The Impact of SARS-CoV-2 Pandemic on Time to Primary, Secondary Resection and Adjuvant Intravesical Therapy in Patients with High-Risk Non-Muscle Invasive Bladder Cancer: A Retrospective Multi-Institutional Cohort Analysis
Abstract
:Simple Summary
Abstract
1. Introduction
2. Materials and Methods
2.1. Study Design and Eligibility Criteria
2.2. Statistical Analysis
3. Results
3.1. Study Cohort Characteristics
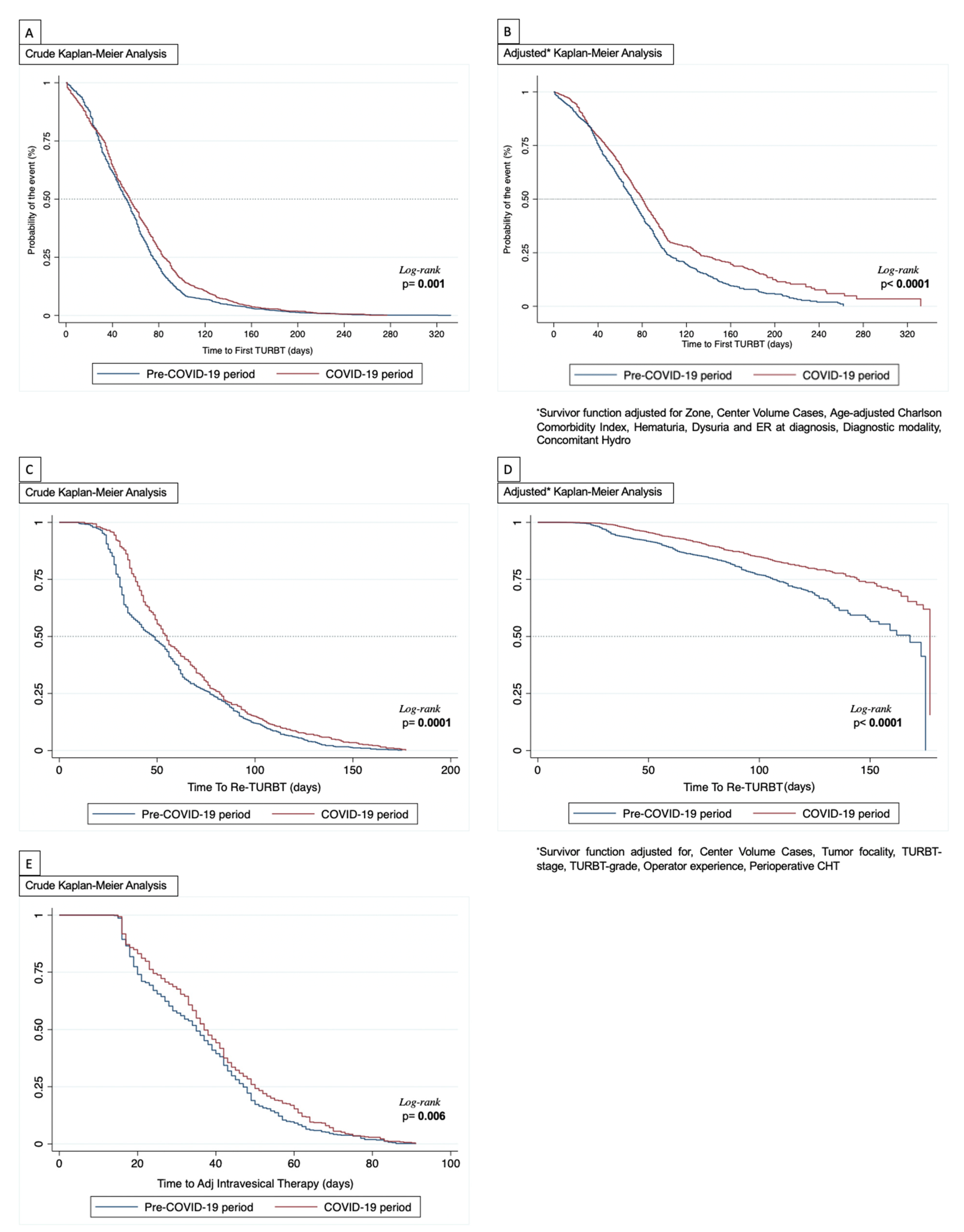
3.2. Time from Diagnosis to Primary TURBT
3.3. Time from TURBT to Secondary Resection (Re-TURBT)
3.4. Time from TURBT/Re-TURBT to Adjuvant Intravesical Therapy
4. Discussion
5. Limitations of the Study
6. Future Perspectives
7. Conclusions
Author Contributions
Funding
Institutional Review Board Statement
Informed Consent Statement
Data Availability Statement
Acknowledgments
Conflicts of Interest
References
- Siegel, R.L.; Miller, K.D.; Fuchs, H.E.; Jemal, A. Cancer Statistics, 2021. CA A Cancer J. Clin. 2021, 71, 7–33. [Google Scholar] [CrossRef] [PubMed]
- Sung, H.; Ferlay, J.; Siegel, R.L.; Laversanne, M.; Soerjomataram, I.; Jemal, A.; Bray, F. Global Cancer Statistics 2020: GLOBOCAN Estimates of Incidence and Mortality Worldwide for 36 Cancers in 185 Countries. CA Cancer J. Clin. 2021, 71, 209–249. [Google Scholar] [CrossRef]
- Bourgade, V.; Drouin, S.J.; Yates, D.R.; Parra, J.; Bitker, M.O.; Cussenot, O.; Rouprêt, M. Impact of the length of time between diagnosis and surgical removal of urologic neoplasms on survival. World J. Urol. 2014, 32, 475–479. [Google Scholar] [CrossRef]
- Dong, M.; Zhang, X.; Yang, K.; Liu, R.; Chen, P. Forecasting the COVID-19 transmission in Italy based on the minimum spanning tree of dynamic region network. PeerJ 2021, 9, e11603. [Google Scholar] [CrossRef] [PubMed]
- Panarello, D.; Tassinari, G. One year of COVID-19 in Italy: Are containment policies enough to shape the pandemic pattern? Socioecon. Plann. Sci. 2021, 101120. [Google Scholar] [CrossRef]
- Ficarra, V.; Novara, G.; Abrate, A.; Bartoletti, R.; Crestani, A.; De Nunzio, C.; Giannarini, G.; Gregori, A.; Liguori, G.; Mirone, V.; et al. Urology practice during the COVID-19 pandemic. Minerva Urol. Nefrol. 2020, 72, 369–375. [Google Scholar] [CrossRef] [PubMed]
- Busetto, G.M.; Del Giudice, F.; Mari, A.; Sperduti, I.; Longo, N.; Antonelli, A.; Cerruto, M.A.; Costantini, E.; Carini, M.; Minervini, A.; et al. How Can the COVID-19 Pandemic Lead to Positive Changes in Urology Residency? Front. Surg. 2020, 7, 563006. [Google Scholar] [CrossRef]
- Di Lorenzo, G.; Buonerba, L.; Ingenito, C.; Crocetto, F.; Buonerba, C.; Libroia, A.; Sciarra, A.; Ragone, G.; Sanseverino, R.; Iaccarino, S.; et al. Clinical Characteristics of Metastatic Prostate Cancer Patients Infected with COVID-19 in South Italy. Oncology 2020, 98, 743–747. [Google Scholar] [CrossRef]
- Esposito, C.; Masieri, L.; Castagnetti, M.; Crocetto, F.; Escolino, M. Letter to the Editor: Robot-Assisted and Minimally Invasive Pediatric Surgery and Urology During the COVID-19 Pandemic: A Short Literature Review. J. Laparoendosc. Adv. Surg. Tech. A 2020, 30, 915–918. [Google Scholar] [CrossRef]
- Rajwa, P.; Przydacz, M.; Krajewski, W.; Kuffel, B.; Zapala, P.; Krzywon, A.; Cortez, A.J.; Dybowski, B.; Stamirowski, R.; Jarzemski, M.; et al. Changing patterns of urologic emergency visits and admissions during the COVID-19 pandemic: A retrospective, multicenter, nationwide study. Arch. Med. Sci. 2021, 17, 1262–1276. [Google Scholar] [CrossRef]
- Zhang, J.; Wang, Y.; Weng, H.; Wang, D.; Han, F.; Huang, Q.; Deng, T.; Wang, X.; Jin, Y. Management of non-muscle-invasive bladder cancer: Quality of clinical practice guidelines and variations in recommendations. BMC Cancer 2019, 19, 1054. [Google Scholar] [CrossRef] [Green Version]
- Babjuk, M.; Burger, M.; Compérat, E.M.; Gontero, P.; Mostafid, A.H.; Palou, J.; van Rhijn, B.W.G.; Rouprêt, M.; Shariat, S.F.; Sylvester, R.; et al. European Association of Urology Guidelines on Non-muscle-invasive Bladder Cancer (TaT1 and Carcinoma In Situ)—2019 Update. Eur. Urol. 2019, 76, 639–657. [Google Scholar] [CrossRef] [PubMed]
- Canadian Surgical Wait Times (SWAT) Initiative. Consensus document: Recommendations for optimal surgical wait times for patients with urological malignancies. Can J. Urol. 2006, 13 (Suppl. 3), 62–64. [Google Scholar]
- Rouprêt, M.; Babjuk, M.; Burger, M.; Capoun, O.; Cohen, D.; Compérat, E.M.; Cowan, N.C.; Dominguez-Escrig, J.L.; Gontero, P.; Mostafid, A.H. European Association of Urology guidelines on upper urinary tract urothelial carcinoma: 2020 update. Eur. Urol. 2021, 79, 62–79. [Google Scholar] [CrossRef]
- Ferro, M.; Vartolomei, M.D.; Cantiello, F.; Lucarelli, G.; Di Stasi, S.M.; Hurle, R.; Guazzoni, G.; Busetto, G.M.; De Berardinis, E.; Damiano, R.; et al. High-Grade T1 on Re-Transurethral Resection after Initial High-Grade T1 Confers Worse Oncological Outcomes: Results of a Multi-Institutional Study. Urol. Int. 2018, 101, 7–15. [Google Scholar] [CrossRef]
- Oddens, J.; Brausi, M.; Sylvester, R.; Bono, A.; van de Beek, C.; van Andel, G.; Gontero, P.; Hoeltl, W.; Turkeri, L.; Marreaud, S.; et al. Final results of an EORTC-GU cancers group randomized study of maintenance bacillus Calmette-Guérin in intermediate- and high-risk Ta, T1 papillary carcinoma of the urinary bladder: One-third dose versus full dose and 1 year versus 3 years of maintenance. Eur. Urol. 2013, 63, 462–472. [Google Scholar] [CrossRef] [PubMed]
- Babjuk, M.; Böhle, A.; Burger, M.; Capoun, O.; Cohen, D.; Compérat, E.M.; Hernández, V.; Kaasinen, E.; Palou, J.; Rouprêt, M.; et al. EAU Guidelines on Non-Muscle-invasive Urothelial Carcinoma of the Bladder: Update 2016. Eur. Urol. 2017, 71, 447–461. [Google Scholar] [CrossRef]
- Jocham, D. Implementation of clinical urological studies and therapy trials using GCP (good clinical practice) guidelines. Urol. A 1994, 33, 532–535. [Google Scholar]
- Assel, M.; Sjoberg, D.; Elders, A.; Wang, X.; Huo, D.; Botchway, A.; Delfino, K.; Fan, Y.; Zhao, Z.; Koyama, T.; et al. Guidelines for reporting of statistics for clinical research in urology. BJU Int. 2019, 123, 401–410. [Google Scholar] [CrossRef] [Green Version]
- Ribal, M.J.; Cornford, P.; Briganti, A.; Knoll, T.; Gravas, S.; Babjuk, M.; Harding, C.; Breda, A.; Bex, A.; Rassweiler, J.J. European Association of Urology Guidelines Office Rapid Reaction Group: An organisation-wide collaborative effort to adapt the European Association of Urology guidelines recommendations to the coronavirus disease 2019 era. Eur. Urol. 2020, 78, 21–28. [Google Scholar] [CrossRef]
- Mottrie, A. ERUS (EAU Robotic Urology Section) guidelines during COVID-19 emergency. Eur. Urol. 2020, 25, 1–6. [Google Scholar]
- Mielczarek, Ł.; Zapała, P.; Krajewski, W.; Nowak, Ł.; Bajkowski, M.; Szost, P.; Szabłoński, W.; Zapała, Ł.; Poletajew, S.; Dybowski, B.; et al. Diagnostic and treatment delays among patients with primary bladder cancer in Poland: A survey study. Cent. Eur. J. Urol. 2020, 73, 152–159. [Google Scholar] [CrossRef]
- Wallace, D.; Bryan, R.; Dunn, J.; Begum, G.; Bathers, S.; Group, W.M.U.R. Delay and survival in bladder cancer. BJU Int. 2002, 89, 868–878. [Google Scholar] [CrossRef]
- Roscigno, M.; Naspro, R.; Piccichè, A.; Muttin, F.; Angiolilli, D.; Deiana, G.; Pezzoli, F.; Da Pozzo, L.F. A Snapshot from the Department of Urology in Bergamo Evaluating the Timeline of the SARS-CoV-2 Outbreak: Which Patients Are We Missing? Eur. Urol. Focus 2020, 6, 1120–1123. [Google Scholar] [CrossRef]
- Naspro, R.; Da Pozzo, L.F. Urology in the time of corona. Nat. Rev. Urol. 2020, 17, 251–253. [Google Scholar] [CrossRef] [PubMed]
- Mistretta, F.A.; Luzzago, S.; Molendini, L.O.; Ferro, M.; Dossena, E.; Mastrilli, F.; Musi, G.; de Cobelli, O. A guide for oncologic patient management during Covid-19 pandemic: The initial experience of an Italian oncologic hub with exemplificative focus on uro-oncologic patients. Cancers 2020, 12, 1513. [Google Scholar] [CrossRef]
- Fankhauser, C.D.; Teoh, J.Y.; Mostafid, H. Treatment options and results of adjuvant treatment in nonmuscle-invasive bladder cancer (NMIBC) during the Bacillus Calmette-Guérin shortage. Curr. Opin. Urol. 2020, 30, 365–369. [Google Scholar] [CrossRef]
- Schmidt, A.L.; Bakouny, Z.; Bhalla, S.; Steinharter, J.A.; Tremblay, D.A.; Awad, M.M.; Kessler, A.J.; Haddad, R.I.; Evans, M.; Busser, F.; et al. Cancer Care Disparities during the COVID-19 Pandemic: COVID-19 and Cancer Outcomes Study. Cancer Cell 2020, 38, 769–770. [Google Scholar] [CrossRef] [PubMed]
- Metzger, K.; Mrosek, J.; Zittel, S.; Pilz, M.; Held, T.; Adeberg, S.; Ristow, O.; Hoffmann, J.; Engel, M.; Freudlsperger, C.; et al. Treatment delay and tumor size in patients with oral cancer during the first year of the COVID-19 pandemic. Head Neck 2021, 43, 3493–3497. [Google Scholar] [CrossRef]
- Dhada, S.; Stewart, D.; Cheema, E.; Hadi, M.A.; Paudyal, V. Cancer services during the COVID-19 pandemic: Systematic review of patients’ and caregivers’ experiences. medRxiv 2021, 13, 5875–5887. [Google Scholar] [CrossRef]
- Torreggiani, A.; Colombo, R.; Gontero, P.; Lapini, A.; Sanseverino, R.; Serretta, V. Clinical practice and adherence to the diagnosis and treatment of NMIBC guidelines: A report of a recognition based clinical cases study. Urologia 2015, 82, 58–70. [Google Scholar] [CrossRef] [PubMed]
- Panebianco, V.; Del Giudice, F.; Leonardo, C.; Sciarra, A.; Catalano, C.; Catto, J.W.F. VI-RADS Scoring Criteria for Alternative Risk-adapted Strategies in the Management of Bladder Cancer During the COVID-19 Pandemic. Eur. Urol. 2020, 78, e18–e20. [Google Scholar] [CrossRef] [PubMed]
- Ng, K.; Vinnakota, K.; Sharma, A.; Kelly, J.; Dasgupta, P.; Vasdev, N. Urinary biomarkers to mitigate diagnostic delay in bladder cancer during the COVID-19 era. Nat. Rev. Urol. 2021, 18, 185–187. [Google Scholar] [CrossRef]
- Ferro, M.; La Civita, E.; Liotti, A.; Cennamo, M.; Tortora, F.; Buonerba, C.; Crocetto, F.; Lucarelli, G.; Busetto, G.M.; Del Giudice, F. Liquid Biopsy Biomarkers in Urine: A Route towards Molecular Diagnosis and Personalized Medicine of Bladder Cancer. J. Pers. Med. 2021, 11, 237. [Google Scholar] [CrossRef] [PubMed]


| Primary TURBT Demographic and Clinic-Pathological Features | |||||
|---|---|---|---|---|---|
| Variables | Pre-Covid-19 Period | % | Covid-19 Period | % | p-Value |
| Sample size, n (%) | 1535 | 59.2 | 1056 | 40.8 | |
| Regions of provenience, n (%) | <0.0001 | ||||
| Northern Italy | 778 | 50.7 | 478 | 45.3 | |
| Central Italy | 380 | 24.8 | 351 | 33.2 | |
| Southern Italy | 377 | 24.6 | 227 | 21.5 | |
| Center volume case, quartiles | <0.0001 | ||||
| 1st quartile | 134 | 8.7 | 72 | 6.8 | |
| 2nd quartile | 211 | 13.7 | 189 | 17.9 | |
| 3rd quartile | 280 | 18.2 | 267 | 25.3 | |
| 4th quartile | 910 | 59.3 | 528 | 50.0 | |
| Median age, years (IQR) | 74 (68–81) | 74 (66–81) | 0.247 | ||
| Gender, n (%) | 0.429 | ||||
| Male | 1222 | 79.6 | 854 | 80.9 | |
| Female | 313 | 20.4 | 202 | 19.1 | |
| Smoking status, n (%) | 0.001 | ||||
| Never | 629 | 41.0 | 450 | 42.6 | |
| Active | 860 | 56.0 | 599 | 56.7 | |
| Former | 46 | 3.0 | 7 | 0.7 | |
| ACCI score, n (%) | 0.011 | ||||
| 0–2 | 504 | 32.8 | 297 | 28.1 | |
| ≥3 | 1031 | 67.2 | 759 | 71.9 | |
| Hematuria at diagnosis, n (%) | 0.539 | ||||
| No | 509 | 33.2 | 338 | 32.0 | |
| Yes | 1026 | 66.8 | 718 | 68.0 | |
| Dysuria at diagnosis, n (%) | 0.001 | ||||
| No | 1132 | 73.7 | 837 | 79.3 | |
| Yes | 403 | 26.3 | 219 | 20.7 | |
| ER access at diagnosis, n (%) | 0.086 | ||||
| No | 1310 | 85.3 | 874 | 82.8 | |
| Yes | 225 | 14.7 | 182 | 17.2 | |
| Diagnosis modality, n (%) | <0.0001 | ||||
| Ultrasound | 781 | 50.9 | 517 | 49.0 | |
| CT scan | 172 | 11.2 | 143 | 13.5 | |
| Cystoscopy | 446 | 29.1 | 361 | 34.2 | |
| All combined | 136 | 8.9 | 35 | 3.3 | |
| Urinary cytology, n (%) | 0.432 | ||||
| Not performed | 925 | 60.3 | 663 | 62.8 | |
| Negative for TCC | 239 | 15.6 | 154 | 14.6 | |
| Positive for TCC | 371 | 24.2 | 239 | 22.6 | |
| Diagnostic tumor findings | |||||
| Tumor focality, n (%) | 0.478 | ||||
| Unifocal | 885 | 57.7 | 594 | 56.3 | |
| Multifocal | 650 | 42.3 | 462 | 43.8 | |
| Ureteral orifice involvement, n (%) | 0.034 | ||||
| No | 1463 | 95.3 | 1024 | 97.0 | |
| Yes | 72 | 4.7 | 32 | 3.0 | |
| Concomitant Hydronephrosis, n (%) | 0.359 | ||||
| No | 1411 | 91.9 | 981 | 92.9 | |
| Yes | 124 | 8.1 | 75 | 7.1 | |
| Concomitant UTUC, n (%) | 0.003 | ||||
| No | 1463 | 95.3 | 1030 | 97.5 | |
| Yes | 72 | 4.7 | 26 | 2.5 | |
| Perioperative characteristics | |||||
| Median time from diagnosis to TURBT, days (IQR) | 52 (29–75) | 65 (33–84) | 0.002 | ||
| Tumor size, n (%) | 0.469 | ||||
| <3 cm | 1136 | 74.0 | 768 | 72.7 | |
| ≥3 cm | 399 | 26.0 | 288 | 27.3 | |
| Tumor T stage, n (%) | 0.105 | ||||
| T0/Tx | 48 | 3.1 | 40 | 3.8 | |
| Ta | 625 | 40.7 | 434 | 41.1 | |
| T1 | 776 | 50.6 | 516 | 48.9 | |
| ≥T2 | 35 | 2.3 | 40 | 3.8 | |
| Tis | 51 | 3.3 | 26 | 2.5 | |
| Detrusor in the specimen, n (%) | 0.136 | ||||
| Present | 1162 | 75.7 | 826 | 78.2 | |
| Absent | 373 | 24.3 | 230 | 21.8 | |
| Tumor histology, n (%) | 0.563 | ||||
| TCC | 1476 | 96.2 | 1020 | 96.6 | |
| Other | 59 | 3.8 | 36 | 3.4 | |
| CIS, n (%) | 0.376 | ||||
| Absent | 1380 | 89.9 | 964 | 91.3 | |
| Pure CIS | 51 | 3.3 | 26 | 2.5 | |
| Concomitant CIS | 104 | 6.8 | 66 | 6.3 | |
| LVI, n (%) | 0.058 | ||||
| Absent | 1465 | 95.4 | 990 | 93.8 | |
| Present | 70 | 4.6 | 66 | 6.3 | |
| Operator experience, n (%) | 0.347 | ||||
| ≥100 TURBTs | 1251 | 81.5 | 845 | 80.0 | |
| <100 TURBTs | 284 | 18.5 | 211 | 20.0 | |
| Perioperative intravesical CHT, n (%) | 0.007 | ||||
| None | 1485 | 96.7 | 1008 | 95.5 | |
| Mitomycin-C | 26 | 1.7 | 37 | 3.5 | |
| Epirubicin | 24 | 1.6 | 11 | 1.0 | |
| Re-TURBT Demographic and Clinic-Pathological Features | |||||
|---|---|---|---|---|---|
| Variables | Pre-COVID-19 Period | % | COVID-19 Period | % | p Value |
| Sample size, n (%) | 604 | 56.7 | 462 | 43.3 | |
| Regions of provenience, n (%) | 0.015 | ||||
| Northern Italy | 283 | 46.9 | 223 | 48.3 | |
| Central Italy | 76 | 12.6 | 83 | 18.0 | |
| Southern Italy | 245 | 40.6 | 156 | 33.8 | |
| Center case volume, quartiles | <0.0001 | ||||
| 1st quartile | 65 | 10.8 | 25 | 5.4 | |
| 2nd quartile | 52 | 8.6 | 40 | 8.7 | |
| 3rd quartile | 85 | 14.1 | 146 | 31.6 | |
| 4th quartile | 402 | 66.6 | 251 | 54.3 | |
| Median age, years (IQR) | 74 (65–80) | 74 (67–80) | 0.332 | ||
| Gender, n (%) | 0.621 | ||||
| Male | 495 | 82.0 | 384 | 83.1 | |
| Female | 109 | 18.0 | 78 | 16.9 | |
| ACCI score, n (%) | 0.567 | ||||
| Perioperative features, n (%) | |||||
| Median time to Re-TURBT, days (IQR) | 48 (31–77) | 55 (39–82) | <0.0001 | ||
| Re-TURBT T stage, n (%) | 0.714 | ||||
| T0/Tx | 352 | 58.3 | 258 | 55.8 | |
| Ta | 103 | 17.1 | 81 | 17.5 | |
| T1 | 86 | 14.2 | 76 | 16.5 | |
| ≥T2 | 23 | 3.8 | 13 | 2.8 | |
| Tis | 40 | 6.6 | 34 | 7.4 | |
| Tumor Grade (WHO 2004), n (%) | 0.100 | ||||
| Negative | 354 | 58.6 | 258 | 55.8 | |
| LG | 56 | 9.3 | 31 | 6.7 | |
| HG | 194 | 32.1 | 173 | 37.4 | |
| CIS, n (%) | 0.399 | ||||
| Not applicable | 515 | 85.3 | 381 | 82.5 | |
| Pure CIS | 49 | 8.1 | 48 | 10.4 | |
| Concomitant CIS | 40 | 6.6 | 33 | 7.1 | |
| Operator experience, n (%) | 0.264 | ||||
| ≥100 TURBTs | 134 | 22.2 | 116 | 25.1 | |
| <100 TURBTs | 470 | 77.8 | 346 | 74.9 | |
| Adjuvant Intravesical Therapy Demographic and Treatment Schedule | |||||
|---|---|---|---|---|---|
| Variables | Pre-COVID-19 Period | % | COVID-19 Period | % | p Value |
| Sample size, n (%) | 527 | 53.9 | 450 | 46.1 | |
| Regions of provenience, n (%) | <0.0001 | ||||
| Northern Italy | 298 | 56.5 | 220 | 48.9 | |
| Central Italy | 44 | 8.3 | 113 | 25.1 | |
| Southern Italy | 185 | 35.1 | 117 | 26.0 | |
| Center case volume, quartiles | <0.0001 | ||||
| 1st quartile | 34 | 6.5 | 37 | 8.2 | |
| 2nd quartile | 33 | 6.3 | 44 | 9.8 | |
| 3rd quartile | 46 | 8.7 | 124 | 27.6 | |
| 4th quartile | 414 | 78.6 | 245 | 54.4 | |
| Median age, years (IQR) | 74 (68–80) | 73 (65–79) | 0.038 | ||
| Gender, n (%) | 0.209 | ||||
| Male | 429 | 81.4 | 380 | 84.4 | |
| Female | 98 | 18.6 | 70 | 15.6 | |
| ACCI score, n (%) | 0.276 | ||||
| 0–2 | |||||
| ≥3 | 382 | 72.5 | 340 | 75.6 | |
| Median time to Adj Intravesical Therapy, days (IQR) | 35 (20–47) | 37 (24–50) | |||
| Intravesical Drug, n (%) | 0.905 | ||||
| Mitomycin-C | 74 | 14.0 | 62 | 13.8 | |
| BCG | 453 | 86.0 | 388 | 86.2 | |
| Intravesical Adj schedule, n (%) | <0.0001 | ||||
| Only Induction | 94 | 17.8 | 143 | 31.8 | |
| Induction + Maintenance | 419 | 79.5 | 272 | 60.4 | |
| SWOG BCG maintenance, n (%) | <0.0001 | ||||
| 3 months | 27 | 5.1 | 53 | 11.8 | |
| 6 months | 49 | 9.3 | 44 | 9.8 | |
| 12 months | 131 | 24.9 | 19 | 4.2 | |
| >12 months | 139 | 26.4 | 65 | 14.4 | |
| Subgroups and/or Continuous Variables | Univariate Analysis | Multivariate Analysis | |||
|---|---|---|---|---|---|
| HR (95%CI) | p Value | HR (95%CI) | p Value | ||
| Region of provenience | Northern Italy | Ref | -- | ||
| Central Italy | 1.42 (0.87–2.37) | 0.63 | |||
| Southern Italy | 0.97 (0.66–1.85) | 0.54 | |||
| Center volume case | 1st quartile | Ref | -- | ||
| 2nd quartile | 0.70 (0.46–1.06) | 0.09 | |||
| 3rd quartile | 1.05 (0.75–1.49) | 0.77 | |||
| 4th quartile | 0.90 (0.65–1.24) | 0.53 | |||
| Age, years | Continuous | 1.01 (0.98–1.02) | 0.06 | ||
| Age, years | <70 | Ref | -- | ||
| ≥70 | 1.04 (0.88–1.23) | 0.66 | |||
| Gender | Male | Ref | -- | ||
| Female | 1.01 (0.83–1.22) | 0.94 | |||
| ACCI, score | 0–2 | Ref | -- | Ref | -- |
| ≥3 | 2.13 (1.72–2.56) | <0.0001 | 1.80 (1.44–2.26) | < 0.0001 | |
| Hematuria at diagnosis | No | Ref | -- | Ref | -- |
| Yes | 0.66 (0.56–0.78) | <0.0001 | 0.80 (0.66–0.97) | 0.023 | |
| Dysuria at diagnosis | No | Ref | -- | Ref | -- |
| Yes | 0.75 (0.63–0.90) | 0.002 | 0.87 (0.71–1.06) | 0.16 | |
| ER access at diagnosis | No | Ref | -- | Ref | -- |
| Yes | 0.68 (0.55–0.84) | 0.001 | 0.76 (0.59–0.97) | 0.029 | |
| Diagnosis modality | Ultrasound | Ref | -- | Ref | -- |
| CT scan | 1.38 (1.08–1.76) | 0.011 | 1.47 (0.78–1.94) | 0.19 | |
| Cystoscopy | 1.27 (1.07–1.52) | 0.008 | 1.33 (0.66–1.62) | 0.26 | |
| All combined | 2.51 (1.79–3.53) | < 0.0001 | 1.42 (0.74–2.73) | 0.292 | |
| Urinary cytology | Not performed | Ref | -- | ||
| Negative for TCC | 0.84 (0.67–1.04) | 0.112 | 1.28 (0.61–1.56) | 0.21 | |
| Positive for TCC | 0.49 (0.41–0.60) | <0.0001 | 0.55 (0.44–0.68) | < 0.0001 | |
| Tumor focality | Unifocal | Ref | -- | ||
| Multifocal | 0.93 (0.80–1.09) | 0.37 | |||
| Ureteral orifice involvement | No | Ref | -- | ||
| Yes | 1.19 (0.80–1.77) | 0.38 | |||
| Concomitant Hydronephrosis | No | Ref | -- | Ref | -- |
| Yes | 0.56 (0.42–0.76) | 0.001 | 0.69 (0.49–1.96) | 0.27 | |
| Concomitant UTUC | No | Ref | -- | ||
| Yes | 0.79 (0.52–1.18) | 0.24 | |||
| TURBT period | Pre-COVID-19 | Ref | -- | Ref | -- |
| COVID-19 | 1.32 (1.11–1.62) | 0.032 | 1.26 (1.06–1.51) | 0.01 | |
| Subgroups and/or Continuous Variables | Univariate Analysis | Multivariate Analysis | |||
|---|---|---|---|---|---|
| HR (95%CI) | p Value | HR (95%CI) | p Value | ||
| Region of provenience | Northern Italy | Ref | -- | ||
| Central Italy | 1.25 (0.86–1.83) | 0.25 | |||
| Southern Italy | 0.49 (0.11–2.19) | 0.59 | |||
| Center volume case, quartiles | 1st quartile | Ref | -- | Ref | -- |
| 2nd quartile | 1.43 (0.79–2.61) | 0.24 | 1.19 (0.61–2.11) | 0.34 | |
| 3rd quartile | 0.49 (0.29–0.81) | 0.006 | 0.58 (0.39–1.06) | 0.24 | |
| 4th quartile | 0.47 (0.30–0.74) | 0.001 | 0.64 (0.45–0.89) | 0.0013 | |
| ACCI, score | 0–2 | Ref | -- | ||
| ≥3 | 1.57 (2.23–1.11) | 0.001 | |||
| Tumor focality, n | Unifocal | Ref | -- | Ref | -- |
| Multifocal | 0.73 (0.57–0.93) | 0.01 | 0.75 (0.58–0.99) | 0.039 | |
| Tumor size, cm | <3 cm | Ref | -- | ||
| ≥3 cm | 1.26 (0.96–1.66) | 0.1 | |||
| Tumor stage TNM | Ta | Ref | -- | Ref | -- |
| T1 | 0.55 (0.42–0.72) | <0.0001 | 0.69 (0.51–0.93) | 0.017 | |
| Tis | 1.66 (0.67–4.13) | 0.273 | |||
| Tumor Grade, WHO 2004 | LG | Ref | -- | Ref | -- |
| HG | 0.22 (0.12–0.40) | <0.0001 | 0.25 (0.10–0.62) | <0.0001 | |
| Detrusor in the specimen | No | Ref | -- | ||
| Yes | 0.62 (0.46–0.84) | 0.002 | |||
| Tumor histology | TCC | Ref | -- | ||
| Other | 1.16 (0.59–2.30) | 0.67 | |||
| Concomitant CIS | No | Ref | -- | Ref | -- |
| Yes | 0.55 (0.37–0.83) | 0.005 | 0.71 (0.46–1.09) | 0.12 | |
| LVI | No | Ref | -- | ||
| Yes | 1.63 (0.92–2.90) | 0.1 | |||
| Operator experience | ≥100 TURBTs | Ref | -- | Ref | -- |
| <100 TURBTs | 1.63 (1.23–2.18) | 0.001 | 1.42 (1.04–1.95) | 0.028 | |
| Perioperative CHT | No | Ref | -- | Ref | -- |
| Yes | 3.36 (1.22–9.23) | 0.019 | 4.77 (1.57–14.50) | 0.006 | |
| Concomitant Hydronephrosis | No | Ref | -- | ||
| Yes | 0.98 (0.64–1.52) | 0.94 | |||
| Concomitant UTUC | No | Ref | -- | ||
| Yes | 1.21 (0.70–2.09) | 0.5 | |||
| Re-TURBT period | Pre-COVID-19 | Ref | -- | Ref | -- |
| COVID-19 | 1.32 (1.03–1.68) | 0.026 | 1.30 (1.05–1.71) | 0.036 | |
| Subgroups and/or Continuous Variables | Univariate Analysis | Multivariate Analysis | |||
|---|---|---|---|---|---|
| HR (95%CI) | p Value | HR (95%CI) | p Value | ||
| Region of provenience | Northern Italy | Ref | -- | ||
| Central Italy | 0.96 (0.66–1.41) | 0.85 | |||
| Southern Italy | 1.16 (0.55–1.28) | 0.72 | |||
| Center volume case, quartiles | 1st quartile | Ref | -- | Ref | -- |
| 2nd quartile | 0.71 (0.37–1.36) | 0.31 | 0.92 (0.42–1.99) | 0.83 | |
| 3rd quartile | 0.60 (0.30–0.92) | 0.034 | 1.03 (0.52–2.06) | 0.93 | |
| 4th quartile | 0.30 (0.17–1.54) | <0.0001 | 0.51 (0.28–0.94) | 0.03 | |
| ACCI, score | 0–2 | Ref | -- | ||
| ≥3 | 0.70 (0.49–1.02) | 0.063 | |||
| Adjuvant Intravesical Drug | Mitomycin-C | Ref | -- | Ref | -- |
| BCG | 0.25 (0.16–0.38) | <0.0001 | 0.37 (0.23–0.59) | <0.0001 | |
| Tumor stage at TURBT/Re-TUR | Ta | 0.88 (0.55–1.41) | 0.60 | ||
| T1 | 1.62 (1.00–2.63) | 0.05 | |||
| Tis | 1.60 (0.90–2.84) | 0.11 | |||
| Tumor Grade, WHO 2004 | LG | 0.92 (0.49–1.74) | 0.79 | ||
| HG | 1.43 (1.00–2.04) | 0.05 | |||
| Concomitant CIS at TURBT/Re-TUR | No | Ref | -- | ||
| Yes | 1.23 (0.57–2.62) | 0.60 | |||
| Adjuvant Intravesical period | Pre-COVID-19 | Ref | -- | Ref | -- |
| COVID-19 | 1.25 (0.97–1.61) | 0.008 | 1.11 (0.84–1.38) | 0.35 | |
Publisher’s Note: MDPI stays neutral with regard to jurisdictional claims in published maps and institutional affiliations. |
© 2021 by the authors. Licensee MDPI, Basel, Switzerland. This article is an open access article distributed under the terms and conditions of the Creative Commons Attribution (CC BY) license (https://creativecommons.org/licenses/by/4.0/).
Share and Cite
Ferro, M.; Del Giudice, F.; Carrieri, G.; Busetto, G.M.; Cormio, L.; Hurle, R.; Contieri, R.; Arcaniolo, D.; Sciarra, A.; Maggi, M.; et al. The Impact of SARS-CoV-2 Pandemic on Time to Primary, Secondary Resection and Adjuvant Intravesical Therapy in Patients with High-Risk Non-Muscle Invasive Bladder Cancer: A Retrospective Multi-Institutional Cohort Analysis. Cancers 2021, 13, 5276. https://doi.org/10.3390/cancers13215276
Ferro M, Del Giudice F, Carrieri G, Busetto GM, Cormio L, Hurle R, Contieri R, Arcaniolo D, Sciarra A, Maggi M, et al. The Impact of SARS-CoV-2 Pandemic on Time to Primary, Secondary Resection and Adjuvant Intravesical Therapy in Patients with High-Risk Non-Muscle Invasive Bladder Cancer: A Retrospective Multi-Institutional Cohort Analysis. Cancers. 2021; 13(21):5276. https://doi.org/10.3390/cancers13215276
Chicago/Turabian StyleFerro, Matteo, Francesco Del Giudice, Giuseppe Carrieri, Gian Maria Busetto, Luigi Cormio, Rodolfo Hurle, Roberto Contieri, Davide Arcaniolo, Alessandro Sciarra, Martina Maggi, and et al. 2021. "The Impact of SARS-CoV-2 Pandemic on Time to Primary, Secondary Resection and Adjuvant Intravesical Therapy in Patients with High-Risk Non-Muscle Invasive Bladder Cancer: A Retrospective Multi-Institutional Cohort Analysis" Cancers 13, no. 21: 5276. https://doi.org/10.3390/cancers13215276
APA StyleFerro, M., Del Giudice, F., Carrieri, G., Busetto, G. M., Cormio, L., Hurle, R., Contieri, R., Arcaniolo, D., Sciarra, A., Maggi, M., Porpiglia, F., Manfredi, M., Fiori, C., Antonelli, A., Tafuri, A., Bove, P., Terrone, C., Borghesi, M., Costantini, E., ... de Cobelli, O. (2021). The Impact of SARS-CoV-2 Pandemic on Time to Primary, Secondary Resection and Adjuvant Intravesical Therapy in Patients with High-Risk Non-Muscle Invasive Bladder Cancer: A Retrospective Multi-Institutional Cohort Analysis. Cancers, 13(21), 5276. https://doi.org/10.3390/cancers13215276

