Switzerland. This article is an open access article distributed under the terms and conditions of the Creative Commons Attribution (CC BY) license (http://creativecommons.org/licenses/by/4.0/).
Share and Cite
De Rienzo, A.; Coleman, M.H.; Yeap, B.Y.; Severson, D.T.; Wadowski, B.; Gustafson, C.E.; Jensen, R.V.; Chirieac, L.R.; Richards, W.G.; Bueno, R. Association of RERG Expression with Female Survival Advantage in Malignant Pleural Mesothelioma. Cancers 2021, 13, 565. https://doi.org/10.3390/cancers13030565
De Rienzo A, Coleman MH, Yeap BY, Severson DT, Wadowski B, Gustafson CE, Jensen RV, Chirieac LR, Richards WG, Bueno R. Association of RERG Expression with Female Survival Advantage in Malignant Pleural Mesothelioma. Cancers. 2021; 13(3):565. https://doi.org/10.3390/cancers13030565
Chicago/Turabian StyleDe Rienzo, Assunta, Melissa H. Coleman, Beow Y. Yeap, David T. Severson, Benjamin Wadowski, Corinne E. Gustafson, Roderick V. Jensen, Lucian R. Chirieac, William G. Richards, and Raphael Bueno. 2021. "Association of RERG Expression with Female Survival Advantage in Malignant Pleural Mesothelioma" Cancers 13, no. 3: 565. https://doi.org/10.3390/cancers13030565
APA StyleDe Rienzo, A., Coleman, M. H., Yeap, B. Y., Severson, D. T., Wadowski, B., Gustafson, C. E., Jensen, R. V., Chirieac, L. R., Richards, W. G., & Bueno, R. (2021). Association of RERG Expression with Female Survival Advantage in Malignant Pleural Mesothelioma. Cancers, 13(3), 565. https://doi.org/10.3390/cancers13030565

