Prognostication of Primary Tumor Location in Early-Stage Nodal Diffuse Large B-Cell Lymphoma: An Analysis of the SEER Database
Abstract
:Simple Summary
Abstract
1. Introduction
2. Materials and Methods
2.1. Patient Enrollment
2.2. End Points
2.3. Standard of Grouping
2.4. Statistical Analysis
2.5. Microarray Data
2.6. Data Preprocessing and Differential Expression Genes Screening
2.7. Functional and Pathway Enrichment Analysis
2.8. Gene Set Enrichment Analysis
3. Results
3.1. Clinical Characteristics of Patients
3.2. Survival Analyses
3.3. Propensity Score Matching
3.4. Adjusted Model
3.5. Identification of DEGs
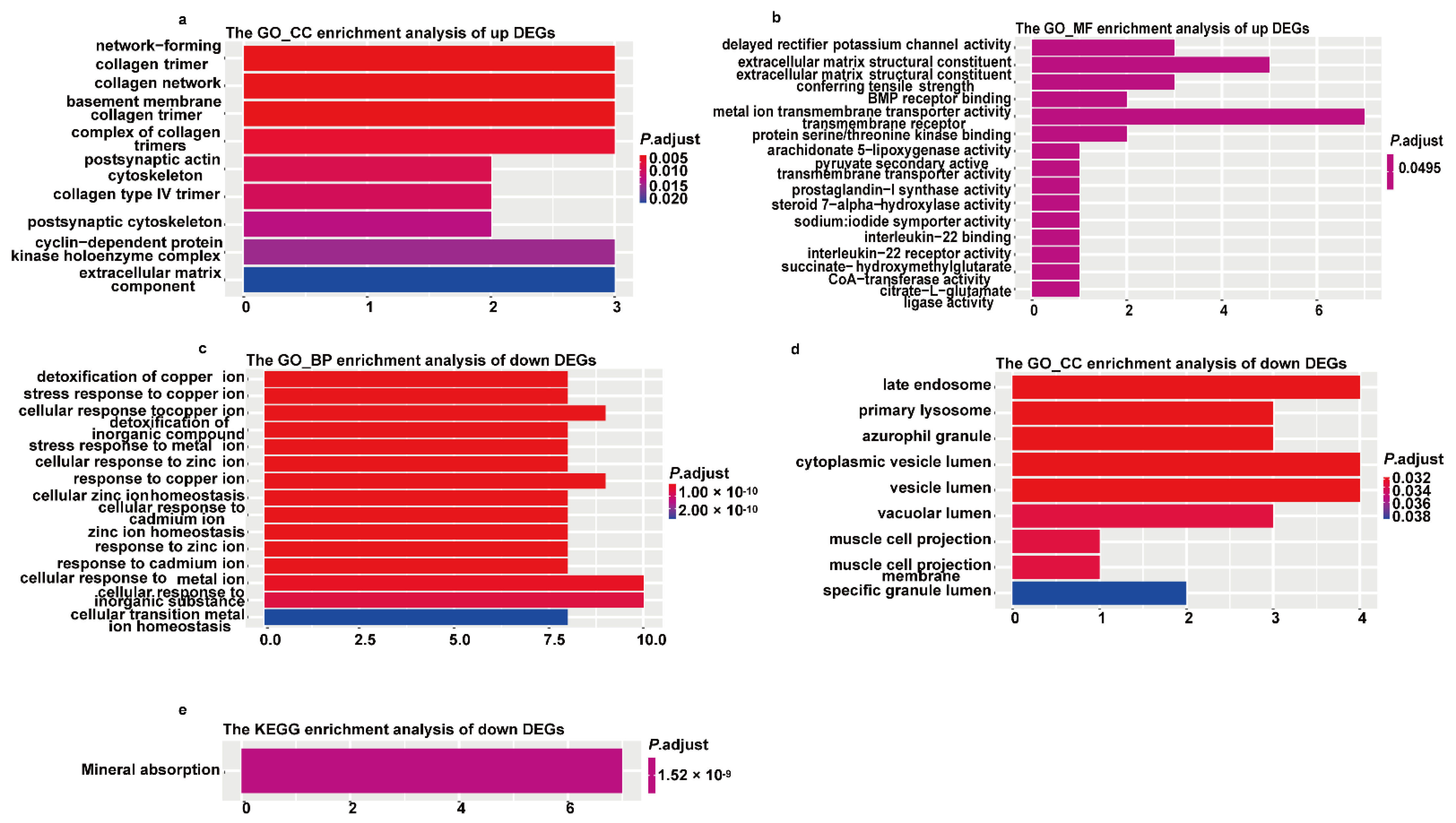
3.6. GO and KEGG Pathway Analysis for DEGs
3.7. GSEA Analysis of the Gene Expression Files in the Sub-DLBCL Group versus the Sup-DLBCL Group
4. Discussion
5. Conclusions
Author Contributions
Funding
Institutional Review Board Statement
Informed Consent Statement
Data Availability Statement
Acknowledgments
Conflicts of Interest
References
- Bakhshi, T.J.; Georgel, P.T. Genetic and epigenetic determinants of diffuse large B-cell lymphoma. Blood Cancer J. 2020, 10, 1–23. [Google Scholar] [CrossRef] [PubMed]
- Kumar, A.; Persky, D.O. Treatment of Early (Limited)-Stage DLBCL. Clin. Lymphoma Myeloma Leuk. 2020, 20, S34–S36. [Google Scholar] [CrossRef]
- Li, S.; Young, K.H.; Medeiros, L.J. Diffuse large B-cell lymphoma. Pathology 2018, 50, 74–87. [Google Scholar] [CrossRef] [Green Version]
- Coiffier, B.; Thieblemont, C.; Neste, E.V.D.; Lepeu, G.; Plantier, I.; Castaigne, S.; Lefort, S.; Marit, G.; Macro, M.; Sebban, C.; et al. Long-term outcome of patients in the LNH-98.5 trial, the first randomized study comparing rituximab-CHOP to standard CHOP chemotherapy in DLBCL patients: A study by the Groupe d’Etudes des Lymphomes de l’Adulte. Blood 2010, 116, 2040–2045. [Google Scholar] [CrossRef] [PubMed]
- Sehn, L.H.; Donaldson, J.; Chhanabhai, M.; Fitzgerald, C.; Gill, K.; Klasa, R.; MacPherson, N.; O’Reilly, S.; Spinelli, J.J.; Sutherland, J.; et al. Introduction of Combined CHOP Plus Rituximab Therapy Dramatically Improved Outcome of Diffuse Large B-Cell Lymphoma in British Columbia. J. Clin. Oncol. 2005, 23, 5027–5033. [Google Scholar] [CrossRef]
- Habermann, T.M.; Weller, E.A.; Morrison, V.A.; Gascoyne, R.D.; Cassileth, P.A.; Cohn, J.B.; Dakhil, S.R.; Woda, B.; Fisher, R.I.; Peterson, B.A.; et al. Rituximab-CHOP Versus CHOP Alone or With Maintenance Rituximab in Older Patients with Diffuse Large B-Cell Lymphoma. J. Clin. Oncol. 2006, 24, 3121–3127. [Google Scholar] [CrossRef]
- Sarkozy, C.; Sehn, L.H. Management of relapsed/refractory DLBCL. Best Pract. Res. Clin. Haematol. 2018, 31, 209–216. [Google Scholar] [CrossRef]
- Schmitz, R.; Wright, G.W.; Huang, D.W.; Johnson, C.A.; Phelan, J.D.; Wang, J.Q.; Roulland, S.; Kasbekar, M.; Young, R.M.; Shaffer, A.L.; et al. Genetics and Pathogenesis of Diffuse Large B-Cell Lymphoma. N. Engl. J. Med. 2018, 378, 1396–1407. [Google Scholar] [CrossRef]
- Chapuy, B.; Stewart, C.; Dunford, A.J.; Kim, J.; Kamburov, A.; Redd, R.A.; Lawrence, M.S.; Roemer, M.G.; Li, A.J.; Ziepert, M.; et al. Molecular subtypes of diffuse large B cell lymphoma are associated with distinct pathogenic mechanisms and outcomes. Nat. Med. 2018, 24, 679–690. [Google Scholar] [CrossRef]
- Lacy, S.E.; Barrans, S.L.; Beer, P.A.; Painter, D.; Smith, A.G.; Roman, E.; Cooke, S.L.; Ruiz, C.; Glover, P.; Van Hoppe, S.J.L.; et al. Targeted sequencing in DLBCL, molecular subtypes, and outcomes: A Haematological Malignancy Research Network report. Blood 2020, 135, 1759–1771. [Google Scholar] [CrossRef]
- International Non-Hodgkin’s Lymphoma Prognostic Factors Project. A predictive model for aggressive non-Hodgkin’s lymphoma. N. Engl. J. Med. 1993, 329, 987–994. [Google Scholar] [CrossRef]
- Zhou, Z.; Sehn, L.H.; Rademaker, A.W.; Gordon, L.; LaCasce, A.S.; Crosby-Thompson, A.; Vanderplas, A.; Zelenetz, A.; Abel, G.A.; Rodriguez, M.A.; et al. An enhanced International Prognostic Index (NCCN-IPI) for patients with diffuse large B-cell lymphoma treated in the rituximab era. Blood 2014, 123, 837–842. [Google Scholar] [CrossRef]
- Zucca, E.; Cavalli, F. Extranodal lymphomas. Ann. Oncol. 2000, 11, 219–222. [Google Scholar] [CrossRef]
- Zucca, E.; Roggero, E.; Bertoni, F.; Cavalli, F. Primary extranodal non-Hodgkin’s lymphomas. Part 1: Gastrointestinal, cutaneous and genitourinary lymphomas. Ann. Oncol. Off. J. Eur. Soc. Med Oncol. 1997, 8, 727–737. [Google Scholar] [CrossRef] [PubMed]
- Zucca, E.; Roggero, E.; Bertoni, F.; Conconi, A.; Cavalli, F. Primary extranodal non-Hodgkin’s lymphomas. Part 2: Head and neck, central nervous system and other less common sites. Ann. Oncol. Off. J. Eur. Soc. Med Oncol. 1999, 10, 1023–1033. [Google Scholar] [CrossRef] [PubMed]
- Harris, N.L.; Jaffe, E.S.; Stein, H.; Banks, P.M.; Chan, J.K.; Cleary, M.L.; Delsol, G.; De Wolf-Peeters, C.; Falini, B.; Gatter, K.C. A revised European-American classification of lymphoid neoplasms: A proposal from the International Lymphoma Study Group. Blood 1994, 84, 1361–1392. [Google Scholar] [CrossRef] [Green Version]
- Castillo, J.J.; Winer, E.S.; Olszewski, A. Sites of extranodal involvement are prognostic in patients with diffuse large B-cell lymphoma in the rituximab era: An analysis of the Surveillance, Epidemiology and End Results database. Am. J. Hematol. 2014, 89, 310–314. [Google Scholar] [CrossRef]
- Takahashi, H.; Tomita, N.; Yokoyama, M.; Tsunoda, S.; Yano, T.; Murayama, K.; Hashimoto, C.; Tamura, K.; Sato, K.; Ishigatsubo, Y. Prognostic impact of extranodal involvement in diffuse large B-cell lymphoma in the rituximab era. Cancer 2012, 118, 4166–4172. [Google Scholar] [CrossRef] [PubMed]
- Shi, Y.; Han, Y.; Yang, J.; Liu, P.; He, X.; Zhang, C.; Zhou, S.; Zhou, L.; Qin, Y.; Song, Y.; et al. Clinical features and outcomes of diffuse large B-cell lymphoma based on nodal or extranodal primary sites of origin: Analysis of 1,085 WHO classified cases in a single institution in China. Chin. J. Cancer Res. 2019, 31, 152–161. [Google Scholar] [CrossRef]
- Lontos, K.; Tsagianni, A.; Yuan, J.-M.; Normolle, D.P.; Boyiadzis, M.; Hou, J.-Z.; Swerdlow, S.H.; Dorritie, K.A. Location matters in early stage nodal diffuse large B-cell lymphoma. Leuk. Lymphoma 2019, 60, 250–253. [Google Scholar] [CrossRef]
- Lal, A.; Bhurgri, Y.; Vaziri, I.; Rizvi, N.B.; Sadaf, A.; Sartajuddin, S.; Islam, M.; Kumar, P.; Adil, S.; Kakepoto, G.N.; et al. Extranodal non-Hodgkin’s lymphomas--a retrospective review of clinico-pathologic features and outcomes in comparison with nodal non-Hodgkin’s lymphomas. Asian Pac. J. Cancer Prev. APJCP 2008, 9, 453–458. [Google Scholar] [PubMed]
- Rosenwald, A.; Wright, G.; Chan, W.C.; Connors, J.M.; Campo, E.; Fisher, R.I.; Gascoyne, R.D.; Muller-Hermelink, H.K.; Smeland, E.B.; Giltnane, J.M.; et al. The Use of Molecular Profiling to Predict Survival after Chemotherapy for Diffuse Large-B-Cell Lymphoma. N. Engl. J. Med. 2002, 346, 1937–1947. [Google Scholar] [CrossRef]
- Aukema, S.M.; Siebert, R.; Schuuring, E.; Van Imhoff, G.W.; Kluin-Nelemans, J.C.; Boerma, E.-J.; Kluin, P.M. Double-hit B-cell lymphomas. Blood 2011, 117, 2319–2331. [Google Scholar] [CrossRef] [Green Version]
- Hans, C.P.; Weisenburger, D.D.; Greiner, T.C.; Gascoyne, R.D.; Delabie, J.; Ott, G.; Müller-Hermelink, H.K.; Campo, E.; Braziel, R.M.; Jaffe, E.S.; et al. Confirmation of the molecular classification of diffuse large B-cell lymphoma by immunohistochemistry using a tissue microarray. Blood 2004, 103, 275–282. [Google Scholar] [CrossRef]
- Young, R.M.; Phelan, J.D.; Shaffer, A.L.; Wright, G.W.; Huang, D.W.; Schmitz, R.; Johnson, C.; Oellerich, T.; Wilson, W.; Staudt, L.M. Taming the Heterogeneity of Aggressive Lymphomas for Precision Therapy. Annu. Rev. Cancer Biol. 2019, 3, 429–455. [Google Scholar] [CrossRef]
- Barraclough, A.; Alzahrani, M.; Ettrup, M.S.; Bishton, M.; Van Vliet, C.; Farinha, P.; Gould, C.; Birch, S.; Sehn, L.H.; Sovani, V.; et al. COO and MYC/BCL2 status do not predict outcome among patients with stage I/II DLBCL: A retrospective multicenter study. Blood Adv. 2019, 3, 2013–2021. [Google Scholar] [CrossRef] [PubMed]
- Kumar, A.; Lunning, M.A.; Zhang, Z.; Migliacci, J.C.; Moskowitz, C.H.; Zelenetz, A.D. Excellent outcomes and lack of prognostic impact of cell of origin for localized diffuse large B-cell lymphoma in the rituximab era. Br. J. Haematol. 2015, 171, 776–783. [Google Scholar] [CrossRef] [PubMed]
- Grass, G.D.; Mills, M.N.; Ahmed, K.A.; Liveringhouse, C.L.; Montejo, M.J.; Robinson, T.J.; Chavez, J.C.; Harrison, L.B.; Kim, S. Radiotherapy for early stage diffuse large B-cell lymphoma with or without double or triple hit genetic alterations. Leuk. Lymphoma 2019, 60, 886–893. [Google Scholar] [CrossRef]
- Persky, D.O.; Li, H.; Stephens, D.M.; Park, S.I.; Bartlett, N.L.; Swinnen, L.J.; Barr, P.M.; Iii, J.D.W.; Constine, L.S.; Fitzgerald, T.J.; et al. Positron Emission Tomography–Directed Therapy for Patients With Limited-Stage Diffuse Large B-Cell Lymphoma: Results of Intergroup National Clinical Trials Network Study S1001. J. Clin. Oncol. 2020, 38, JCO2000999. [Google Scholar] [CrossRef]
- Augustyn, A.; Medeiros, L.J.; Ludmir, E.B.; Gunther, J.; Fang, P.; Li, S.; Ok, C.Y.; Bankston, M.E.; Verma, V.; Pasalic, D.; et al. The impact of cell-of-origin, MYC/Bcl-2 dual expression and MYC rearrangement on disease relapse among early stage diffuse large B-cell lymphoma patients treated with combined modality therapy. Leuk. Lymphoma 2021, 62, 1–12. [Google Scholar] [CrossRef]
- Torka, P.; Kothari, S.K.; Sundaram, S.; Li, S.; Medeiros, L.J.; Ayers, E.C.; Landsburg, D.J.; Bond, D.A.; Maddocks, K.J.; Giri, A.; et al. Outcomes of patients with limited-stage aggressive large B-cell lymphoma with high-risk cytogenetics. Blood Adv. 2020, 4, 253–262. [Google Scholar] [CrossRef] [PubMed] [Green Version]
- Oskarsson, T. Extracellular matrix components in breast cancer progression and metastasis. Breast 2013, 22, S66–S72. [Google Scholar] [CrossRef]
- Erdogan, B.; Webb, D.J. Cancer-associated fibroblasts modulate growth factor signaling and extracellular matrix remodeling to regulate tumor metastasis. Biochem. Soc. Trans. 2017, 45, 229–236. [Google Scholar] [CrossRef] [PubMed] [Green Version]
- Jena, M.K.; Janjanam, J. Role of extracellular matrix in breast cancer development: A brief update. F1000Research 2018, 7, 274. [Google Scholar] [CrossRef]
- Kai, F.; Drain, A.P.; Weaver, V.M. The Extracellular Matrix Modulates the Metastatic Journey. Dev. Cell 2019, 49, 332–346. [Google Scholar] [CrossRef]
- Eble, J.A.; Niland, S. The extracellular matrix in tumor progression and metastasis. Clin. Exp. Metastasis 2019, 36, 171–198. [Google Scholar] [CrossRef]
- Moreira, A.M.; Pereira, J.; Melo, S.; Fernandes, M.S.; Carneiro, P.; Seruca, R.; Figueiredo, J. The Extracellular Matrix: An Accomplice in Gastric Cancer Development and Progression. Cells 2020, 9, 394. [Google Scholar] [CrossRef] [Green Version]
- Cioroianu, A.I.; Stinga, P.I.; Sticlaru, L.; Cioplea, M.D.; Nichita, L.; Popp, C.; Staniceanu, F. Tumor Microenvironment in Diffuse Large B-Cell Lymphoma: Role and Prognosis. Anal. Cell. Pathol. 2019, 2019, 1–9. [Google Scholar] [CrossRef] [PubMed] [Green Version]
- Mulder, T.A.; Wahlin, B.E.; Österborg, A.; Palma, M. Targeting the Immune Microenvironment in Lymphomas of B-Cell Origin: From Biology to Clinical Application. Cancers 2019, 11, 915. [Google Scholar] [CrossRef] [PubMed] [Green Version]
- Pan, T.; He, Y.; Chen, H.; Pei, J.; Li, Y.; Zeng, R.; Xia, J.; Zuo, Y.; Qin, L.; Chen, S.; et al. Identification and Validation of a Prognostic Gene Signature for Diffuse Large B-Cell Lymphoma Based on Tumor Microenvironment-Related Genes. Front. Oncol. 2021, 11, 59. [Google Scholar] [CrossRef] [PubMed]
- Bignon, M.; Pichol-Thievend, C.; Hardouin, J.; Malbouyres, M.; Bréchot, N.; Nasciutti, L.; Barret, A.; Teillon, J.; Guillon, E.; Etienne, E.; et al. Lysyl oxidase-like protein-2 regulates sprouting angiogenesis and type IV collagen assembly in the endothelial basement membrane. Blood 2011, 118, 3979–3989. [Google Scholar] [CrossRef] [PubMed]
- Lochter, A.; Bissell, M.J. Involvement of extracellular matrix constituents in breast cancer. Semin. Cancer Biol. 1995, 6, 165–173. [Google Scholar] [CrossRef] [PubMed] [Green Version]
- Anderson, K.J.; Cormier, R.T.; Scott, P.M. Role of ion channels in gastrointestinal cancer. World J. Gastroenterol. 2019, 25, 5732–5772. [Google Scholar] [CrossRef] [PubMed]
- Prevarskaya, N.; Skryma, R.; Shuba, Y. Ion Channels in Cancer: Are Cancer Hallmarks Oncochannelopathies? Physiol. Rev. 2018, 98, 559–621. [Google Scholar] [CrossRef] [Green Version]
- Castro, F.; Cardoso, A.P.; Goncalves, R.M.; Serre, K.; Oliveira, M.J. Interferon-Gamma at the Crossroads of Tumor Immune Surveillance or Evasion. Front. Immunol. 2018, 9, 847. [Google Scholar] [CrossRef] [PubMed] [Green Version]
- Alspach, E.; Lussier, D.M.; Schreiber, R.D. Interferon gamma and Its Important Roles in Promoting and Inhibiting Spontaneous and Therapeutic Cancer Immunity. Cold Spring Harb. Perspect. Biol. 2019, 11, a028480. [Google Scholar] [CrossRef] [Green Version]
- Vidal, P.S. Interferon α in cancer immunoediting: From elimination to escape. Scand. J. Immunol. 2020, 91, e12863. [Google Scholar] [CrossRef]
- Aricò, E.; Castiello, L.; Capone, I.; Gabriele, L.; Belardelli, F. Type I Interferons and Cancer: An Evolving Story Demanding Novel Clinical Applications. Cancers 2019, 11, 1943. [Google Scholar] [CrossRef] [PubMed] [Green Version]
- Sistigu, A.; Yamazaki, T.; Vacchelli, E.; Chaba, K.; Enot, D.P.; Adam, J.; Vitale, I.; Goubar, A.; Baracco, E.; Remédios, C.; et al. Cancer cell–autonomous contribution of type I interferon signaling to the efficacy of chemotherapy. Nat. Med. 2014, 20, 1301–1309. [Google Scholar] [CrossRef]
- Brenner, E.; Schörg, B.F.; Ahmetlić, F.; Wieder, T.; Hilke, F.J.; Simon, N.; Schroeder, C.; Demidov, G.; Riedel, T.; Fehrenbacher, B.; et al. Cancer immune control needs senescence induction by interferon-dependent cell cycle regulator pathways in tumours. Nat. Commun. 2020, 11, 1–19. [Google Scholar] [CrossRef] [Green Version]
- Hagner, P.R.; Man, H.-W.; Fontanillo, C.; Wang, M.; Couto, S.S.; Breider, M.; Bjorklund, C.C.; Havens, C.G.; Lu, G.; Rychak, E.; et al. CC-122, a pleiotropic pathway modifier, mimics an interferon response and has antitumor activity in DLBCL. Blood 2015, 126, 779–789. [Google Scholar] [CrossRef] [PubMed]
- Wang, C.; Li, W.; Liu, C.; He, H.; Bai, O. Analysis of clinical and immunophenotypic features along with treatment outcomes of diffuse large B cell lymphoma patients, based on the involvement of nodal or extranodal primary sites. Blood Cells Mol. Dis. 2016, 57, 42–49. [Google Scholar] [CrossRef] [PubMed]
- Gutiérrez-García, G.; Colomo, L.; Villamor, N.; Arenillas, L.; Martinez, A.; Cardesa, T.; Garcia-Herrera, A.; Setoain, X.; Rodriguez, S.; Ghita, G.; et al. Clinico-biological characterization and outcome of primary nodal and extranodal diffuse large B-cell lymphoma in the rituximab era. Leuk. Lymphoma 2010, 51, 1225–1232. [Google Scholar] [CrossRef] [PubMed]






| Characteristics | Total | Anatomical Sites | P-Value | ||
|---|---|---|---|---|---|
| Sup-DLBCL | Sub-DLBCL | ||||
| Patient, no. (%) | 9738 | 6083 (62.5) | 3655 (37.5) | ||
| Gender, n. (%) | 0.321 | ||||
| Male | 5371 (55.2) | 3331 (54.8) | 2040 (55.8) | ||
| Female | 4367 (44.8) | 2752 (45.2) | 1615 (44.2) | ||
| Age (mean) | 59.1 (±17.6) | 56.7 (±18.8) | 63.2 (±14.7) | <0.001 | |
| age, n. (%) | <0.001 | ||||
| ≤60 | 4731 (48.6) | 3267 (53.7) | 1464 (40.1) | ||
| >60 | 5007 (51.4) | 2816 (46.3) | 2191 (59.9) | ||
| Race, n. (%) | <0.001 | ||||
| White | 8234 (84.6) | 5004 (82.3) | 3230 (88.4) | ||
| Black | 677 (7.0) | 459 (7.5) | 218 (6.0) | ||
| Other | 827 (8.5) | 620 (10.2) | 207 (5.7) | ||
| Stage, n. (%) | <0.001 | ||||
| I | 5880 (60.4) | 3857 (63.4) | 2023 (55.3) | ||
| II | 3858 (39.6) | 2226 (36.6) | 1632 (44.7) | ||
| Survival times (median, range) | 66.7 (1.0–203.0) | 72.6 (1.0–203.0) | 57.7 (1.0–203.0) | <0.001 | |
| dead, n. (%) | 3288 (33.8) | 1843 (18.9) | 1445 (14.8) | ||
| Anatomical Sites | n (%) | Median Survival (Month) | 5-Year OS (%) | P-Value |
|---|---|---|---|---|
| All | 9738 | 185.0 | 74.8 | <0.001 |
| nodal of Sup-DLBCL | 6083 (62.5) | undefined | 78.0 | |
| nodal of Sub-DLBCL | 3655 (37.5) | 145.0 | 69.4 | |
| All (after PSM) | 7276 | 153.0 | 71.6 | <0.001 |
| Sup-DLBCL (after PSM) | 3638 (50.0) | 158.0 | 73.5 | |
| Sub-DLBCL (after PSM) | 3638 (50.0) | 146.0 | 69.6 |
| Characteristics | Total | Anatomical Sites | P-Value | ||
|---|---|---|---|---|---|
| Sup-DLBCL | Sub-DLBCL | ||||
| Patient, n. (%) | 7276 | 3638 (50.0) | 3638 (50.0) | ||
| Gender, n. (%) | 0.906 | ||||
| Male | 4052 (55.7) | 2029 (55.8) | 2023 (55.6) | ||
| Female | 3224 (44.3) | 1609 (44.2) | 1615 (44.4) | ||
| Age (mean ± SD) | (±16.4) | 63.3 (±15.79) | 63.1 (±14.7) | 0.689 | |
| age, n. (%) | 0.649 | ||||
| ≤60 | 2908 (40.0) | 1444 (39.7) | 1464 (40.2) | ||
| >60 | 4368 (60.0) | 2194 (60.3) | 2174 (59.8) | ||
| Race, n. (%) | 0.422 | ||||
| White | 6418 (88.2) | 3205 (88.1) | 3213 (88.3) | ||
| Black | 459 (6.3) | 241 (6.6) | 218 (6.0) | ||
| Other | 399 (5.5) | 192 (5.3) | 207 (5.7) | ||
| Stage, n. (%) | 0.015 | ||||
| I | 4138 (56.9) | 2121 (58.3) | 2017 (55.4) | ||
| II | 3138 (43.1) | 1517 (41.7) | 1621 (44.6) | ||
| Survival times (median, range) | 62.0 (1.0–203.0) | 65.0 (1.0–203.0) | 58.0 (1.0–203.0) | <0.001 | |
| dead, n. (%) | 2764 (38.0) | 1332 (18.3) | 1432 (19.7) | ||
| Variable | Univariate Analysis before PSM | Univariate Analysis after PSM | |||
|---|---|---|---|---|---|
| HR (95%CI) | P-Value | HR (95%CI) | P-Value | ||
| Gender | Female | 0.99 (0.92–1.06) | 0.715 | 1.01 (0.93–1.09) | 0.841 |
| Male | Reference | Reference | |||
| Age | ≤60 | Reference | Reference | ||
| >60 | 3.72 (3.43–4.02) | <0.001 | 3.43 (3.12–3.78) | <0.001 | |
| Race | White | Reference | Reference | ||
| Black | 1.15 (1.01–1.31) | 0.034 | 1.15 (0.99–1.34) | 0.061 | |
| Other | 0.83 (0.72–0.95) | 0.007 | 1.08 (0.91–1.28) | 0.358 | |
| Stage | I | Reference | Reference | ||
| II | 1.21 (1.13–1.30) | <0.001 | 1.13 (1.05–1.22) | <0.001 | |
| Site | Sup-DLBCL | Reference | Reference | ||
| Sub-DLBCL | 1.48 (1.38–1.58) | <0.001 | 1.15 (1.07–1.24) | <0.001 | |
| Overall Survival | HR (Sup-DLBCL vs. Sub-DLBCL) | 95%CI | P-Value | |
|---|---|---|---|---|
| Lower | Upper | |||
| Unadjusted | 1.48 | 1.38 | 1.58 | <0.001 |
| Multivariable Cox adjusted | 1.24 | 1.16 | 1.33 | <0.001 |
| PSM not-adjusted | 1.15 | 1.07 | 1.24 | <0.001 |
| PSM adjusted | 1.15 | 1.07 | 1.24 | <0.001 |
| Caption | Gene | logFC | P-Value | FDR |
|---|---|---|---|---|
| upregulate | ||||
| IGKV1D-16 | 8.727128 | 4.60 × 10−7 | 0.001584 | |
| IGKV1-8 | 7.285481 | 2.27 × 10−8 | 0.000117 | |
| MTCO3P12 | 6.25246 | 1.38 × 10−8 | 9.53 × 10−5 | |
| CCNA1 | 6.19943 | 1.45 × 10−5 | 0.010673 | |
| IGKV3-20 | 5.649626 | 2.71 × 10−6 | 0.003948 | |
| UMODL1 | 5.645779 | 2.95 × 10−6 | 0.003948 | |
| CLDN16 | 5.389993 | 0.000139 | 0.03425 | |
| OR13A1 | 5.30567 | 4.15 × 10−6 | 0.004761 | |
| SYBU | 5.069182 | 1.96 × 10−9 | 2.44 × 10−5 | |
| downregulate | ||||
| MT1H | −8.09573 | 0.000317 | 0.049648 | |
| CPA6 | −7.7316 | 0.000287 | 0.04742 | |
| BARX1 | −7.41026 | 3.62 × 10−5 | 0.017811 | |
| RETN | −6.5198 | 0.000278 | 0.047004 | |
| MT1M | −5.6572 | 6.33 × 10−5 | 0.024665 | |
| NACA3P | −3.65231 | 0.000228 | 0.044334 | |
| GNLY | −3.08913 | 1.90 × 10−5 | 0.012237 | |
| MT1F | −3.07549 | 2.03 × 10−5 | 0.012692 | |
| MT1E | −2.88335 | 2.41 × 10−5 | 0.013726 | |
| MT1X | −2.74386 | 3.25 × 10−6 | 0.003948 |
Publisher’s Note: MDPI stays neutral with regard to jurisdictional claims in published maps and institutional affiliations. |
© 2021 by the authors. Licensee MDPI, Basel, Switzerland. This article is an open access article distributed under the terms and conditions of the Creative Commons Attribution (CC BY) license (https://creativecommons.org/licenses/by/4.0/).
Share and Cite
Xia, Y.; Huang, S.; Wang, Y.; Lei, D.; Wang, Y.; Yang, H.; Gao, Y.; Liu, P. Prognostication of Primary Tumor Location in Early-Stage Nodal Diffuse Large B-Cell Lymphoma: An Analysis of the SEER Database. Cancers 2021, 13, 3954. https://doi.org/10.3390/cancers13163954
Xia Y, Huang S, Wang Y, Lei D, Wang Y, Yang H, Gao Y, Liu P. Prognostication of Primary Tumor Location in Early-Stage Nodal Diffuse Large B-Cell Lymphoma: An Analysis of the SEER Database. Cancers. 2021; 13(16):3954. https://doi.org/10.3390/cancers13163954
Chicago/Turabian StyleXia, Yi, Silan Huang, Yu Wang, Dexin Lei, Yanlou Wang, Hang Yang, Yan Gao, and Panpan Liu. 2021. "Prognostication of Primary Tumor Location in Early-Stage Nodal Diffuse Large B-Cell Lymphoma: An Analysis of the SEER Database" Cancers 13, no. 16: 3954. https://doi.org/10.3390/cancers13163954
APA StyleXia, Y., Huang, S., Wang, Y., Lei, D., Wang, Y., Yang, H., Gao, Y., & Liu, P. (2021). Prognostication of Primary Tumor Location in Early-Stage Nodal Diffuse Large B-Cell Lymphoma: An Analysis of the SEER Database. Cancers, 13(16), 3954. https://doi.org/10.3390/cancers13163954

