Heparin-Binding Protein 17/Fibroblast Growth Factor-Binding Protein-1 Knockout Inhibits Proliferation and Induces Differentiation of Squamous Cell Carcinoma Cells
Abstract
Simple Summary
Abstract
1. Introduction
2. Materials and Methods
2.1. Cell Culture
2.2. Isolation and Establishment of HBp17-Knockout A431 and HO-1-N-1 Cells
2.3. Extraction of RNA and Quantitative Reverse Transcription-Polymerase Chain Reaction Analysis
- HBp17: (NM_005130) 5′-CGTGTGCTCAGAACAAGGTG-3′, 5′-GAGCAGGGTGAGGCTACAGA-3′ #46 fluorescent probe (Roche Applied Science).
- FGF-2: (NM_002006.4) 5′-TTCTTCCTGCGCATCCAC-3′, 5′-TGCTTGAAGTTGTAGCTTGATGT-3′, #7 fluorescent probe (Roche Applied Science).
- FABP5: (NM_001444.2) 5′-GCAGACCCCTCTCTGCAC-3′, 5′-TCGCAAAGCTATTCCCACTC-3′, #11 fluorescent probe (Roche Applied Science).
- SPRR1A: (NM_001199828.1) 5′-TCGGGTGCATTTGAGGAT-3′, 5′-AAGGAAGACTAGGGATGGTTCA-3′, #60 fluorescent probe (Roche Applied Science).
- SPRR1B: (NM_003125.2) 5′-CAGAGTATTCCTCTCTTCACACCA-3′, 5′-CAAGGCTGTTTCACCTGCT-3′, #3 fluorescent probe (Roche Applied Science).
- IVL: (NM_005547.3) 5′-CCTAGCGGACCCGAAATAA-3′, 5′-GGCCCTCAGATCGTCTCATA-3′, #36 fluorescent probe (Roche Applied Science).
- LOR: (NM_000427.2) 5′-CAGACAAGATGTCTTATCAGAAAAAGC-3′, 5′-GAGGTCTTCACGCAGTCCA-3′, #30 fluorescent probe (Roche Applied Science).
- FLG: (NM_002016.1) 5′-GGACTCTGAGAGGCGATCTG-3′, 5′-TGCTCCCGAGAAGATCCAT-3′, #38 fluorescent probe (Roche Applied Science).
- GAPDH: (NM_020529) 5′-GCTCTCTGCTCCTCCTGTTC-3′, 5′-ACGACCAAATCCGTTGACTC-3′, #60 fluorescent probe.
2.4. SDS-PAGE and Western Blot
2.5. Immunofluorescent Analysis
2.6. Cell Growth and Colony Formation Assays
2.7. Cell Motility Assay
2.8. Enzyme-Linked Immunosorbent Assay for Soluble FGF-2
2.9. Animal Experiments
2.10. Microarray Analysis and Gene Ontology Enrichment Analysis
2.11. Proteomic Analysis
2.12. Protein–Protein Interaction Network Construction
2.13. Statistical Analysis
3. Results
3.1. Screening and Identification of HBp17 Gene Knockout
3.2. HBp17 Knockout Inhibits Proliferation and Colony-Forming Ability of A431 and HO-1-N-1 Cells In Vitro
3.3. HBp17 Knockout Inhibits A431 and HO-1-N-1 Cell Motility
3.4. HBp17 Knockout Inhibits Tumor Growth in Athymic Nude Mice
3.5. Microarray Analysis and GO Enrichment Analysis
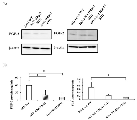
3.6. Proteomic Analysis
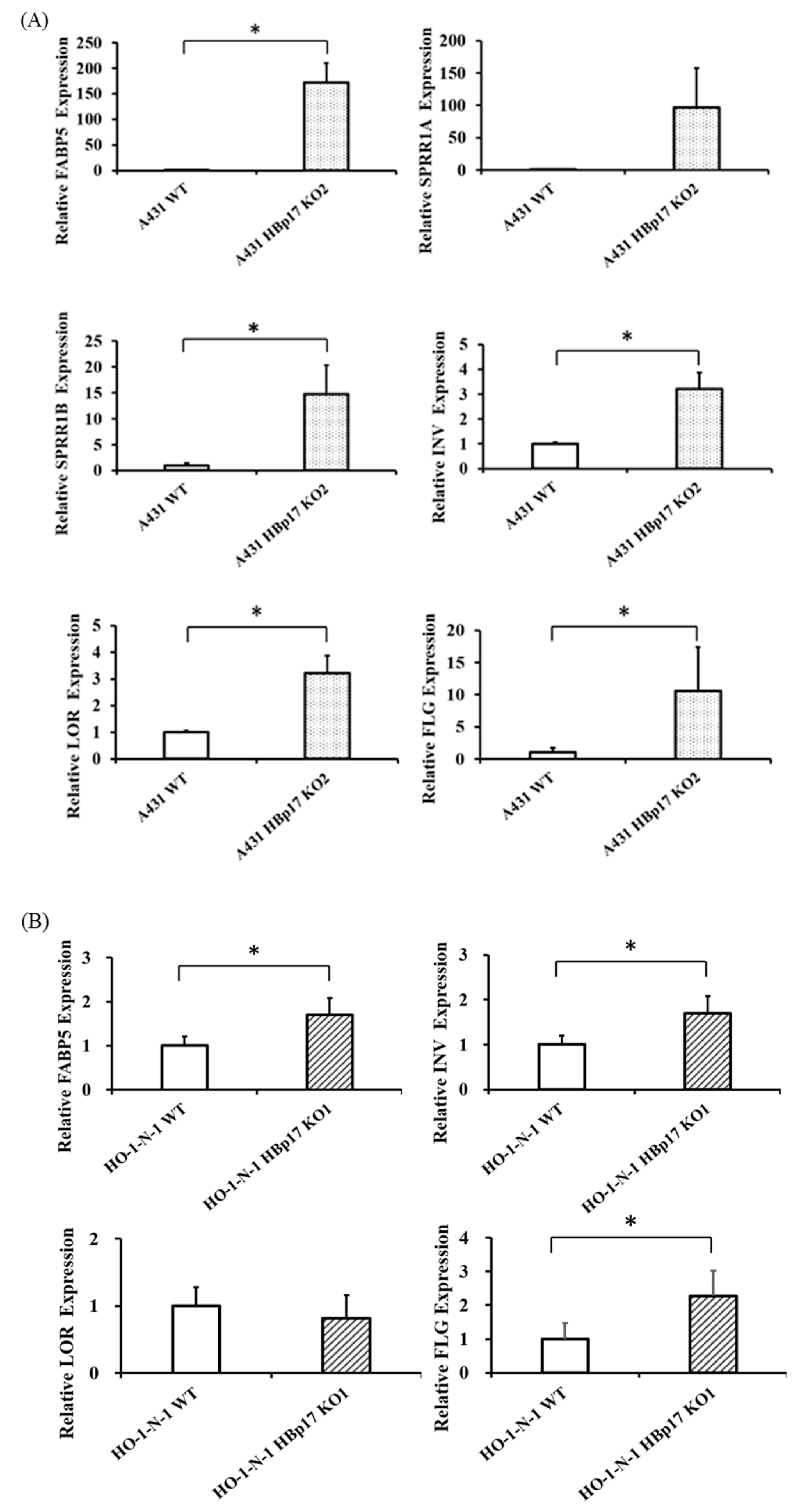
3.7. Validation of Expressions of Terminal Differentiation-Related Molecules in A431-KO and HO-1-N-1-KO Cells
4. Discussion
5. Conclusions
Supplementary Materials
Author Contributions
Funding
Institutional Review Board Statement
Data Availability Statement
Acknowledgments
Conflicts of Interest
References
- Burgess, W.H.; Maciag, T. The heparin-binding (fibroblast) growth factor family of proteins. Annu. Rev. Biochem. 1989, 58, 575–606. [Google Scholar] [CrossRef]
- Klagsbrun, M. The fibroblast growth factor family: Structural and biological properties. Prog. Growth Factor Res. 1989, 1, 207–235. [Google Scholar] [CrossRef]
- Itoh, N.; Ornitz, D.M. Fibroblast growth factors: From molecular evolution to roles in development, metabolism and disease. J. Biochem. 2011, 149, 121–130. [Google Scholar] [CrossRef]
- Myoken, Y.; Myoken, Y.; Okamoto, T.; Sato, J.D.; Takada, K. Immunocytochemical localization of fibroblast growth factor-1 (FGF-1) and FGF-2 in oral squamous cell carcinoma (SCC). J. Oral Pathol. Med. 1994, 23, 451–456. [Google Scholar] [CrossRef]
- Myoken, Y.; Myoken, Y.; Okamoto, T.; Sato, J.D.; Takada, K. Effect of fibroblast growth factor-1 on the three-dimensional growth and morphogenesis of human salivary gland epithelial cells embedded in collagen gels. Vitro Cell. Dev. Biol. Anim. 1995, 31, 84–86. [Google Scholar] [CrossRef]
- Bennett, M.R.; Gibson, D.F.; Schwartz, S.M.; Tait, J.F. Binding and phagocytosis of apoptotic vascular smooth muscle cells is mediated in part by exposure of phosphatidylserine. Circ. Res. 1995, 77, 1136–1142. [Google Scholar] [CrossRef]
- Burland, T.G.; Bailey, J.; Adam, L.; Mukhopadhyay, M.J.; Dove, W.F.; Pallotta, D. Transient expression in Physarum of a chloramphenicol acetyltransferase gene under the control of actin gene promoters. Curr. Genet. 1992, 21, 393–398. [Google Scholar] [CrossRef]
- Wu, D.Q.; Kan, M.K.; Sato, G.H.; Okamoto, T.; Sato, J.D. Characterization and molecular cloning of a putative binding protein for heparin-binding growth factors. J. Biol. Chem. 1991, 266, 16778–16785. [Google Scholar] [CrossRef]
- Okamoto, T.; Tanaka, Y.; Kan, M.; Sakamoto, A.; Takada, K.; Sato, J.D. Expression of fibroblast growth factor binding protein HBp17 in normal and tumor cells. Vitro Cell. Dev. Biol. Anim. 1996, 32, 69–71. [Google Scholar] [CrossRef]
- Begum, S.; Zhang, Y.; Shintani, T.; Toratani, S.; Sato, J.D.; Okamoto, T. Immunohistochemical expression of heparin-binding protein 17/fibroblast growth factor-binding protein-1 (HBp17/FGFBP-1) as an angiogenic factor in head and neck tumorigenesis. Oncol. Rep. 2007, 17, 591–596. [Google Scholar] [CrossRef] [PubMed][Green Version]
- Czubayko, F.; Liaudet-Coopman, E.D.; Aigner, A.; Tuveson, A.T.; Berchem, G.J.; Wellstein, A. A secreted FGF-binding protein can serve as the angiogenic switch in human cancer. Nat. Med. 1997, 3, 1137–1140. [Google Scholar] [CrossRef]
- Liu, X.; Shi, S.; Chen, J.-H.; Wu, D.; Kan, M.; Myoken, Y.; Okamoto, T.; Sato, J.D. Human Fibroblast Growth Factor-Binding Protein HBp17 Enhances the Tumorigenic Potential of Immortalized Squamous Epithelial Cells. In Animal Cell Technology: Basic & Applied Aspects: Proceedings of the Thirteenth Annual Meeting of the Japanese Association for Animal Cell Technology (JAACT), Fukuoka-Karatsu, Japan, 16–21 November 2000; Shirahata, S., Teruya, K., Katakura, Y., Eds.; Springer: Dordrecht, The Netherlands, 2002; pp. 343–352. [Google Scholar] [CrossRef]
- Rosli, S.N.; Shintani, T.; Hayashido, Y.; Toratani, S.; Usui, E.; Okamoto, T. 1α,25OH2D3 down-regulates HBp17/FGFBP-1 expression via NF-κB pathway. J. Steroid Biochem. Mol. Biol. 2013, 136, 98–101. [Google Scholar] [CrossRef]
- Rosli, S.N.Z.B.; Shintani, T.; Toratani, S.; Usui, E.; Okamoto, T. 1α,25(OH)2D3 inhibits FGF-2 release from oral squamous cell carcinoma cells through down-regulation of HBp17/FGFBP-1. Vitro Cell. Dev. Biol. Anim. 2014, 50, 802–806. [Google Scholar] [CrossRef]
- Shintani, T.; Rosli, S.N.Z.; Takatsu, F.; Choon, Y.F.; Hayashido, Y.; Toratani, S.; Usui, E.; Okamoto, T. Eldecalcitol (ED-71), an analog of 1α,25-dihydroxyvitamin D3 as a potential anti-cancer agent for oral squamous cell carcinomas. J. Steroid Biochem. Mol. Biol. 2016, 164, 79–84. [Google Scholar] [CrossRef]
- Shintani, T.; Takatsu, F.; Rosli, S.N.Z.; Usui, E.; Hamada, A.; Sumi, K.; Hayashido, Y.; Toratani, S.; Okamoto, T. Eldecalcitol (ED-71), an analog of 1α,25(OH)(2)D(3), inhibits the growth of squamous cell carcinoma (SCC) cells in vitro and in vivo by down-regulating expression of heparin-binding protein 17/fibroblast growth factor-binding protein-1 (HBp17/FGFBP-1) and FGF-2. Vitro Cell. Dev. Biol. Anim. 2017, 53, 810–817. [Google Scholar] [CrossRef]
- Higaki, M.; Shintani, T.; Hamada, A.; Rosli, S.N.Z.; Okamoto, T. Eldecalcitol (ED-71)-induced exosomal miR-6887-5p suppresses squamous cell carcinoma cell growth by targeting heparin-binding protein 17/fibroblast growth factor-binding protein-1 (HBp17/FGFBP-1). Vitro Cell. Dev. Biol. Anim. 2020, 56, 222–233. [Google Scholar] [CrossRef]
- Fabricant, R.N.; De Larco, J.E.; Todaro, G.J. Nerve growth factor receptors on human melanoma cells in culture. Proc. Natl. Acad. Sci. USA 1977, 74, 565–569. [Google Scholar] [CrossRef] [PubMed]
- Okamoto, T.; Tani, R.; Yabumoto, M.; Sakamoto, A.; Takada, K.; Sato, G.H.; Sato, J.D. Effects of insulin and transferrin on the generation of lymphokine-activated killer cells in serum-free medium. J. Immunol. Methods 1996, 195, 7–14. [Google Scholar] [CrossRef]
- Sato, J.D.; Kawamoto, T.; Okamoto, T. Cholesterol requirement of P3-X63-Ag8 and X63-Ag8.653 mouse myeloma cells for growth in vitro. J. Exp. Med. 1987, 165, 1761–1766. [Google Scholar] [CrossRef] [PubMed]
- Hayashido, Y.; Hamana, T.; Yoshioka, Y.; Kitano, H.; Koizumi, K.; Okamoto, T. Plasminogen activator/plasmin system suppresses cell-cell adhesion of oral squamous cell carcinoma cells via proteolysis of E-cadherin. Int. J. Oncol. 2005, 27, 693–698. [Google Scholar]
- Sugiura, T.; Shirasuna, K.; Hayashido, Y.; Sakai, T.; Matsuya, T. Effects of human fibroblasts on invasiveness of oral cancer cells in vitro: Isolation of a chemotactic factor from human fibroblasts. Int. J. Cancer 1996, 68, 774–781. [Google Scholar] [CrossRef]
- Szklarczyk, D.; Morris, J.H.; Cook, H.; Kuhn, M.; Wyder, S.; Simonovic, M.; Santos, A.; Doncheva, N.T.; Roth, A.; Bork, P.; et al. The STRING database in 2017: Quality-controlled protein-protein association networks, made broadly accessible. Nucleic Acids Res. 2017, 45, D362–D368. [Google Scholar] [CrossRef] [PubMed]
- Herlyn, M.; Clark, W.H.; Rodeck, U.; Mancianti, M.L.; Jambrosic, J.; Koprowski, H. Biology of tumor progression in human melanocytes. Lab. Investig. 1987, 56, 461–474. [Google Scholar] [PubMed]
- Rols, M.P.; Delteil, C.; Golzio, M.; Dumond, P.; Cros, S.; Teissie, J. In vivo electrically mediated protein and gene transfer in murine melanoma. Nat. Biotechnol. 1998, 16, 168–171. [Google Scholar] [CrossRef]
- Albino, A.P.; Davis, B.M.; Nanus, D.M. Induction of growth factor RNA expression in human malignant melanoma: Markers of transformation. Cancer Res. 1991, 51, 4815–4820. [Google Scholar]
- Abraham, J.A.; Whang, J.L.; Tumolo, A.; Mergia, A.; Friedman, J.; Gospodarowicz, D.; Fiddes, J.C. Human basic fibroblast growth factor: Nucleotide sequence and genomic organization. EMBO J. 1986, 5, 2523–2528. [Google Scholar] [CrossRef]
- Gospodarowicz, D.; Jones, K.L.; Sato, G. Purification of a growth factor for ovarian cells from bovine pituitary glands. Proc. Natl. Acad. Sci. USA 1974, 71, 2295–2299. [Google Scholar] [CrossRef]
- Wang, W.P.; Lehtoma, K.; Varban, M.L.; Krishnan, I.; Chiu, I.M. Cloning of the gene coding for human class 1 heparin-binding growth factor and its expression in fetal tissues. Mol. Cell. Biol. 1989, 9, 2387–2395. [Google Scholar] [CrossRef] [PubMed]
- Schulze-Osthoff, K.; Risau, W.; Vollmer, E.; Sorg, C. In situ detection of basic fibroblast growth factor by highly specific antibodies. Am. J. Pathol. 1990, 137, 85–92. [Google Scholar] [PubMed]
- Seno, M.; Masago, A.; Nishimura, A.; Tada, H.; Kosaka, M.; Sasada, R.; Igarashi, K.; Seno, S.; Yamada, H. BALB/c 3T3 cells co-expressing FGF-2 and soluble FGF receptor acquire tumorigenicity. Cytokine 1998, 10, 290–294. [Google Scholar] [CrossRef]
- Soutter, A.D.; Nguyen, M.; Watanabe, H.; Folkman, J. Basic fibroblast growth factor secreted by an animal tumor is detectable in urine. Cancer Res. 1993, 53, 5297–5299. [Google Scholar] [PubMed]
- Yoshimura, N.; Sano, H.; Hashiramoto, A.; Yamada, R.; Nakajima, H.; Kondo, M.; Oka, T. The expression and localization of fibroblast growth factor-1 (FGF-1) and FGF receptor-1 (FGFR-1) in human breast cancer. Clin. Immunol. Immunopathol. 1998, 89, 28–34. [Google Scholar] [CrossRef] [PubMed]
- Harris, V.K.; Coticchia, C.M.; List, H.J.; Wellstein, A.; Riegel, A.T. Mitogen-induced expression of the fibroblast growth factor-binding protein is transcriptionally repressed through a non-canonical E-box element. J. Biol. Chem. 2000, 275, 28539–28548. [Google Scholar] [CrossRef]
- Lametsch, R.; Rasmussen, J.T.; Johnsen, L.B.; Purup, S.; Sejrsen, K.; Petersen, T.E.; Heegaard, C.W. Structural characterization of the fibroblast growth factor-binding protein purified from bovine prepartum mammary gland secretion. J. Biol. Chem. 2000, 275, 19469–19474. [Google Scholar] [CrossRef]
- Liao, Z.; Dai, Z.; Cai, C.; Zhang, X.; Li, A.; Zhang, H.; Yan, Y.; Lin, W.; Wu, Y.; Li, H.; et al. Knockout of Atg5 inhibits proliferation and promotes apoptosis of DF-1 cells. Vitro Cell. Dev. Biol. Anim. 2019, 55, 341–348. [Google Scholar] [CrossRef]
- Nakade, S.; Tsubota, T.; Sakane, Y.; Kume, S.; Sakamoto, N.; Obara, M.; Daimon, T.; Sezutsu, H.; Yamamoto, T.; Sakuma, T.; et al. Microhomology-mediated end-joining-dependent integration of donor DNA in cells and animals using TALENs and CRISPR/Cas9. Nat. Commun. 2014, 5, 5560. [Google Scholar] [CrossRef]
- Deltcheva, E.; Chylinski, K.; Sharma, C.M.; Gonzales, K.; Chao, Y.; Pirzada, Z.A.; Eckert, M.R.; Vogel, J.; Charpentier, E. CRISPR RNA maturation by trans-encoded small RNA and host factor RNase III. Nature 2011, 471, 602–607. [Google Scholar] [CrossRef]
- Mongiat, M.; Otto, J.; Oldershaw, R.; Ferrer, F.; Sato, J.D.; Iozzo, R.V. Fibroblast growth factor-binding protein is a novel partner for perlecan protein core. J. Biol. Chem. 2001, 276, 10263–10271. [Google Scholar] [CrossRef]
- Czubayko, F.; Smith, R.V.; Chung, H.C.; Wellstein, A. Tumor growth and angiogenesis induced by a secreted binding protein for fibroblast growth factors. J. Bio. Chem. 1994, 269, 28243–28248. [Google Scholar] [CrossRef]
- Siegenthaler, G.; Hotz, R.; Chatellard-Gruaz, D.; Didierjean, L.; Hellman, U.; Saurat, J.H. Purification and characterization of the human epidermal fatty acid-binding protein: Localization during epidermal cell differentiation in vivo and in vitro. Biochem. J. 1994, 302 Pt 2, 363–371. [Google Scholar] [CrossRef]
- Ostergaard, M.; Rasmussen, H.H.; Nielsen, H.V.; Vorum, H.; Orntoft, T.F.; Wolf, H.; Celis, J.E. Proteome profiling of bladder squamous cell carcinomas: Identification of markers that define their degree of differentiation. Cancer Res. 1997, 57, 4111–4117. [Google Scholar]
- Luo, A.; Kong, J.; Hu, G.; Liew, C.C.; Xiong, M.; Wang, X.; Ji, J.; Wang, T.; Zhi, H.; Wu, M.; et al. Discovery of Ca2+-relevant and differentiation-associated genes downregulated in esophageal squamous cell carcinoma using cDNA microarray. Oncogene 2004, 23, 1291–1299. [Google Scholar] [CrossRef]
- Okamoto, T.; Moroyama, T.; Morita, T.; Yoshiga, K.; Takada, K.; Okuda, K. Differentiation of cultured epidermal keratinocytes related to sterol metabolism and its retardation by chemical carcinogens. Biochim. Biophys. Acta 1984, 805, 143–151. [Google Scholar] [CrossRef]
- Oyesanya, R.A.; Bhatia, S.; Menezes, M.E.; Dumur, C.I.; Singh, K.P.; Bae, S.; Troyer, D.A.; Wells, R.B.; Sauter, E.R.; Sidransky, D.; et al. MDA-9/Syntenin regulates differentiation and angiogenesis programs in head and neck squamous cell carcinoma. Oncoscience 2014, 1, 725–737. [Google Scholar] [CrossRef]
- Candi, E.; Schmidt, R.; Melino, G. The cornified envelope: A model of cell death in the skin. Nat. Rev. Mol. Cell. Biol. 2005, 6, 328–340. [Google Scholar] [CrossRef]
- Roviello, G.; D’Angelo, A.; Sirico, M.; Pittacolo, M.; Conter, F.U.; Sobhani, N. Advances in anti-BRAF therapies for lung cancer. Investig. New Drugs 2021. [Google Scholar] [CrossRef]
- Abdelaal, M.R.; Soror, S.H.; Elnagar, M.R.; Haffez, H. Revealing the Potential Application of EC-Synthetic Retinoid Analogues in Anticancer Therapy. Molecules 2021, 26, 506. [Google Scholar] [CrossRef]
- Schmidt, M.O.; Garman, K.A.; Lee, Y.G.; Zuo, C.; Beck, P.J.; Tan, M.; Aguilar-Pimentel, J.A.; Ollert, M.; Schmidt-Weber, C.; Fuchs, H.; et al. The Role of Fibroblast Growth Factor-Binding Protein 1 in Skin Carcinogenesis and Inflammation. J. Investig. Dermatol. 2018, 138, 179–188. [Google Scholar] [CrossRef]








| Description | Annotation ID | Genes Found | p-Value | Genes |
|---|---|---|---|---|
| Epidermis development, keratinization | GO:0008544, GO:0031424 | 10 | 9.37 × 10−12 | SPRR3, SPRR2G, SPRR2D, SPRR2B, SPRR2A, SPRR1B, SPRR1A, KRT34, LCE3A, LCE3D |
| Keratinization | GO:0031424 | 14 | 5.05 × 10−11 | SPRR3, SPRR2G, SPRR2D, SPRR2B, SPRR2A, SPRR1B, SPRR1A, KRT34, KRT6B, KRT1, IVL, LCE3A, LCE3D, KRTAP3-1 |
| Epidermis development, cornification, keratinization | GO:0008544, GO:0070268, GO:0031424 | 9 | 3.99 × 10−11 | SPRR3, SPRR2G, SPRR2D, SPRR2B, SPRR2A, SPRR1B, SPRR1A, KRT34, LCE3D |
| Epidermis development | GO:0008544 | 15 | 3.20 × 10−11 | SPRR3, SPRR2G, SPRR2D, SPRR2B, SPRR2A, SPRR1B, SPRR1A, PTHLH, LAMA3, KRT34, KRTDAP, LCE3A, FABP5, LCE3D, CST6 |
| Cornification | GO:0070268 | 14 | 2.45 × 10−10 | SPRR3, SPRR2G, SPRR2D, SPRR2B, SPRR2A, SPRR1B, SPRR1A, KRT34, KRT6B, KRT1, IVL, FLG, RPTN, LCE3D |
| Keratinocyte differentiation, cornification | GO:0030216, GO:0070268 | 8 | 4.08 × 10−10 | SPRR3, SPRR2G, SPRR2B, SPRR2A, SPRR1B, SPRR1A, IVL, FLG |
| Cornification, keratinization | GO:0070268, GO:0031424 | 12 | 7.17 × 10−10 | SPRR3, SPRR2G, SPRR2D, SPRR2B, SPRR2A, SPRR1B, SPRR1A, KRT34, KRT6B, KRT1, IVL, LCE3D |
| Defense response to bacterium, defense response to fungus | GO:0042742, GO:0050832 | 8 | 6.50 × 10−10 | GNLY, S100A12, S100A9, S100A8, MPO, HTN3, C10orf99, RNASE7 |
| Epidermis development, keratinocyte differentiation, cornification, keratinization | GO:0008544, GO:0030216, GO:0070268, GO:0031424 | 6 | 1.27 × 10−9 | SPRR3, SPRR2G, SPRR2B, SPRR2A, SPRR1B, SPRR1A |
| Keratinocyte differentiation, cornification, keratinization | GO:0030216, GO:0070268, GO:0031424 | 7 | 1.41 × 10−9 | SPRR3, SPRR2G, SPRR2B, SPRR2A, SPRR1B, SPRR1A, IVL |
| Description | Annotation ID | Genes Found | p-Value | Genes |
|---|---|---|---|---|
| Response to estradiol, response to peptide hormone, positive regulation of cell differentiation | GO:0032355, GO:0043434, GO:0045597 | 3 | 7.54 × 10−6 | BMP7, GHR, CTGF |
| MAPK signaling pathway, PI3K-Akt signaling pathway, bone mineralization | hsa04010, hsa04151, GO:0030282 | 3 | 7.54 × 10−6 | ATF4, FGFR2, FGFR3 |
| Cell projection organization, cerebellum development | GO:0030030, GO:0021549 | 3 | 7.54 × 10−6 | HAP1, TTBK2, C5orf42 |
| Cell-cell signaling, positive regulation of cell population proliferation, protein phosphorylation | GO:0007267, GO:0008284, GO:0006468 | 3 | 7.54 × 10−6 | ADAM10, FGFR2, FGFR3 |
| Apoptotic process, endocytosis, multicellular organism development | GO:0006915, hsa04144, GO:0007275 | 3 | 7.54 × 10−6 | FGFR2, FGFR3, DAB2 |
| Signal transduction, cytokine–cytokine receptor interaction, tumor necrosis factor-mediated signaling pathway, Rheumatoid arthritis | GO:0007165, hsa04060, GO:0033209, hsa05323 | 3 | 2.97 × 10−5 | TNFRSF11A, TNFSF13, LTB |
| Cell–cell signaling, positive regulation of ERK1 and ERK2 cascade, bone mineralization | GO:0007267, GO:0070374, GO:0030282 | 3 | 2.97 × 10−5 | GPNMB, FGFR2, FGFR3 |
| Pathways in cancer, multicellular organism development, bone mineralization, signaling pathways regulating pluripotency of stem cells | hsa05200, GO:0007275, GO:0030282, hsa04550 | 3 | 2.97 × 10−5 | AXIN2, FGFR2, FGFR3 |
| Pathogenic Escherichia coli infection, axon guidance, regulation of cell shape | hsa05130, GO:0007411, GO:0008360 | 3 | 2.97 × 10−5 | CYFIP1, MYH10, FYN |
| Animal organ morphogenesis, multicellular organism development, positive regulation of transcription by RNA polymerase II, embryonic pattern specification | GO:0009887, GO:0007275, GO:0045944, GO:0009880 | 3 | 2.97 × 10−5 | BMP7, MEIS2, FGFR2 |
Publisher’s Note: MDPI stays neutral with regard to jurisdictional claims in published maps and institutional affiliations. |
© 2021 by the authors. Licensee MDPI, Basel, Switzerland. This article is an open access article distributed under the terms and conditions of the Creative Commons Attribution (CC BY) license (https://creativecommons.org/licenses/by/4.0/).
Share and Cite
Shintani, T.; Higaki, M.; Okamoto, T. Heparin-Binding Protein 17/Fibroblast Growth Factor-Binding Protein-1 Knockout Inhibits Proliferation and Induces Differentiation of Squamous Cell Carcinoma Cells. Cancers 2021, 13, 2684. https://doi.org/10.3390/cancers13112684
Shintani T, Higaki M, Okamoto T. Heparin-Binding Protein 17/Fibroblast Growth Factor-Binding Protein-1 Knockout Inhibits Proliferation and Induces Differentiation of Squamous Cell Carcinoma Cells. Cancers. 2021; 13(11):2684. https://doi.org/10.3390/cancers13112684
Chicago/Turabian StyleShintani, Tomoaki, Mirai Higaki, and Tetsuji Okamoto. 2021. "Heparin-Binding Protein 17/Fibroblast Growth Factor-Binding Protein-1 Knockout Inhibits Proliferation and Induces Differentiation of Squamous Cell Carcinoma Cells" Cancers 13, no. 11: 2684. https://doi.org/10.3390/cancers13112684
APA StyleShintani, T., Higaki, M., & Okamoto, T. (2021). Heparin-Binding Protein 17/Fibroblast Growth Factor-Binding Protein-1 Knockout Inhibits Proliferation and Induces Differentiation of Squamous Cell Carcinoma Cells. Cancers, 13(11), 2684. https://doi.org/10.3390/cancers13112684

