Insulin Receptor in Pancreatic Cancer—Crown Witness in Cross Examination
Abstract
:Simple Summary
Abstract
1. Introduction
2. Materials and Methods
2.1. Study Population and Histology
2.2. Histology
2.3. Immunohistochemistry
2.4. Evaluation of CD31-Immunostaining
2.5. Evaluation of IR and IGF1R Immunostaining
2.6. Statistical Analyses
3. Results
3.1. Characteristics of the Study Population
3.2. Immunohistochemical Detection of IR and IGF1R in PDAC Tissues
3.3. Correlation of Insulin Receptor and IGF1 Receptor Expression in Cancer Cells and Vessels in PDAC Tissues
3.4. Correlation of Insulin Receptor Expression with Clinicopathological Patient Characteristics
3.5. Correlation of IGF1 Receptor Expression with Clinicopathological Patient Characteristics
3.6. Correlation of Diabetes and Insulin Receptor/IGF1 Receptor Expression in PDAC Patients
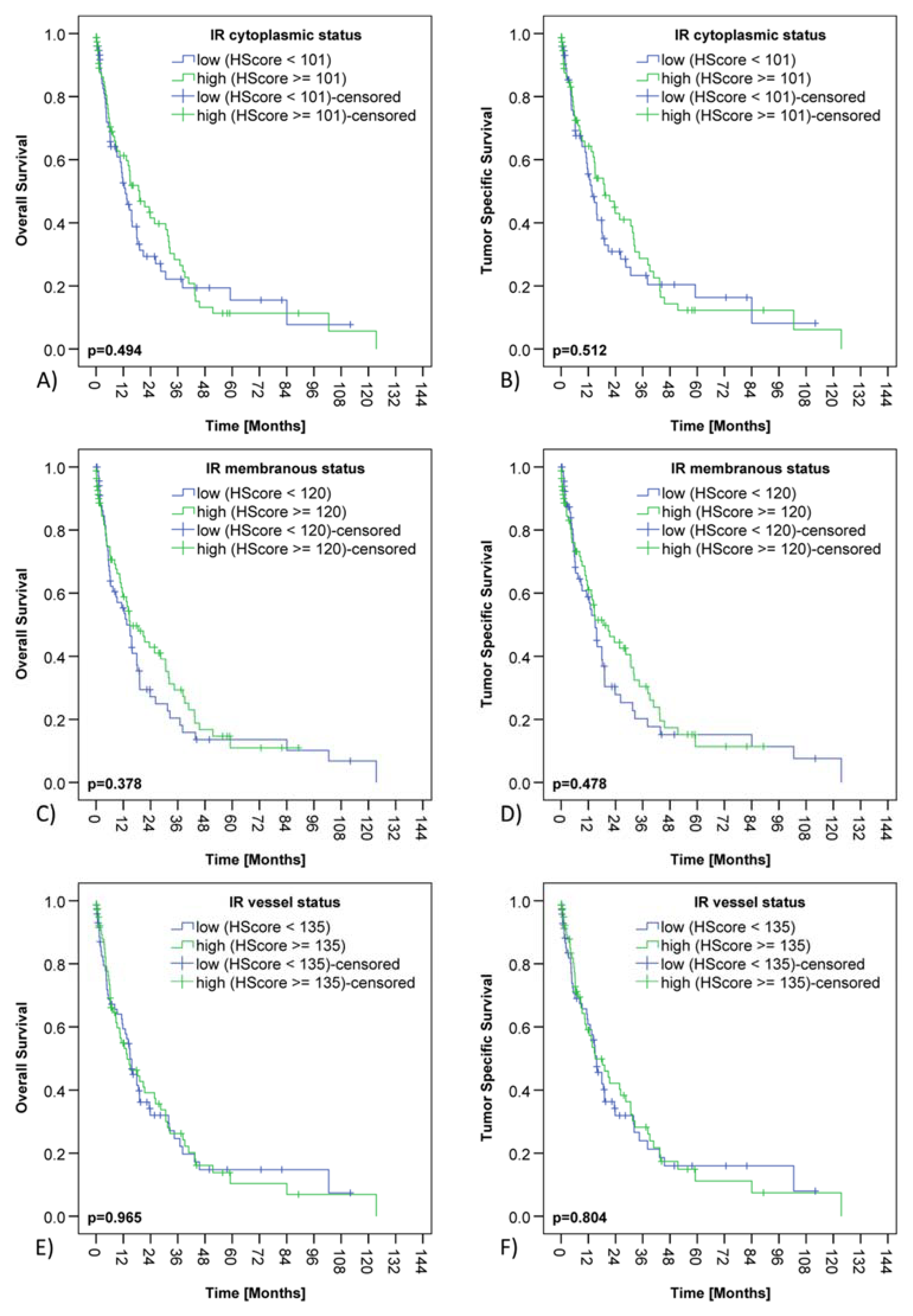
3.7. Survival Analysis
3.8. Insulin and IGF1 Receptor Expression in Pancreatic Intraepithelial Neoplasia (PanIN)
4. Discussion
5. Conclusions
Author Contributions
Funding
Institutional Review Board Statement
Informed Consent Statement
Data Availability Statement
Conflicts of Interest
References
- Ilic, M.; Ilic, I. Epidemiology of pancreatic cancer. World J. Gastroenterol. 2016, 22, 9694–9705. [Google Scholar] [CrossRef] [PubMed]
- Carrato, A.; Falcone, A.; Ducreux, M.; Valle, J.W.; Parnaby, A.; Djazouli, K.; Alnwick-Allu, K.; Hutchings, A.; Palaska, C.; Parthenaki, I. A Systematic Review of the Burden of Pancreatic Cancer in Europe: Real-World Impact on Survival, Quality of Life and Costs. J. Gastrointest. Cancer 2015, 46, 201–211. [Google Scholar] [CrossRef] [Green Version]
- Cascinu, S.; Falconi, M.; Valentini, V.; Jelic, S. Pancreatic cancer: ESMO Clinical Practice Guidelines for diagnosis, treatment and follow-up. Ann. Oncol. 2010, 21 (Suppl. 5), v55–v58. [Google Scholar] [CrossRef] [PubMed]
- Reichert, M.; Blume, K.; Kleger, A.; Hartmann, D.; von Figura, G. Developmental Pathways Direct Pancreatic Cancer Initiation from Its Cellular Origin. Stem Cells Int. 2016, 2016, 9298535. [Google Scholar] [CrossRef] [PubMed] [Green Version]
- Williams, J.A.; Goldfine, I.D. The insulin-pancreatic acinar axis. Diabetes 1985, 34, 980–986. [Google Scholar] [CrossRef] [PubMed]
- Heckl, S.M.; Pellinghaus, M.; Krüger, S.; Bosselmann, C.; Wilhelm, F.; Behrens, H.-M.; Schreiber, S.; Röcken, C. Epithelial insulin receptor expression-prognostic relevance in colorectal cancer. Oncotarget 2018, 9, 37497–37508. [Google Scholar] [CrossRef] [PubMed] [Green Version]
- Heckl, S.M.; Wiesener, V.; Behrens, H.-M.; Ulase, D.; Krüger, S.; Röcken, C. The expression of the insulin receptor in gastric cancer correlates with the HER2 status and may have putative therapeutic implications. Gastric Cancer 2019, 22, 1130–1142. [Google Scholar] [CrossRef] [PubMed] [Green Version]
- Mosthaf, L.; Grako, K.; Dull, T.J.; Coussens, L.; Ullrich, A.; McClain, D.A. Functionally distinct insulin receptors generated by tissue-specific alternative splicing. EMBO J. 1990, 9, 2409–2413. [Google Scholar] [CrossRef]
- Hernandez-Sanchez, C.; Mansilla, A.; de Pablo, F.; Zardoya, R. Evolution of the Insulin Receptor Family and Receptor Isoform Expression in Vertebrates. Mol. Biol. Evol. 2008, 25, 1043–1053. [Google Scholar] [CrossRef] [Green Version]
- Seino, S.; Bell, G.I. Alternative splicing of human insulin receptor messenger RNA. Biochem. Biophys. Res. Commun. 1989, 159, 312–316. [Google Scholar] [CrossRef]
- Taniguchi, C.M.; Emanuelli, B.; Kahn, C.R. Critical nodes in signalling pathways: Insights into insulin action. Nat. Rev. Mol. Cell Biol. 2006, 7, 85–96. [Google Scholar] [CrossRef]
- Vella, V.; Milluzzo, A.; Scalisi, N.M.; Vigneri, P.; Sciacca, L. Insulin Receptor Isoforms in Cancer. Int. J. Mol. Sci. 2018, 19, 3615. [Google Scholar] [CrossRef] [Green Version]
- Boucher, J.; Kleinridders, A.; Kahn, C.R. Insulin Receptor Signaling in Normal and Insulin-Resistant States. Cold Spring Harb. Perspect. Biol. 2014, 6, a009191. [Google Scholar] [CrossRef] [Green Version]
- Belfiore, A.; Frasca, F.; Pandini, G.; Sciacca, L.; Vigneri, R. Insulin Receptor Isoforms and Insulin Receptor/Insulin-Like Growth Factor Receptor Hybrids in Physiology and Disease. Endocr. Rev. 2009, 30, 586–623. [Google Scholar] [CrossRef] [PubMed] [Green Version]
- Belfiore, A.; Malaguarnera, R.; Vella, V.; Lawrence, M.C.; Sciacca, L.; Frasca, F.; Morrione, A.; Vigneri, R. Insulin Receptor Isoforms in Physiology and Disease: An Updated View. Endocr. Rev. 2017, 38, 379–431. [Google Scholar] [CrossRef] [PubMed]
- Heidegger, I.; Kern, J.; Ofer, P.; Klocker, H.; Massoner, P. Oncogenic functions of IGF1R and INSR in prostate cancer include enhanced tumor growth, cell migration and angiogenesis. Oncotarget 2014, 5, 2723–2735. [Google Scholar] [CrossRef] [PubMed] [Green Version]
- Vigneri, R.; Goldfine, I.D.; Frittitta, L. Insulin, insulin receptors, and cancer. J. Endocrinol. Investig. 2016, 39, 1365–1376. [Google Scholar] [CrossRef] [PubMed]
- Andres, S.F.; Simmons, J.G.; Mah, A.T.; Santoro, M.A.; Van Landeghem, L.; Lund, P.K. Insulin receptor isoform switching in intestinal stem cells, progenitors, differentiated lineages and tumors: Evidence that IR-B limits proliferation. J. Cell Sci. 2013, 126 (Pt 24), 5645–5656. [Google Scholar] [CrossRef] [Green Version]
- Heni, M.; Hennenlotter, J.; Scharpf, M.; Lutz, S.Z.; Schwentner, C.; Todenhöfer, T.; Schilling, D.; Kühs, U.; Gerber, V.; Machicao, F.; et al. Insulin Receptor Isoforms A and B as well as Insulin Receptor Substrates-1 and -2 Are Differentially Expressed in Prostate Cancer. PLoS ONE 2012, 7, e50953. [Google Scholar] [CrossRef] [Green Version]
- Roudnicky, F.; Dieterich, L.; Poyet, C.; Buser, L.; Wild, P.; Tang, D.; Camenzind, P.; Ho, C.H.; Otto, V.I.; Detmar, M. High expression of insulin receptor on tumour-associated blood vessels in invasive bladder cancer predicts poor overall and progression-free survival. J. Pathol. 2017, 242, 193–205. [Google Scholar] [CrossRef] [Green Version]
- Pandini, G.; Frasca, F.; Mineo, R.; Sciacca, L.; Vigneri, R.; Belfiore, A. Insulin/Insulin-like Growth Factor I Hybrid Receptors Have Different Biological Characteristics Depending on the Insulin Receptor Isoform Involved. J. Biol. Chem. 2002, 277, 39684–39695. [Google Scholar] [CrossRef] [PubMed] [Green Version]
- Hirakawa, T.; Yashiro, M.; Murata, A.; Hirata, K.; Kimura, K.; Amano, R.; Yamada, N.; Nakata, B.; Hirakawa, K. IGF-1 receptor and IGF binding protein-3 might predict prognosis of patients with resectable pancreatic cancer. BMC Cancer 2013, 13, 392. [Google Scholar] [CrossRef] [PubMed] [Green Version]
- Sobin, L.H.; Gospodarowicz, M.; Wittekind, C. TNM Classification of Malignant Tumours, 7th ed.; Wiley-Blackwell: Hoboken, NJ, USA, 2009. [Google Scholar]
- WHO. Classification of Tumours Editorial Board. Digestive System Tumours, 5th ed.; World Health Organization: Geneva, Switzerland, 2019. [Google Scholar]
- Pizzato, M.; Turati, F.; Rosato, V.; La Vecchia, C. Exploring the link between diabetes and pancreatic cancer. Expert Rev. Anticancer Ther. 2019, 19, 681–687. [Google Scholar] [CrossRef]
- Gallagher, E.J.; LeRoith, D. Obesity and Diabetes: The Increased Risk of Cancer and Cancer-Related Mortality. Physiol. Rev. 2015, 95, 727–748. [Google Scholar] [CrossRef] [Green Version]
- Rahn, S.; Zimmermann, V.; Viol, F.; Knaack, H.; Stemmer, K.; Peters, L.; Lenk, L.; Ungefroren, H.; Saur, D.; Schäfer, H.; et al. Diabetes as risk factor for pancreatic cancer: Hyperglycemia promotes epithelial-mesenchymal-transition and stem cell properties in pancreatic ductal epithelial cells. Cancer Lett. 2018, 415, 129–150. [Google Scholar] [CrossRef]
- Heckl, S.M.; Pellinghaus, M.; Behrens, H.-M.; Krüger, S.; Schreiber, S.; Röcken, C. Questioning the IGF1 receptor’s assigned role in CRC—A case for rehabilitation? BMC Cancer 2020, 20, 1–12. [Google Scholar] [CrossRef]
- Qu, X.; Wu, Z.; Dong, W.; Zhang, T.; Wang, L.; Pang, Z.; Ma, W.; Du, J. Update of IGF-1 receptor inhibitor (ganitumab, dalotuzumab, cixutumumab, teprotumumab and figitumumab) effects on cancer therapy. Oncotarget 2017, 8, 29501–29518. [Google Scholar] [CrossRef] [PubMed] [Green Version]
- Heckl, S.M.; Mau, F.; Senftleben, A.; Daunke, T.; Beckinger, S.; Abdullazade, S.; Schreiber, S.; Röcken, C.; Sebens, S.; Schäfer, H. Programmed Death-Ligand 1 (PD-L1) Expression Is Induced by Insulin in Pancreatic Ductal Adenocarcinoma Cells Pointing to Its Role in Immune Checkpoint Control. Med. Sci. 2021, 9, 48. [Google Scholar] [CrossRef]
- Ireland, L.; Santos, A.; Ahmed, M.S.; Rainer, C.; Nielsen, S.R.; Quaranta, V.; Weyer-Czernilofsky, U.; Engle, D.D.; Perez-Mancera, P.A.; Coupland, S.E.; et al. Chemoresistance in Pancreatic Cancer Is Driven by Stroma-Derived Insulin-Like Growth Factors. Cancer Res. 2016, 76, 6851–6863. [Google Scholar] [CrossRef] [PubMed] [Green Version]





| Total | IR Vascular Expression | Cytoplasmic IR Expression | Membranous IR Expression | ||||||||||||
|---|---|---|---|---|---|---|---|---|---|---|---|---|---|---|---|
| Low HScore < 135 | High HScore ≥ 135 | Low Hscore < 101 | High HScore ≥ 101 | Low HScore < 120 | High HScore ≥ 120 | ||||||||||
| n | (%) | n | (%) | n | (%) | n | (%) | n | (%) | n | (%) | n | (%) | ||
| Gender | n p-Value (a) | 160 | 160 | 1.000 | 160 | 0.527 | 160 | 0.057 | |||||||
| Male | 80 | (50.0) | 39 | (48.8) | 41 | (51.2) | 37 | (46.3) | 43 | (53.8) | 31 | (38.8) | 49 | (61.3) | |
| Female | 80 | (50.0) | 38 | (47.5) | 42 | (52.5) | 42 | (52.5) | 38 | (47.5) | 44 | (55.0) | 36 | (45.0) | |
| Age Group | n p-Value (a) | 160 | 160 | 1.000 | 160 | 0.206 | 160 | 0.342 | |||||||
| <68.3 years | 80 | (50.0) | 39 | (48.8) | 41 | (51.2) | 35 | (43.8) | 45 | (56.3) | 41 | (51.2) | 39 | (48.8) | |
| ≥68.3 years | 80 | (50.0) | 38 | (47.5) | 42 | (52.5) | 44 | (55.0) | 36 | (45.0) | 34 | (42.5) | 46 | (57.5) | |
| T-Category | n p-Value (b) | 147 | 147 | 0.729 | 147 | 0.315 | 147 | 0.278 | |||||||
| T1 | 4 | (2.7) | 2 | (50.0) | 2 | (50.0) | 2 | (50.0) | 2 | (50.0) | 1 | (25.0) | 3 | (75.0) | |
| T2 | 9 | (6.1) | 5 | (55.6) | 4 | (44.4) | 6 | (66.7) | 3 | (33.3) | 4 | (44.4) | 5 | (55.6) | |
| T3 | 130 | (88.4) | 61 | (46.9) | 69 | (53.1) | 69 | (53.1) | 61 | (46.9) | 63 | (48.5) | 67 | (51.5) | |
| T4a/b | 4 | (2.7) | 2 | (50.0) | 2 | (50.0) | 1 | (25.0) | 3 | (75.0) | 3 | (75.0) | 1 | (25.0) | |
| lymph node ratio | n p-Value (a) | 147 | 147 | 0.048 * | 147 | 0.869 | 147 | 0.742 | |||||||
| low (<0.133) | 73 | (49.7) | 41 | (56.2) | 32 | (43.8) | 38 | (52.1) | 35 | (47.9) | 34 | (46.6) | 39 | (53.4) | |
| high (≥0.133) | 74 | (50.3) | 29 | (39.2) | 45 | (60.8) | 40 | (54.1) | 34 | (45.9) | 37 | (50.0) | 37 | (50.0) | |
| N-Category | n p-Value (a) | 147 | 147 | 0.674 | 147 | 0.527 | 147 | 1.000 | |||||||
| N0 | 27 | (18.4) | 14 | (51.9) | 13 | (48.1) | 16 | (59.3) | 11 | (40.7) | 13 | (48.1) | 14 | (51.9) | |
| n+ (N1, N2) | 120 | (81.6) | 56 | (46.7) | 64 | (53.3) | 62 | (51.7) | 58 | (48.3) | 58 | (48.3) | 62 | (51.7) | |
| M-Category | n p-Value (a) | 135 | 135 | 1.000 | 135 | 0.026 * | 135 | 0.289 | |||||||
| M0 | 120 | (88.9) | 53 | (44.1) | 67 | (55.8) | 63 | (52.5) | 57 | (47.5) | 54 | (45.0) | 66 | (55.0) | |
| M1 | 15 | (11.1) | 7 | (46.7) | 8 | (53.3) | 3 | (20.0) | 12 | (80.0) | 9 | (60.0) | 6 | (40.0) | |
| UICC Stage | n p-Value (b) | 129 | 129 | 0.971 | 129 | 0.032 * | 129 | 0.434 | |||||||
| IA | 3 | (2.3) | 2 | (66.7) | 1 | (33.3) | 2 | (66.7) | 1 | (33.3) | 1 | (33.3) | 2 | (66.7) | |
| IB | 2 | (1.6) | 1 | (50.0) | 1 | (50.0) | 1 | (50.0) | 1 | (50.0) | 2 | (100.0) | 0 | (0.0) | |
| IIA | 14 | (10.9) | 6 | (42.9) | 8 | (57.1) | 8 | (57.1) | 6 | (42.9) | 5 | (35.7) | 9 | (64.3) | |
| IIB | 92 | (71.3) | 39 | (42.4) | 53 | (57.6) | 51 | (55.4) | 41 | (44.6) | 43 | (46.7) | 49 | (53.3) | |
| III | 3 | (2.3) | 2 | (66.7) | 1 | (33.3) | 1 | (33.3) | 2 | (66.7) | 1 | (33.3) | 2 | (66.7) | |
| IV | 15 | (11.6) | 7 | (46.7) | 8 | (53.3) | 3 | (20.0) | 12 | (80.0) | 9 | (60.0) | 6 | (40.0) | |
| L-Category | n p-Value (a) | 145 | 145 | 0.619 | 145 | 0.003 * | 145 | 0.620 | |||||||
| L0 | 73 | (50.3) | 37 | (50.7) | 36 | (49.3) | 48 | (65.8) | 25 | (34.2) | 34 | (46.6) | 39 | (53.4) | |
| L1 | 72 | (49.7) | 33 | (45.8) | 39 | (54.2) | 29 | (40.3) | 43 | (59.7) | 37 | (51.4) | 35 | (48.6) | |
| V-Category | n p-Value (a) | 144 | 144 | 0.696 | 144 | 1.000 | 144 | 0.697 | |||||||
| V0 | 110 | (76.4) | 54 | (49.1) | 56 | (50.9) | 59 | (53.6) | 51 | (46.4) | 53 | (48.2) | 57 | (51.8) | |
| V1 | 34 | (23.6) | 15 | (44.1) | 19 | (55.9) | 18 | (52.9) | 16 | (47.1) | 18 | (52.9) | 16 | (47.1) | |
| Pn-Category | n p-Value (a) | 124 | 124 | 1.000 | 124 | 0.544 | 124 | 1.000 | |||||||
| Pn0 | 12 | (9.7) | 6 | (50.0) | 6 | (50.0) | 8 | (66.7) | 4 | (33.3) | 6 | (50.0) | 6 | (50.0) | |
| Pn1 | 112 | (90.3) | 54 | (48.2) | 58 | (51.8) | 59 | (52.7) | 53 | (47.3) | 52 | (46.4) | 60 | (53.6) | |
| Grading | n p-Value (a) | 153 | 154 | 0.054 | 154 | 0.927 | 154 | 0.075 | |||||||
| G1 | 8 | (5.2) | 7 | (87.5) | 1 | (12.5) | 4 | (50.0) | 4 | (50.0) | 4 | (50.0) | 4 | (50.0) | |
| G2 | 78 | (51.0) | 34 | (43.6) | 44 | (56.4) | 40 | (51.3) | 38 | (48.7) | 30 | (38.5) | 48 | (61.5) | |
| G3 | 67 | (43.8) | 30 | (44.8) | 37 | (55.2) | 32 | (47.8) | 35 | (52.2) | 38 | (56.7) | 29 | (43.3) | |
| R-Status | n p-Value (a) | 141 | 141 | 0.072 | 141 | 0.761 | 141 | 0.320 | |||||||
| R0 | 108 | (76.6) | 57 | (52.8) | 51 | (47.2) | 55 | (50.9) | 53 | (49.1) | 55 | (50.9) | 53 | (49.1) | |
| R1 | 32 | (22.7) | 11 | (34.4) | 21 | (65.6) | 18 | (56.3) | 14 | (43.8) | 13 | (40.6) | 19 | (59.4) | |
| R2 | 1 | (0.7) | 0 | (0.0) | 1 | (100.0) | 1 | (100.0) | 0 | (0.0) | 0 | (0.0) | 1 | (100.0) | |
| Diabetes status | n p-Wert (a) | 101 | 101 | 0.874 | 101 | 0.936 | 101 | 0.326 | |||||||
| no diabetes | 73 | (72.3) | 33 | (45.2) | 40 | (54.8) | 38 | (52.1) | 35 | (47.9) | 33 | (45.2) | 40 | (54.8) | |
| type 2 diabetes | 23 | (22.8) | 9 | (39.1) | 14 | (30.9) | 13 | (56.5) | 10 | (43.5) | 7 | (30.4) | 16 | (69.6) | |
| postoperative diabetes | 5 | (5.0) | 2 | (40.0) | 3 | (60.0) | 3 | (60.0) | 2 | (40.0) | 3 | (60.0) | 2 | (40.0) | |
| Overall Survival [Months] | p-Value (c) | 155 | 0.965 | 155 | 0.494 | 155 | 0.378 | ||||||||
| Total/Events/Censored | 155/107/48 | 75/51/24 | 80/56/24 | 76/50/26 | 79 /57/22 | 72/52/20 | 83/55/28 | ||||||||
| Median Survival | 14.9 ± 1.9 | 15.0 ± 1.3 | 13.7 ± 3.9 | 12.9 ± 1.8 | 19.1 ± 4.1 | 13.5 ± 2.3 | 14.9 ± 4.1 | ||||||||
| 95% C.I. | 11.1–18.6 | 12.4–17.5 | 6.0–21.4 | 9.4–16.4 | 11.1–27.2 | 9.0–17.9 | 6.8–23.0 | ||||||||
| Tumor Specific Survival [Months] | p-Value (c) | 153 | 0.804 | 153 | 0.512 | 153 | 0.478 | ||||||||
| Total/Events/Censored | 153/100/53 | 73/48/25 | 80/52/28 | 75/47/28 | 78/53/25 | 70/47/23 | 83/53/30 | ||||||||
| Median Survival | 15.7 ± 1.9 | 15.7 ± 1.7 | 15.0 ± 4.3 | 13.7 ± 2.0 | 19.2 ± 5.0 | 15.1 ± 1.7 | 18.7 ± 4.8 | ||||||||
| 95% C.I. | 11.9–19.4 | 12.3–19.1 | 6.6–23.4 | 9.8–17.5 | 9.4–28.9 | 11.7–18.3 | 9.3–28.0 | ||||||||
| Total | Cytoplasmic IGF1R Expression | Membranous IGF1R Expression | |||||||||
|---|---|---|---|---|---|---|---|---|---|---|---|
| Low HScore < 10 | High HScore ≥ 10 | Low HScore < 12 | High HScore ≥ 12 | ||||||||
| n | (%) | n | (%) | n | (%) | n | (%) | n | (%) | ||
| Gender | n p-Value (a) | 160 | 160 | 0.874 | 160 | 0.752 | |||||
| Male | 80 | (50.0) | 39 | (48.8) | 41 | (51.2) | 38 | (47.5) | 42 | (52.5) | |
| Female | 80 | (50.0) | 37 | (46.3) | 43 | (53.8) | 41 | (51.2) | 39 | (48.8) | |
| Age Group | n p-Value (a) | 160 | 160 | 1.000 | 160 | 1.000 | |||||
| <68.3 years | 80 | (50.0) | 38 | (47.5) | 42 | (52.5) | 39 | (48.8) | 41 | (51.2) | |
| ≥68.3 years | 80 | (50.0) | 38 | (47.5) | 42 | (52.5) | 40 | (50.0) | 40 | (50.0) | |
| T-Category | n p-Value (b) | 147 | 147 | 0.959 | 147 | 0.202 | |||||
| T1 | 4 | (2.7) | 3 | (75.0) | 1 | (25.0) | 2 | (50.0) | 2 | (50.0) | |
| T2 | 9 | (6.1) | 2 | (22.2) | 7 | (77.8) | 1 | (11.1) | 8 | (88.9) | |
| T3 | 130 | (88.4) | 65 | (50.0) | 65 | (50.0) | 70 | (53.8) | 60 | (46.2) | |
| T4a/b | 4 | (2.7) | 1 | (25.0) | 3 | (75.0) | 1 | (25.0) | 3 | (75.0) | |
| lymph node ratio | n p-Value (a) | 147 | 147 | 0.622 | 147 | 1.000 | |||||
| low (<0.133) | 73 | (49.7) | 37 | (50.7) | 36 | (49.3) | 37 | (50.7) | 36 | (49.3) | |
| high (≥0.133) | 74 | (50.3) | 34 | (45.9) | 40 | (54.1) | 37 | (50.0) | 37 | (50.0) | |
| N-Category | n p-Value (a) | 147 | 147 | 0.832 | 147 | 0.395 | |||||
| N0 | 27 | (18.4) | 14 | (51.9) | 13 | (48.1) | 16 | (59.3) | 11 | (40.7) | |
| N+ (N1, N2) | 120 | (81.6) | 57 | (47.5) | 63 | (52.5) | 58 | (48.3) | 62 | (51.7) | |
| M-Category | n p-Value (a) | 135 | 135 | 0.590 | 135 | 0.419 | |||||
| M0 | 120 | (88.9) | 59 | (49.2) | 61 | (50.8) | 63 | (52.5) | 57 | (47.5) | |
| M1 | 15 | (11.1) | 6 | (40.0) | 9 | (60.0) | 6 | (40.0) | 9 | (60.0) | |
| UICC Stage | n p-Value (b) | 129 | 129 | 0.647 | 129 | 0.175 | |||||
| IA | 3 | (2.3) | 2 | (66.7) | 1 | (33.3) | 2 | (66.7) | 1 | (33.3) | |
| IB | 2 | (1.6) | 0 | (0.0) | 2 | (100.0) | 0 | (0.0) | 2 | (100.0) | |
| IIA | 14 | (10.9) | 7 | (50.0) | 7 | (50.0) | 10 | (71.4) | 4 | (28.6) | |
| IIB | 92 | (71.3) | 46 | (50.0) | 46 | (50.0) | 47 | (51.1) | 45 | (48.9) | |
| III | 3 | (2.3) | 1 | (33.3) | 2 | (66.7) | 1 | (33.3) | 2 | (66.7) | |
| IV | 15 | (11.6) | 6 | (40.0) | 9 | (60.0) | 6 | (40.0) | 9 | (60.0) | |
| L-Category | n p-Value (a) | 145 | 145 | 0.068 | 145 | 0.741 | |||||
| L0 | 73 | (50.3) | 41 | (56.2) | 32 | (43.8) | 38 | (52.1) | 35 | (47.9) | |
| L1 | 72 | (49.7) | 29 | (40.3) | 43 | (59.7) | 35 | (48.6) | 37 | (51.4) | |
| V-Category | n p-Value (a) | 144 | 144 | 0.434 | 144 | 0.845 | |||||
| V0 | 110 | (76.4) | 55 | (50.0) | 55 | (50.0) | 56 | (50.9) | 54 | (49.1) | |
| V1 | 34 | (23.6) | 14 | (41.2) | 20 | (58.8) | 16 | (47.1) | 18 | (52.9) | |
| Pn-Category | n p-Value (a) | 124 | 124 | 1.000 | 124 | 1.000 | |||||
| Pn0 | 12 | (9.7) | 7 | (58.3) | 5 | (41.7) | 7 | (58.3) | 5 | (41.7) | |
| Pn1 | 112 | (90.3) | 60 | (53.6) | 52 | (46.4) | 60 | (53.6) | 52 | (46.4) | |
| Grading | n p-Value (a) | 153 | 154 | 0.277 | 154 | 0.327 | |||||
| G1 | 8 | (5.2) | 6 | (75.0) | 2 | (25.0) | 6 | (75.0) | 2 | (25.0) | |
| G2 | 78 | (51.0) | 35 | (45.6) | 43 | (54.4) | 39 | (50.0) | 39 | (50.0) | |
| G3 | 67 | (43.8) | 32 | (47.8) | 35 | (52.2) | 31 | (46.3) | 36 | (53.7) | |
| R-Status | n p-Value (a) | 141 | 141 | 0.160 | 141 | 0.547 | |||||
| R0 | 108 | (76.6) | 48 | (44.4) | 60 | (55.6) | 53 | (49.1) | 55 | (50.9) | |
| R1 | 32 | (22.7) | 19 | (59.4) | 13 | (40.6) | 18 | (56.3) | 14 | (43.8) | |
| R2 | 1 | (0.7) | 0 | (0.0) | 1 | (100.0) | 0 | (0.0) | 1 | (100.0) | |
| Diabetes status | n p-Wert (a) | 101 | 101 | 0.277 | 101 | 0.622 | |||||
| no diabetes | 73 | (72.3) | 34 | (46.6) | 39 | (53.4) | 33 | (45.2) | 40 | (54.8) | |
| type 2 diabetes | 23 | (22.8) | 15 | (65.2) | 8 | (34.8) | 13 | (56.5) | 10 | (43.5) | |
| postoperative diabetes | 5 | (5.0) | 2 | (40.0) | 3 | (60.0) | 3 | (60.0) | 2 | (40.0) | |
| Overall Survival [Months] | p-Value (c) | 155 | 0.671 | 155 | 0.194 | ||||||
| Total/Events/Censored | 155/107/48 | 74/52/22 | 81/55/26 | 75/51/24 | 80/56/24 | ||||||
| Median Survival | 14.9 ± 1.9 | 15.7 ± 2.1 | 14.7 ± 3.5 | 15.7 ± 2.6 | 13.5 ± 2.0 | ||||||
| 95% C.I. | 11.1–18.6 | 11.7–19.7 | 7.9–21.4 | 10.5–20.8 | 9.6–17.4 | ||||||
| Tumor Specific Survival [Months] | p-Value (c) | 153 | 0.832 | 153 | 0.367 | ||||||
| Total/Events/Censored | 153/100/53 | 73/49/24 | 80/51/29 | 74/49/25 | 79/51/28 | ||||||
| Median Survival | 15.7 ± 1.9 | 15.7 ± 2.0 | 15.0 ± 3.0 | 15.7 ± 2.6 | 14.9 ± 2.8 | ||||||
| 95% C.I. | 11.9–19.4 | 11.8–19.6 | 9.0–21.0 | 10.6–20.7 | 9.4–20.4 | ||||||
| Tumoral Cytoplasmic IGF1R Expression | Tumoral Membranous IGF1R Expression | |||||
|---|---|---|---|---|---|---|
| Low (HScore < 10) | High (HScore ≥ 10) | p-Value (a) | Low (HScore < 12) | High (HScore ≥ 12) | p-Value (a) | |
| n (%) | n (%) | n (%) | n (%) | |||
| Vascular IR expression | ||||||
| low (HScore <135) | 45 (58.4) | 32 (41.6) | 0.011 * | 46 (59.7) | 31 (40.3) | 0.017 * |
| high (HScore ≥ 135) | 31 (37.3) | 52 (62.7) | 33 (39.8) | 50 (60.2) | ||
| Cytoplasmic IR expression | ||||||
| low (HScore < 101) | 40 (50.6) | 39 (49.4) | 0.527 | 40 (50.6) | 39 (49.4) | 0.874 |
| high (HScore ≥ 101) | 36 (44.4) | 45 (55.6) | 39 (48.1) | 42 (51.9) | ||
| Membranous IR expression | ||||||
| low (HScore < 120) | 33 (44.0) | 42 (56.0) | 0.431 | 37 (49.3) | 38 (50.7) | 1000 |
| high (HScore ≥ 120) | 43 (50.6) | 42 (49.4) | 42 (49.4) | 43 (50.6) | ||
| PanIN Low Grade Cytoplasmic IR Expression | PanIN High Grade Cytoplasmic IR Expression | |||||
| Low (HScore < 101) | High (HScore ≥ 101) | p-Value (a) | Low (HScore < 101) | High (HScore ≥ 101) | p-Value (a) | |
| Tumoral cytoplasmic IR expression | n (%) | n (%) | n (%) | n (%) | ||
| low (HScore < 101) | 7 (43.8) | 9 (56.3) | 0.716 | 1 (20.0) | 4 (80.0) | 0.301 |
| high (HScore ≥ 101) | 5 (33.3) | 10 (66.7) | 5 (55.6) | 4 (44.4) | ||
| PanIN Low Grade Membranous IR Expression | PanIN High Grade Membranous IR Expression | |||||
| Low (HScore < 120) | High (HScore ≥ 120) | p-Value (a) | Low (HScore < 120) | High (HScore ≥ 120) | p-Value (a) | |
| Tumoral membranous IR expression | n (%) | n (%) | n (%) | n (%) | ||
| low (HScore < 120) | 7 (53.8) | 6 (46.2) | 0.481 | 3 (100) | 0 (0.0) | 0.258 |
| high (HScore ≥ 120) | 7 (38.9) | 11 (61.1) | 6 (54.5) | 5 (45.5) | ||
| PanIN Low Grade Cytoplasmic IGF1R Expression | PanIN High Grade Cytoplasmic IGF1R Expression | |||||
| Low (HScore < 10) | High (HScore ≥ 10) | p-Value (a) | Low (HScore < 10) | High (HScore ≥ 10) | p-Value (a) | |
| Tumoral cytoplasmic IGF1R expression | n (%) | n (%) | n (%) | n (%) | ||
| low (HScore < 10) | 13 (61.9) | 8 (38.1) | 0.441 | 6 (85.7) | 1 (14.3) | 0.103 |
| high (HScore ≥ 10) | 4 (40.0) | 6 (60.0) | 2 (28.6) | 5 (71.4) | ||
| PanIN Low Grade Membranous IGF1R Expression | PanIN High Grade Membranous IGF1R Expression | |||||
| Low (HScore <12) | High (HScore ≥ 12) | p-Value (a) | Low (HScore <12) | High (HScore ≥ 12) | p-Value (a) | |
| Tumoral membranous IGF1R expression | n (%) | n (%) | n (%) | n (%) | ||
| low (HScore <12) | 15 (75.0) | 5 (25.0) | 0.423 | 6 (100) | 0 (0.0) | 0.031 * |
| high (HScore ≥ 12) | 6 (54.5) | 5 (45.5) | 3 (37.5) | 5 (62.5) | ||
Publisher’s Note: MDPI stays neutral with regard to jurisdictional claims in published maps and institutional affiliations. |
© 2021 by the authors. Licensee MDPI, Basel, Switzerland. This article is an open access article distributed under the terms and conditions of the Creative Commons Attribution (CC BY) license (https://creativecommons.org/licenses/by/4.0/).
Share and Cite
Heckl, S.M.; Kercher, L.; Abdullazade, S.; Schneider, C.; Krüger, S.; Behrens, H.-M.; Sebens, S.; Schäfer, H.; Schreiber, S.; Röcken, C. Insulin Receptor in Pancreatic Cancer—Crown Witness in Cross Examination. Cancers 2021, 13, 4988. https://doi.org/10.3390/cancers13194988
Heckl SM, Kercher L, Abdullazade S, Schneider C, Krüger S, Behrens H-M, Sebens S, Schäfer H, Schreiber S, Röcken C. Insulin Receptor in Pancreatic Cancer—Crown Witness in Cross Examination. Cancers. 2021; 13(19):4988. https://doi.org/10.3390/cancers13194988
Chicago/Turabian StyleHeckl, Steffen M., Lukas Kercher, Samir Abdullazade, Carolin Schneider, Sandra Krüger, Hans-Michael Behrens, Susanne Sebens, Heiner Schäfer, Stefan Schreiber, and Christoph Röcken. 2021. "Insulin Receptor in Pancreatic Cancer—Crown Witness in Cross Examination" Cancers 13, no. 19: 4988. https://doi.org/10.3390/cancers13194988
APA StyleHeckl, S. M., Kercher, L., Abdullazade, S., Schneider, C., Krüger, S., Behrens, H.-M., Sebens, S., Schäfer, H., Schreiber, S., & Röcken, C. (2021). Insulin Receptor in Pancreatic Cancer—Crown Witness in Cross Examination. Cancers, 13(19), 4988. https://doi.org/10.3390/cancers13194988

