A Population-Based Analysis of 30-Year Mortality among Five-Year Survivors of Adolescent and Young Adult Cancer: The Roles of Primary Cancer, Subsequent Malignancy, and Other Health Conditions
Abstract
:Simple Summary
Abstract
1. Introduction
2. Materials and Methods
2.1. Data Source, Study Sample, and Definitions
- All causes (all malignant and non-malignant causes).
- Malignant (primary cancer and SMN).
- Cardio/cerebrovascular (diseases of heart, hypertension without heart disease, cerebrovascular disease, atherosclerosis, aortic aneurysm and dissection, other diseases of arteries, arterioles, capillaries).
- Infections (tuberculosis, syphilis, septicemia, other infectious and parasitic diseases including HIV, pneumonia and influenza).
- Pulmonary (chronic obstructive pulmonary disease), renal (nephritis, nephrotic syndrome, and nephrosis).
- Liver and cirrhosis (chronic liver disease and cirrhosis).
- Complications of pregnancy/childbirth (complications of pregnancy, childbirth, and puerperium).
- External causes (suicide and self-inflicted injury, accidents and adverse events, homicide and legal intervention).
- All other causes (diabetes mellitus; Alzheimer’s; stomach and duodenal ulcers; congenital anomalies; certain conditions originating in the perinatal period; symptoms, signs, and ill-defined conditions; other causes of death).
- Dead, attributable to this cancer diagnosis (i.e., dead due to primary cancer).
- Dead, attributable to causes other than this cancer diagnosis and with a Cause of Death Recode variable of a malignancy that differed from the primary cancer diagnosis (i.e., dead due to SMN).
- Dead, attributable to causes other than this cancer diagnosis and with a Cause of Death Recode of a condition that was non-malignant (i.e., all non-malignant causes of death).
2.2. Statistical Methods
3. Results
3.1. Patient Characteristics
3.2. Cause-Specific Late Mortality
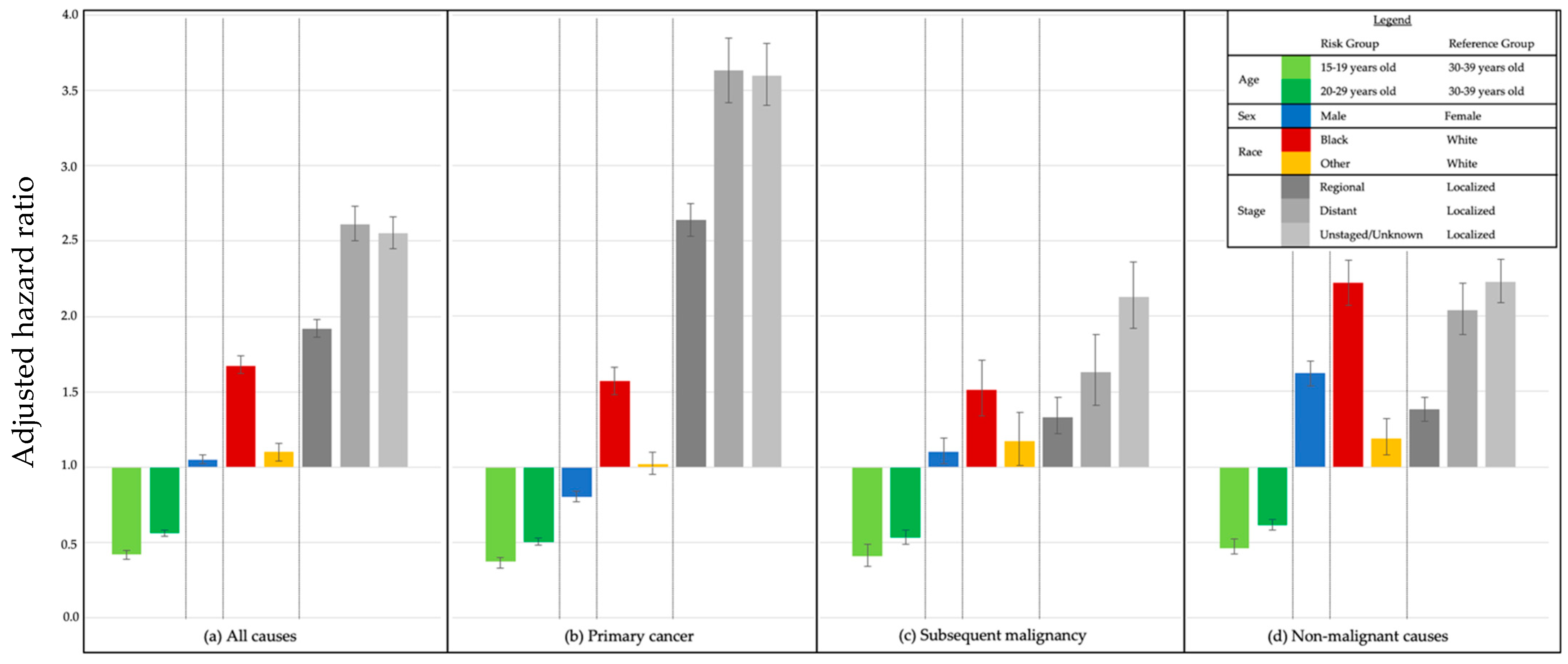
3.3. Risk Factors for Late Mortality
3.4. Attributable Mortality and Risk Due to Malignant and Non-Malignant Causes
4. Discussion
5. Conclusions
Supplementary Materials
Author Contributions
Funding
Institutional Review Board Statement
Informed Consent Statement
Data Availability Statement
Conflicts of Interest
References
- Miller, K.D.; Fidler-Benaoudia, M.; Keegan, T.H.; Hipp, H.S.; Jemal, A.; Siegel, R.L. Cancer statistics for adolescents and young adults, 2020. CA A Cancer J. Clin. 2020, 70, 443–459. [Google Scholar] [CrossRef] [PubMed]
- American Cancer Society. Key Statistics for Childhood Cancers. 2021. Available online: https://www.cancer.org/cancer/cancer-in-children/key-statistics.html (accessed on 28 April 2021).
- Moke, D.J.; Tsai, K.; Hamilton, A.S.; Hwang, A.; Liu, L.; Freyer, D.R.; Deapen, D. Emerging Cancer Survival Trends, Disparities, and Priorities in Adolescents and Young Adults: A California Cancer Registry-Based Study. JNCI Cancer Spectr. 2019, 3, pkz031. [Google Scholar] [CrossRef]
- National Cancer Institute. Surveillance, Epidemiology, and End Results Program. Cancer Stat Facts: Cancer among Adolescents and Young Adults (AYAs) (Ages 15–39). Available online: https://seer.cancer.gov/statfacts/html/aya.html (accessed on 11 May 2021).
- Berkman, A.; Livingston, J.A.; Merriman, K.; Hildebrandt, M.; Wang, J.; Dibaj, S.; McQuade, J.; You, N.; Ying, A.; Barcenas, C.; et al. Long-term survival among 5-year survivors of adolescent and young adult cancer. Cancer 2020, 126, 3708–3718. [Google Scholar] [CrossRef] [PubMed]
- Mertens, A.C.; Liu, Q.; Neglia, J.; Wasilewski, K.; Leisenring, W.; Armstrong, G.T.; Robison, L.L.; Yasui, Y. Cause-Specific Late Mortality Among 5-Year Survivors of Childhood Cancer: The Childhood Cancer Survivor Study. J. Natl. Cancer Inst. 2008, 100, 1368–1379. [Google Scholar] [CrossRef]
- Armstrong, G.T.; Liu, Q.; Yasui, Y.; Neglia, J.; Leisenring, W.; Robison, L.L.; Mertens, A.C. Late Mortality Among 5-Year Survivors of Childhood Cancer: A Summary from the Childhood Cancer Survivor Study. J. Clin. Oncol. 2009, 27, 2328–2338. [Google Scholar] [CrossRef] [PubMed] [Green Version]
- Adolescent and Young Adult Oncology Progress Review Group. Closing the Gap: Research and Care Imperatives for Adolescents and Young Adults with Cancer; U.S. Department of Health and Human Services: Washington, DC, USA, 2006. Available online: https://www.cancer.gov/types/aya/research/ayao-august-2006.pdf (accessed on 3 August 2021).
- Bukowinski, A.J.; Burns, K.C.; Parsons, K.; Perentesis, J.; O’Brien, M.M. Toxicity of Cancer Therapy in Adolescents and Young Adults (AYAs). Semin. Oncol. Nurs. 2015, 31, 216–226. [Google Scholar] [CrossRef]
- Anderson, C.; Smitherman, A.; Nichols, H.B. Conditional relative survival among long-term survivors of adolescent and young adult cancers. Cancer 2018, 124, 3037–3043. [Google Scholar] [CrossRef] [PubMed] [Green Version]
- Anderson, C.; Lund, J.L.; Weaver, M.A.; Wood, W.A.; Olshan, A.F.; Nichols, H.B. Disparities in Mortality from Noncancer Causes among Adolescents and Young Adults with Cancer. Cancer Epidemiol. Biomark. Prev. 2019, 28, 1417–1426. [Google Scholar] [CrossRef] [Green Version]
- Anderson, C.; Lund, J.L.; Weaver, M.A.; Wood, W.A.; Olshan, A.F.; Nichols, H.B. Noncancer mortality among adolescents and young adults with cancer. Cancer 2019, 125, 2107–2114. [Google Scholar] [CrossRef] [PubMed] [Green Version]
- Anderson, C.; Nichols, H.B. Trends in Late Mortality Among Adolescent and Young Adult Cancer Survivors. J. Natl. Cancer Inst. 2020, 112, 994–1002. [Google Scholar] [CrossRef] [PubMed]
- Armenian, S.H.; Xu, L.; Mph, K.L.C.; Wong, F.L.; Bhatia, S.; Chao, C. Cause-specific mortality in survivors of adolescent and young adult cancer. Cancer 2020, 126, 2305–2316. [Google Scholar] [CrossRef]
- Van Der Meer, D.J.; Karim-Kos, H.E.; Van Der Mark, M.; Aben, K.K.H.; Bijlsma, R.M.; Rijneveld, A.W.; Van Der Graaf, W.T.A.; Husson, O. Incidence, Survival, and Mortality Trends of Cancers Diagnosed in Adolescents and Young Adults (15–39 Years): A Population-Based Study in The Netherlands 1990–2016. Cancers 2020, 12, 3421. [Google Scholar] [CrossRef]
- Lee, J.S.; Dubois, S.G.; Coccia, P.F.; Bleyer, A.; Olin, R.L.; Goldsby, R.E. Increased risk of second malignant neoplasms in adolescents and young adults with cancer. Cancer 2016, 122, 116–123. [Google Scholar] [CrossRef] [PubMed]
- Keegan, T.H.M.; Bleyer, A.; Rosenberg, A.; Li, Q.; Goldfarb, M. Second Primary Malignant Neoplasms and Survival in Adolescent and Young Adult Cancer Survivors. JAMA Oncol. 2017, 3, 1554–1557. [Google Scholar] [CrossRef]
- Surveillance, Epidemiology, and End Results (SEER) Program. SEER*Stat Database: Incidence—SEER 9 Regs Research Data, Nov 2018 Sub (1975–2016)—Linked to County Attributes—Total U.S., 1969–2017 Counties; released April 2019, based on the November 2018 submission; National Cancer Institute, Division of Cancer Control and Population Sciences, Surveillance Research Program: Bethesda, MD, USA, 2018. Available online: www.seer.cancer.gov (accessed on 31 August 2020).
- Surveillance, Epidemiology, and End Results Program. AYA Site Recode/WHO 2008 Definition; National Cancer Institute: Bethesda, MD, USA, 2018. Available online: https://seer.cancer.gov/ayarecode/aya-who2008.html (accessed on 31 August 2020).
- Curtis, R.E.; Freedman, D.M.; Ron, E.; Ries, L.A.G.; Hacker, D.G.; Edwards, B.K.; Tucker, M.A.; Fraumeni, J.F., Jr. New Malignancies among Cancer Survivors: SEER Cancer Registries, 1973–2000; National Cancer Institute: Bethesda, MD, USA, 2006.
- Chao, C.; Bhatia, S.; Xu, L.; Cannavale, K.L.; Wong, F.L.; Huang, P.-Y.S.; Cooper, R.; Armenian, S.H. Incidence, Risk Factors, and Mortality Associated with Second Malignant Neoplasms Among Survivors of Adolescent and Young Adult Cancer. JAMA Netw. Open 2019, 2, e195536. [Google Scholar] [CrossRef] [PubMed]
- Bright, C.J.; Reulen, R.C.; Winter, D.L.; Stark, D.P.; McCabe, M.G.; Edgar, A.B.; Frobisher, C.; Hawkins, M.M. Risk of subsequent primary neoplasms in survivors of adolescent and young adult cancer (Teenage and Young Adult Cancer Survivor Study): A population-based, cohort study. Lancet Oncol. 2019, 20, 531–545. [Google Scholar] [CrossRef] [Green Version]
- Kaul, S.; Veeranki, S.P.; Rodriguez, A.M.; Kuo, Y.-F. Cigarette smoking, comorbidity, and general health among survivors of adolescent and young adult cancer. Cancer 2016, 122, 2895–2905. [Google Scholar] [CrossRef]
- Tai, E.; Buchanan, N.; Ms, J.T.; Fairley, T.; Moore, A.; Richardson, L.C. Health status of adolescent and young adult cancer survivors. Cancer 2012, 118, 4884–4891. [Google Scholar] [CrossRef] [Green Version]
- Gibson, T.M.; Liu, W.; Armstrong, G.T.; Srivastava, D.K.; Hudson, M.M.; Leisenring, W.; Mertens, A.C.; Klesges, R.C.; Oeffinger, K.C.; Nathan, P.C.; et al. Longitudinal smoking patterns in survivors of childhood cancer: An update from the Childhood Cancer Survivor Study. Cancer 2015, 121, 4035–4043. [Google Scholar] [CrossRef] [Green Version]
- Rebholz, C.E.; For the Swiss Paediatric Oncology Group (SPOG); Rueegg, C.S.; Michel, G.; Ammann, R.A.; Von Der Weid, N.X.; Kuehni, C.E.; Spycher, B. Clustering of health behaviours in adult survivors of childhood cancer and the general population. Br. J. Cancer 2012, 107, 234–242. [Google Scholar] [CrossRef] [Green Version]
- Matasar, M.J.; Zelenetz, A. Overview of Lymphoma Diagnosis and Management. Radiol. Clin. N. Am. 2008, 46, 175–198. [Google Scholar] [CrossRef]
- Perrino, M.; Cooke-Barber, J.; Dasgupta, R.; Geller, J.I. Genetic predisposition to cancer: Surveillance and intervention. Semin. Pediatr. Surg. 2019, 28, 150858. [Google Scholar] [CrossRef] [PubMed]
- Mahdavi, M.; Nassiri, M.; Kooshyar, M.M.; Vakili-Azghandi, M.; Avan, A.; Sandry, R.; Pillai, S.; Lam, A.; Gopalan, V. Hereditary breast cancer; Genetic penetrance and current status with BRCA. J. Cell. Physiol. 2018, 234, 5741–5750. [Google Scholar] [CrossRef] [PubMed]
- Adams, S.H.; Newacheck, P.W.; Park, M.J.; Brindis, C.D.; Irwin, C.E. Health Insurance Across Vulnerable Ages: Patterns and Disparities from Adolescence to the Early 30s. Pediatrics 2007, 119, e1033–e1039. [Google Scholar] [CrossRef]
- National Cancer Institute. SEER*Stat Technical Webinar—New Features in Survival. NCI, Division of Cancer Control & Population Sciences: Measures of Cancer Survival. 2011. Available online: https://surveillance.cancer.gov/survival/SEERStatWebinar_Survival_07142011.pdf (accessed on 3 August 2021).
- Hu, C.-Y.; Xing, Y.; Cormier, J.N.; Chang, G.J. Assessing the utility of cancer-registry-processed cause of death in calculating cancer-specific survival. Cancer 2013, 119, 1900–1907. [Google Scholar] [CrossRef] [PubMed] [Green Version]
- Coccia, P.F.; Pappo, A.S.; Beaupin, L.; Borges, V.F.; Borinstein, S.C.; Chugh, R.; Dinner, S.; Folbrecht, J.; Frazier, A.L.; Goldsby, R.; et al. Adolescent and Young Adult Oncology, Version 2.2018, NCCN Clinical Practice Guidelines in Oncology. J. Natl. Compr. Cancer Netw. 2018, 16, 66–97. [Google Scholar] [CrossRef] [Green Version]
- National Comprehensive Cancer Network. Adolescent and Young Adult (AYA) Oncology; Version 1.2021; National Comprehensive Cancer Network: Plymouth Meeting, PA, USA, 10 September 2020; Available online: https://www.nccn.org/professionals/physician_gls/pdf/aya.pdf (accessed on 27 May 2021).
- Michel, G.; Mulder, R.L.; Van Der Pal, H.J.H.; Skinner, R.; Bárdi, E.; Brown, M.C.; Vetsch, J.; Frey, E.; Windsor, R.; Kremer, L.C.M.; et al. Evidence-based recommendations for the organization of long-term follow-up care for childhood and adolescent cancer survivors: A report from the PanCareSurFup Guidelines Working Group. J. Cancer Surviv. 2019, 13, 759–772. [Google Scholar] [CrossRef] [PubMed]
- Eiser, C.; Absolom, K.; Greenfield, D.; Snowden, J.; Coleman, R.; Hancock, B.; Davies, H. Follow-up care for young adult survivors of cancer: Lessons from pediatrics. J. Cancer Surviv. 2007, 1, 75–86. [Google Scholar] [CrossRef]
- Eshelman-Kent, D.A.; Kinahan, K.E.; Hobbie, W.L.; Landier, W.; Teal, S.; Friedman, D.L.; Nagarajan, R.; Freyer, D.R. Cancer survivorship practices, services, and delivery: A report from the Children’s Oncology Group (COG) nursing discipline, adolescent/young adult, and late effects committees. J. Cancer Surviv. 2011, 5, 345–357. [Google Scholar] [CrossRef] [Green Version]





| Characteristic | n (%) or (Standard Deviation) |
|---|---|
| Total | 162,317 |
| Median follow-up, years | 17.4 (9.9) |
| Age, years | |
| 15–19 | 10,493 (6.5) |
| 20–29 | 47,760 (29.4) |
| 30–39 | 104,064 (64.1) |
| Sex | |
| Male | 61,085 (37.6) |
| Female | 101,232 (62.4) |
| Race | |
| White | 134,816 (83.0) |
| Black | 13,388 (8.2) |
| API/AI/AN | 12,054 (7.4) |
| Unknown | 2059 (1.3) |
| Cancer site | |
| Bone/soft tissue sarcoma 1 | 7589 (4.7) |
| Breast, female | 25,104 (15.5) |
| Cervical/uterine | 12,538 (7.7) |
| Hodgkin lymphoma | 12,687 (7.8) |
| Non-Hodgkin lymphoma | 8502 (5.2) |
| Melanoma | 23,039 (14.2) |
| Testicular germ cell | 15,274 (9.4) |
| Thyroid | 21,055 (13.0) |
| Other 1 | 36,529 (22.5) |
| Stage | |
| Localized | 94,699 (58.3) |
| Regional | 37,639 (23.2) |
| Distant | 16,099 (9.9) |
| Unstaged/Unknown | 13,869 (8.5) |
| Not recorded | 11 (0.0) |
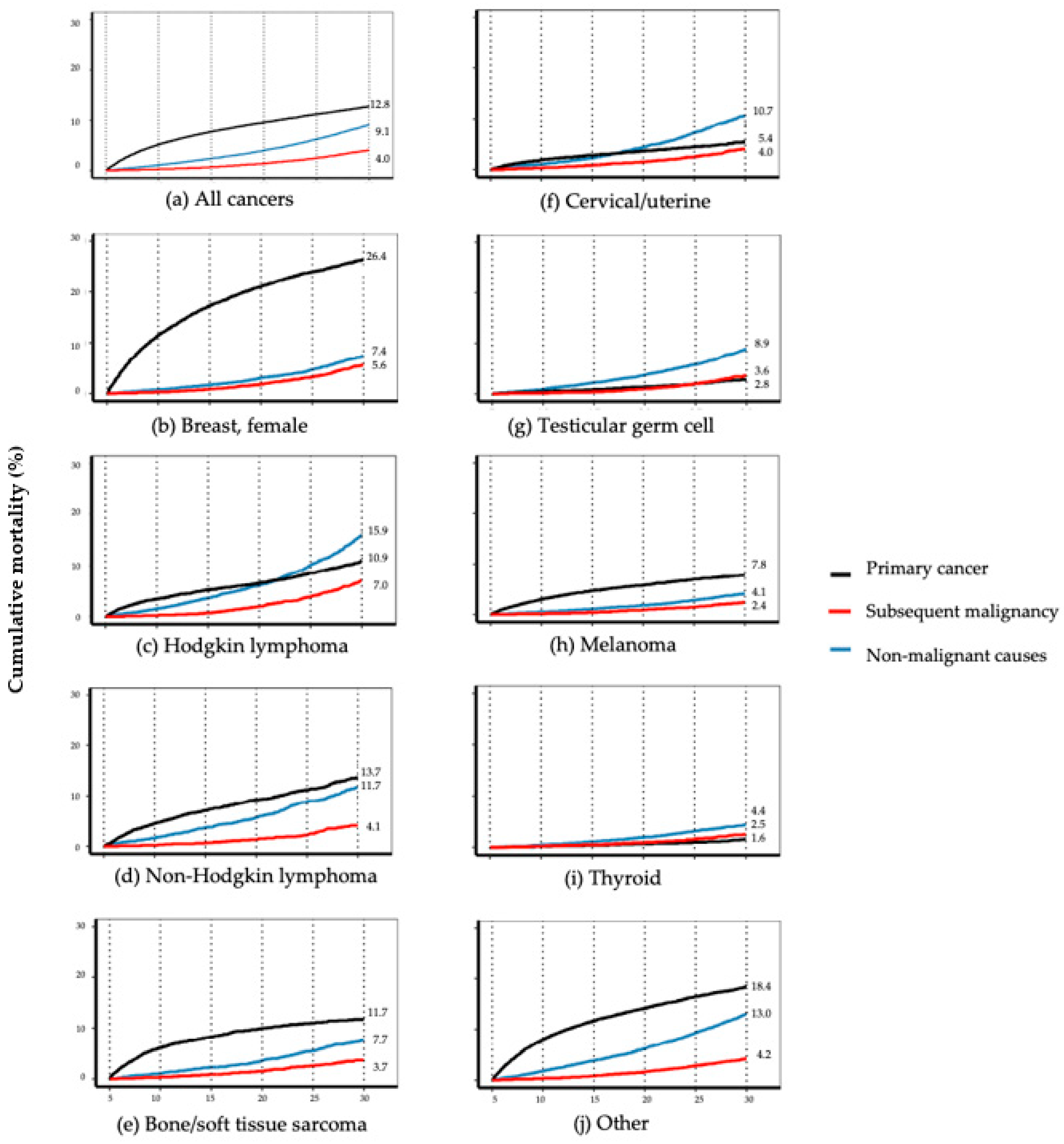
| Primary Cancer Site | n | 10-Year Cumulative Mortality % [95% CI] | 20-Year Cumulative Mortality % [95% CI] | 30-Year Cumulative Mortality % [95% CI] |
|---|---|---|---|---|
| Death due to primary cancer | ||||
| All cancers 1 | 161,207 2 | 5.2 [5.0, 5.3] | 9.6 [9.4, 9.7] | 12.8 [12.5, 13.0] |
| Breast, female | 24,892 | 11.5 [11.1, 11.9] | 21.0 [20.4, 21.6] | 26.4 [25.7, 27.1] |
| Hodgkin lymphoma | 12,581 | 3.4 [3.1, 3.7] | 6.6 [6.1, 7.1] | 10.9 [10.1, 11.7] |
| Non-Hodgkin lymphoma | 8449 | 4.5 [4.0, 5.0] | 9.2 [8.5, 10.0] | 13.7 [12.5, 14.9] |
| Bone/soft tissue sarcoma 1 | 7543 | 6.1 [5.6, 6.7] | 10.0 [9.2, 10.7] | 11.7 [10.9, 12.7] |
| Cervical/uterine | 12,431 | 1.9 [1.6, 2.1] | 3.6 [3.3, 4.0] | 5.4 [4.9, 6.0] |
| Testicular germ cell | 15,210 | 0.4 [0.3, 0.5] | 1.4 [1.2, 1.6] | 2.8 [2.5, 3.3] |
| Melanoma | 22,913 | 3.0 [2.8, 3.2] | 5.8 [5.4, 6.1] | 7.8 [7.4, 8.3] |
| Thyroid | 20,983 | 0.2 [0.1, 0.3] | 0.7 [0.6, 0.9] | 1.6 [1.3, 1.9] |
| Other 1 | 36,205 | 8.0 [7.7, 8.3] | 14.1 [13.7, 14.6] | 18.4 [17.8, 18.9] |
| Death due to subsequent malignancy | ||||
| All cancers 1 | 161,207 2 | 0.2 [0.2, 0.3] | 1.4 [1.3, 1.5] | 4.0 [3.9, 4.2] |
| Breast, female | 24,892 | 0.3 [0.2, 0.4] | 1.8 [1.6, 2.0] | 5.6 [5.1, 6.1] |
| Hodgkin lymphoma | 12,581 | 0.2 [0.2, 0.3] | 2.0 [1.7, 2.3] | 7.0 [6.3, 7.8] |
| Non-Hodgkin lymphoma | 8449 | 0.2 [0.1, 0.4] | 1.3 [1.0, 1.7] | 4.1 [3.3, 5.1] |
| Bone/soft tissue sarcoma 1 | 7543 | 0.4 [0.3, 0.6] | 1.5 [1.2, 1.9] | 3.7 [3.1, 4.5] |
| Cervical/uterine | 12,431 | 0.3 [0.2, 0.5] | 1.5 [1.3, 1.8] | 4.0 [3.5, 4.6] |
| Testicular germ cell | 15,210 | 0.1 [0.1, 0.2] | 1.0 [0.8, 1.2] | 3.6 [3.1, 4.2] |
| Melanoma | 22,913 | 0.1 [0.1, 0.2] | 0.9 [0.7, 1.0] | 2.4 [2.1, 2.7] |
| Thyroid | 20,983 | 0.2 [0.2, 0.3] | 0.9 [0.8, 1.1] | 2.5 [2.1, 2.9] |
| Other 1 | 36,205 | 0.3 [0.3, 0.4] | 1.6 [1.4, 1.8] | 4.2 [3.8, 4.6] |
| Death due to non-malignant causes | ||||
| All cancers 1 | 161,207 2 | 1.1 [1.0, 1.1] | 4.0 [3.9, 4.1] | 9.1 [8.9, 9.4] |
| Breast, female | 24,892 | 0.8 [0.6, 0.9] | 3.0 [2.8, 3.3] | 7.4 [6.8, 8.0] |
| Hodgkin lymphoma | 12,581 | 1.5 [1.3, 1.8] | 6.1 [5.6, 6.6] | 15.9 [14.9, 17.0] |
| Non-Hodgkin lymphoma | 8449 | 1.6 [1.4, 2.0] | 5.7 [5.1, 6.4] | 11.7 [10.5, 13.0] |
| Bone/soft tissue sarcoma 1 | 7543 | 1.1 [0.9, 1.4] | 3.6 [3.1, 4.1] | 7.7 [6.8, 8.6] |
| Cervical/uterine | 12,431 | 1.0 [0.8, 1.2] | 4.3 [3.9, 4.8] | 10.7 [9.9, 11.5] |
| Testicular germ cell | 15,210 | 0.9 [0.7, 1.0] | 3.7 [3.4, 4.1] | 8.9 [8.2, 9.7] |
| Melanoma | 22,913 | 0.5 [0.4, 0.6] | 1.8 [1.6, 2.0] | 4.1 [3.7, 4.5] |
| Thyroid | 20,983 | 0.5 [0.4, 0.6] | 1.9 [1.7, 2.2] | 4.4 [3.9, 4.9] |
| Other 1 | 36,205 | 1.8 [1.6, 1.9] | 6.2 [5.9, 6.5] | 13.0 [12.5, 13.7] |
| Primary Cancer Site | Data Shown in Cause of Death Columns | All Causes | Malignant Causes | All Non- Malignant Causes | Cardio/Cerebrovascular | Infections | Pulmonary | Renal | Liver and Cirrhosis | Pregnancy and Childbirth | Suicide | Accidents | Homicides and Legal Intervention | All Other Coded Causes |
|---|---|---|---|---|---|---|---|---|---|---|---|---|---|---|
| All cancers 1 | Obs | 25,999 | 17,280 | 8378 | 2928 | 986 | 379 | 196 | 277 | 16 | 380 | 800 | 80 | 2336 |
| SMR [95% CI] | 2.93 [2.90, 2.97] | 6.35 [6.26, 6.45] | 1.37 [1.34, 1.40] | 1.38 [1.33, 1.43] | 1.97 [1.85, 2.10] | 1.11 [1.00, 1.23] | 1.85 [1.60, 2.13] | 0.94 [0.83, 1.06] | 3.13 [1.79, 5.08] | 1.15 [1.04, 1.27] | 1.02 [0.95, 1.09] | 0.71 [0.56, 0.88] | 1.55 [1.49, 1.62] | |
| Breast, female | Obs | 6357 | 5426 | 917 | 366 | 75 | 49 | 15 | 26 | 4 | 27 | 62 | 8 | 285 |
| SMR [95% CI] | 4.76 [4.65, 4.88] | 10.96 [10.67, 11.26] | 1.10 [1.03, 1.17] | 1.22 [1.10, 1.36] | 1.13 [0.89, 1.41] | 0.74 [0.55, 0.98] | 0.78 [0.44, 1.28] | 0.76 [0.50, 1.11] | 4.70 [1.28, 12.02] | 1.09 [0.72, 1.59] | 0.85 [0.65, 1.09] | 0.93 [0.40, 1.83] | 1.19 [1.05, 1.33] | |
| Hodgkin lymphoma | Obs | 2583 | 1368 | 1206 | 557 | 159 | 38 | 21 | 19 | 1 | 41 | 93 | 5 | 272 |
| SMR [95% CI] | 4.50 [4.33, 4.68] | 9.35 [8.87, 9.86] | 2.84 [2.68, 3.00] | 4.26 [3.91, 4.63] | 4.18 [3.56, 4.89] | 2.43 [1.72, 3.33] | 3.65 [2.26, 5.58] | 0.90 [0.54, 1.41] | 2.01 [0.05, 11.18] | 1.30 [0.93, 1.76] | 1.27 [1.02, 1.55] | 0.38 [0.12, 0.89] | 2.86 [2.53, 3.22] | |
| Non-Hodgkin lymphoma | Obs | 1454 | 846 | 602 | 157 | 180 | 19 | 13 | 13 | 0 | 23 | 50 | 8 | 139 |
| SMR [95% CI] | 3.55 [3.37, 3.73] | 7.66 [7.15, 8.20] | 2.02 [1.86, 2.19] | 1.54 [1.30, 1.80] | 7.11 [6.11, 8.23] | 1.46 [0.88, 2.28] | 2.82 [1.50, 4.83] | 0.87 [0.46, 1.49] | 0.00 [0.00, 17.80] | 1.22 [0.78, 1.84] | 1.15 [0.85, 1.51] | 1.06 [0.46, 2.09] | 2.05 [1.73, 2.42] | |
| Bone/soft tissue sarcoma 1 | Obs | 1256 | 866 | 373 | 132 | 36 | 14 | 4 | 12 | 2 | 19 | 48 | 7 | 99 |
| SMR [95% CI] | 2.97 [2.81, 3.14] | 7.37 [6.89, 7.88] | 1.23 [1.11, 1.36] | 1.27 [1.06, 1.51] | 1.31 [0.92, 1.82] | 1.00 [0.55, 1.67] | 0.77 [0.21, 1.97] | 0.86 [0.44, 1.50] | 7.40 [0.90, 26.72] | 1.09 [0.66, 1.71] | 1.13 [0.84, 1.50] | 0.84 [0.34, 1.73] | 1.40 [1.14, 1.70] | |
| Cervical/ uterine | Obs | 1774 | 844 | 923 | 307 | 80 | 67 | 33 | 23 | 1 | 20 | 73 | 8 | 311 |
| SMR [95% CI] | 2.29 [2.19, 2.40] | 2.96 [2.77, 3.17] | 1.90 [1.78, 2.03] | 1.78 [1.59, 2.00] | 2.04 [1.62, 2.54] | 1.80 [1.39, 2.28] | 2.96 [2.04, 4.16] | 1.15 [0.73, 1.73] | 1.70 [0.04, 9.50] | 1.31 [0.80, 2.03] | 1.64 [1.29, 2.07] | 1.40 [0.61, 2.76] | 2.23 [1.99, 2.49] | |
| Testicular germ cell | Obs | 1384 | 571 | 801 | 265 | 93 | 18 | 15 | 48 | - | 70 | 98 | 11 | 183 |
| SMR [95% CI] | 1.31 [1.24, 1.38] | 2.29 [1.20, 2.48] | 1.00 [0.93, 1.07] | 0.96 [0.85, 1.09] | 1.40 [1.13, 1.72] | 0.62 [0.37, 0.98] | 1.51 [0.85, 2.49] | 1.07 [0.79, 1.42] | - | 1.11 [0.87, 1.41] | 0.76 [0.61, 0.92] | 0.64 [0.32, 1.14] | 1.10 [0.95, 1.27] | |
| Melanoma | Obs | 2134 | 1568 | 553 | 169 | 57 | 15 | 5 | 18 | 3 | 55 | 65 | 6 | 160 |
| SMR [95% CI] | 1.57 [1.50, 1.64] | 3.69 [3.51, 3.88] | 0.60 [0.55, 0.65] | 0.52 [0.44, 0.60] | 0.82 [0.62, 1.06] | 0.27 [0.15, 0.44] | 0.34 [0.11, 0.80] | 0.38 [0.22, 0.60] | 4.50 [0.93, 13.15] | 1.04 [0.78, 1.35] | 0.55 [0.42, 0.70] | 0.46 [0.17, 0.99] | 0.70 [0.60, 0.82] | |
| Thyroid | Obs | 945 | 427 | 514 | 166 | 37 | 26 | 18 | 18 | 1 | 26 | 58 | 2 | 162 |
| SMR [95% CI] | 0.96 [0.90, 1.03] | 1.33 [1.21, 1.46] | 0.78 [0.72, 0.85] | 0.75 [0.64, 0.87] | 0.72 [0.51, 0.99] | 0.65 [0.42, 0.95] | 1.53 [0.90, 2.41] | 0.57 [0.34, 0.90] | 1.03 [0.03, 5.76] | 0.78 [0.51, 1.15] | 0.70 [0.53, 0.90] | 0.19 [0.02, 0.68] | 0.95 [0.81, 1.11] | |
| Other 1 | Obs | 8112 | 5364 | 2489 | 809 | 269 | 133 | 72 | 100 | 4 | 99 | 253 | 25 | 725 |
| SMR [95% CI] | 4.16 [4.07, 4.26] | 9.40 [9.15, 9.66] | 1.82 [1.75, 1.89] | 1.65 [1.54, 1.77] | 2.33 [2.06, 2.62] | 1.90 [1.59, 2.26] | 3.04 [2.38, 3.83] | 1.52 [1.24, 1.85] | 3.76 [1.02, 9.62] | 1.35 [1.09, 1.64] | 1.44 [1.27, 1.63] | 0.88 [0.57, 1.30] | 2.23 [2.07, 2.40] |
Publisher’s Note: MDPI stays neutral with regard to jurisdictional claims in published maps and institutional affiliations. |
© 2021 by the authors. Licensee MDPI, Basel, Switzerland. This article is an open access article distributed under the terms and conditions of the Creative Commons Attribution (CC BY) license (https://creativecommons.org/licenses/by/4.0/).
Share and Cite
Moke, D.J.; Song, Z.; Liu, L.; Hamilton, A.S.; Deapen, D.; Freyer, D.R. A Population-Based Analysis of 30-Year Mortality among Five-Year Survivors of Adolescent and Young Adult Cancer: The Roles of Primary Cancer, Subsequent Malignancy, and Other Health Conditions. Cancers 2021, 13, 3956. https://doi.org/10.3390/cancers13163956
Moke DJ, Song Z, Liu L, Hamilton AS, Deapen D, Freyer DR. A Population-Based Analysis of 30-Year Mortality among Five-Year Survivors of Adolescent and Young Adult Cancer: The Roles of Primary Cancer, Subsequent Malignancy, and Other Health Conditions. Cancers. 2021; 13(16):3956. https://doi.org/10.3390/cancers13163956
Chicago/Turabian StyleMoke, Diana J., Ziwei Song, Lihua Liu, Ann S. Hamilton, Dennis Deapen, and David R. Freyer. 2021. "A Population-Based Analysis of 30-Year Mortality among Five-Year Survivors of Adolescent and Young Adult Cancer: The Roles of Primary Cancer, Subsequent Malignancy, and Other Health Conditions" Cancers 13, no. 16: 3956. https://doi.org/10.3390/cancers13163956
APA StyleMoke, D. J., Song, Z., Liu, L., Hamilton, A. S., Deapen, D., & Freyer, D. R. (2021). A Population-Based Analysis of 30-Year Mortality among Five-Year Survivors of Adolescent and Young Adult Cancer: The Roles of Primary Cancer, Subsequent Malignancy, and Other Health Conditions. Cancers, 13(16), 3956. https://doi.org/10.3390/cancers13163956

