Enhancing Prediction Performance by Add-On Combining Circulating Tumor Cell Count, CD45neg EpCAMneg Cell Count on Colorectal Cancer, Advance, and Metastasis
Abstract
Simple Summary
Abstract
1. Introduction
2. Materials and Methods
2.1. Enrollment of Healthy Volunteers and CRC Patients
2.2. Blood Sample Processing Using the Negative Selection-Based Cell Enrichment Scheme
2.3. Enumeration of CD45neg EpCAMpos CTCs and CD45neg EpCAMneg Cells by Immunofluorescent Dye Staining and Flow Cytometry
2.4. Statistical Analysis
3. Results
3.1. Background of the Present Study
3.2. Performance of CD45neg EpCAMpos CTCs and CD45neg EpCAMneg Cell Counts for CRC Prediction
3.3. Performance Evaluation of Using the CD45neg EpCAMpos CTCs and CD45neg EpCAMneg Cell Counts for the Prediction of Advanced or Metastatic CRC
3.4. Discrimination of Cancer Stages and Advanced/Metastatic CRC by Combining the Biomarkers of the CD45neg EpCAMpos CTCs, CD45neg EpCAMneg Cell Count, and CEA Level
4. Discussion
5. Conclusions
Supplementary Materials
Author Contributions
Funding
Institutional Review Board Statement
Informed Consent Statement
Data Availability Statement
Conflicts of Interest
References
- Mehlen, P.; Puisieux, A. Metastasis: A question of life or death. Nat. Rev. Cancer 2006, 6, 449–458. [Google Scholar] [CrossRef]
- Ashworth, T.R. A case of cancer in which cells similar to those in the tumours were seen in the blood after death. Australas. Med. J. 1869, 14, 146–147. [Google Scholar]
- Wang, Y.; Zhou, Y.; Hu, Z. The Functions of Circulating Tumor Cells in Early Diagnosis and Surveillance During Cancer Advancement. J. Transl. Int. Med. 2017, 5, 135–138. [Google Scholar] [CrossRef] [PubMed][Green Version]
- Plaks, V.; Koopman, C.D.; Werb, Z. Circulating Tumor Cells. Science 2013, 341, 1186–1188. [Google Scholar] [CrossRef] [PubMed]
- Allan, A.L.; Keeney, M. Circulating tumor cell analysis: Technical and statistical considerations for application to the clinic. J. Oncol. 2010, 426218. [Google Scholar] [CrossRef]
- Raimondi, C.; Gradilone, A.; Naso, G.; Cortesi, N.; Gazzaniga, P. Clinical utility of circulating tumor cell counting through CellSearch (R): The dilemma of a concept suspended in Limbo. Onco Targets Ther. 2014, 7, 619–625. [Google Scholar] [PubMed]
- Swennenhuis, J.F.; van Dalum, G.; Zeune, L.L.; Terstappen, L.W. Improving the CellSearch(R) system. Expert Rev. Mol. Diagn. 2016, 16, 1291–1305. [Google Scholar] [CrossRef]
- Xun, Y.; Cao, Q.; Zhang, J.; Guan, B.; Wang, M. Clinicopathological and prognostic significance of circulating tumor cells in head and neck squamous cell carcinoma: A systematic review and meta-analysis. Oral Oncol. 2020, 104, 104638. [Google Scholar] [CrossRef]
- Cimadamore, A.; Aurilio, G.; Nole, F.; Massari, F.; Scarpelli, M.; Santoni, M.; Lopez-Beltran, A.; Cheng, L.; Montironi, R. Update on Circulating Tumor Cells in Genitourinary Tumors with Focus on Prostate Cancer. Cells 2020, 9, 1495. [Google Scholar] [CrossRef]
- Yousefi, M.; Ghaffari, P.; Nosrati, R.; Dehghani, S.; Salmaninejad, A.; Abarghan, Y.J.; Ghaffari, S.H. Prognostic and therapeutic significance of circulating tumor cells in patients with lung cancer. Cell Oncol. 2020, 43, 31–49. [Google Scholar] [CrossRef]
- Lee, C.H.; Hsieh, J.C.; Wu, T.M.; Yeh, T.S.; Wang, H.M.; Lin, Y.C.; Chen, J.S.; Lee, C.L.; Huang, W.K.; Hung, T.M.; et al. Baseline circulating stem-like cells predict survival in patients with metastatic breast Cancer. BMC Cancer 2019, 19, 1167. [Google Scholar] [CrossRef]
- Wang, H.M.; Wu, M.H.; Chang, P.H.; Lin, H.C.; Liao, C.D.; Wu, S.M.; Hung, T.M.; Lin, C.Y.; Chang, T.C.; Tzu-Tsen, Y.; et al. The change in circulating tumor cells before and during concurrent chemoradiotherapy is associated with survival in patients with locally advanced head and neck cancer. Head Neck 2019, 41, 2676–2687. [Google Scholar] [CrossRef]
- Chou, W.C.; Wu, M.H.; Chang, P.H.; Hsu, H.C.; Chang, G.J.; Huang, W.K.; Wu, C.E.; Hsieh, J.C.H. A Prognostic Model Based on Circulating Tumour Cells is Useful for Identifying the Poorest Survival Outcome in Patients with Metastatic Colorectal Cancer. Int. J. Biol. Sci. 2018, 14, 137–146. [Google Scholar] [CrossRef] [PubMed]
- Cohen, S.J.; Punt, C.J.; Iannotti, N.; Saidman, B.H.; Sabbath, K.D.; Gabrail, N.Y.; Picus, J.; Morse, M.A.; Mitchell, E.; Miller, M.C.; et al. Prognostic significance of circulating tumor cells in patients with metastatic colorectal cancer. Ann. Oncol. 2009, 20, 1223–1229. [Google Scholar] [CrossRef] [PubMed]
- Hardingham, J.E.; Grover, P.; Winter, M.; Hewett, P.J.; Price, T.J.; Thierry, B. Detection and Clinical Significance of Circulating Tumor Cells in Colorectal Cancer—20 Years of Progress. Mol. Med. 2015, 21, S25–S31. [Google Scholar] [CrossRef]
- Gabriel, M.T.; Calleja, L.R.; Chalopin, A.; Ory, B.; Heymann, D. Circulating Tumor Cells: A Review of Non-EpCAM-Based Approaches for Cell Enrichment and Isolation. Clin. Chem. 2016, 62, 571–581. [Google Scholar] [CrossRef]
- Lin, H.C.; Hsu, H.C.; Hsieh, C.H.; Wang, H.M.; Huang, C.Y.; Wu, M.H.; Tseng, C.P. A negative selection system PowerMag for effective leukocyte depletion and enhanced detection of EpCAM positive and negative circulating tumor cells. Clin. Chim. Acta 2013, 419, 77–84. [Google Scholar] [CrossRef]
- Liao, C.J.; Hsieh, C.H.; Chiu, T.K.; Zhu, Y.X.; Wang, H.M.; Hung, F.C.; Chou, W.P.; Wu, M.H. An Optically Induced Dielectrophoresis (ODEP)-Based Microfluidic System for the Isolation of High-Purity CD45(neg)/EpCAM(neg) Cells from the Blood Samples of Cancer Patients-Demonstration and Initial Exploration of the Clinical Significance of These Cells. Micromachines 2018, 9, 563. [Google Scholar] [CrossRef]
- Gao, Y.F.; Wang, J.P.; Zhou, Y.; Sheng, S.; Qian, S.Y.; Huo, X.W. Evaluation of Serum CEA, CA19-9, CA72-4, CA125 and Ferritin as Diagnostic Markers and Factors of Clinical Parameters for Colorectal Cancer. Sci. Rep. 2018, 8, 2732. [Google Scholar] [CrossRef] [PubMed]
- Hanke, B.; Riedel, C.; Lampert, S.; Happich, K.; Martus, P.; Parsch, H.; Himmler, B.; Hohenberger, W.; Hahn, E.G.; Wein, A. CEA and CA 19-9 measurement as a monitoring parameter in metastatic colorectal cancer (CRC) under palliative first-line chemotherapy with weekly 24-hour infusion of high-dose 5-fluorouracil (5-FU) and folinic acid (FA). Ann. Oncol. 2001, 12, 221–226. [Google Scholar] [CrossRef]
- Thirunavukarasu, P.; Sukumar, S.; Sathaiah, M.; Mahan, M.; Pragatheeshwar, K.D.; Pingpank, J.F.; Zeh, H., 3rd; Bartels, C.J.; Lee, K.K.; Bartlett, D.L. C-stage in colon cancer: Implications of carcinoembryonic antigen biomarker in staging, prognosis, and management. J. Natl. Cancer Inst. 2011, 103, 689–697. [Google Scholar] [CrossRef] [PubMed]
- Kim, C.W.; Yoon, Y.S.; Park, I.J.; Lim, S.B.; Yu, C.S.; Kim, J.C. Elevation of Preoperative s-CEA Concentration in Stage IIA Colorectal Cancer Can Also Be a High Risk Factor for Stage II Patients. Ann. Surg. Oncol. 2013, 20, 2914–2920. [Google Scholar] [CrossRef]
- Moertel, C.G.; Fleming, T.R.; Macdonald, J.S.; Haller, D.G.; Laurie, J.A.; Tangen, C. An evaluation of the carcinoembryonic antigen (CEA) test for monitoring patients with resected colon cancer. JAMA 1993, 270, 943–947. [Google Scholar] [CrossRef] [PubMed]
- Pesta, M.; Kucera, R.; Topolcan, O.; Karlikova, M.; Houfkova, K.; Polivka, J.; Macanova, T.; Machova, I.; Slouka, D.; Kulda, V. Plasma microRNA Levels Combined with CEA and CA19-9 in the Follow-Up of Colorectal Cancer Patients. Cancers 2019, 11, 864. [Google Scholar] [CrossRef] [PubMed]
- Flamini, E.; Mercatali, L.; Nanni, O.; Calistri, D.; Nunziatini, R.; Zoli, W.; Rosetti, P.; Gardini, N.; Lattuneddu, A.; Verdecchia, G.M.; et al. Free DNA and carcinoembryonic antigen serum levels: An important combination for diagnosis of colorectal cancer. Clin. Cancer Res. 2006, 12, 6985–6988. [Google Scholar] [CrossRef] [PubMed]
- Liao, C.J.; Hsieh, C.H.; Hung, F.C.; Wang, H.M.; Chou, W.P.; Wu, M.H. The Integration of a Three-Dimensional Spheroid Cell Culture Operation in a Circulating Tumor Cell (CTC) Isolation and Purification Process: A Preliminary Study of the Clinical Significance and Prognostic Role of the CTCs Isolated from the Blood Samples of Head and Neck Cancer Patients. Cancers 2019, 11, 783. [Google Scholar] [CrossRef]
- Apostolou, P.; Ntanovasilis, D.A.; Papasotiriou, I. Evaluation of a simple method for storage of blood samples that enables isolation of circulating tumor cells 96 h after sample collection. J. Biol. Res. 2017, 24. [Google Scholar] [CrossRef][Green Version]
- Su, B.B.; Shi, H.; Wan, J. Role of serum carcinoembryonic antigen in the detection of colorectal cancer before and after surgical resection. World J. Gastroenterol. 2012, 18, 2121–2126. [Google Scholar] [CrossRef]
- Sorensen, C.G.; Karlsson, W.K.; Pommergaard, H.C.; Burcharth, J.; Rosenberg, J. The diagnostic accuracy of carcinoembryonic antigen to detect colorectal cancer recurrence—A systematic review. Int. J. Surg. 2016, 25, 134–144. [Google Scholar] [CrossRef]
- Marcuello, M.; Vymetalkova, V.; Neves, R.P.L.; Duran-Sanchon, S.; Vedeld, H.M.; Tham, E.; van Dalum, G.; Flugen, G.; Garcia-Barberan, V.; Fijneman, R.J.; et al. Circulating biomarkers for early detection and clinical management of colorectal cancer. Mol. Aspects Med. 2019, 69, 107–122. [Google Scholar] [CrossRef]
- Aggarwal, C.; Meropol, N.J.; Punt, C.J.; Iannotti, N.; Saidman, B.H.; Sabbath, K.D.; Gabrail, N.Y.; Picus, J.; Morse, M.A.; Mitchell, E.; et al. Relationship among circulating tumor cells, CEA and overall survival in patients with metastatic colorectal cancer. Ann. Oncol. 2013, 24, 420–428. [Google Scholar] [CrossRef]
- Zheng, J.; Ye, X.; Liu, Y.N.; Zhao, Y.X.; He, M.D.; Xiao, H. The combination of CTCs and CEA can help guide the management of patients with SPNs suspected of being lung cancer. BMC Cancer 2020, 20, 106. [Google Scholar] [CrossRef]
- Shi, J.; Li, Y.; Liang, S.Z.; Zeng, J.Y.; Liu, G.F.; Mu, F.; Li, H.B.; Chen, J.B.; Lin, M.; Sheng, S.H.; et al. Circulating tumour cells as biomarkers for evaluating cryosurgery on unresectable hepatocellular carcinoma. Oncol. Rep. 2016, 36, 1845–1851. [Google Scholar] [CrossRef] [PubMed]
- Alvarez, K.; Cassana, A.; de la Fuente, M.; Canales, T.; Abedrapo, M.; Lopez-Kostner, F. Clinical, Pathological and Molecular Characteristics of Chilean Patients with Early-, Intermediate- and Late-Onset Colorectal Cancer. Cells 2021, 10, 631. [Google Scholar] [CrossRef] [PubMed]
- Laszlo, L.; Kurilla, A.; Takacs, T.; Kudlik, G.; Koprivanacz, K.; Buday, L.; Vas, V. Recent Updates on the Significance of KRAS Mutations in Colorectal Cancer Biology. Cells 2021, 10, 667. [Google Scholar] [CrossRef] [PubMed]
- Therkildsen, C.; Bergmann, T.K.; Henrichsen-Schnack, T.; Ladelund, S.; Nilbert, M. The predictive value of KRAS, NRAS, BRAF, PIK3CA and PTEN for anti-EGFR treatment in metastatic colorectal cancer: A systematic review and meta-analysis. Acta Oncol. 2014, 53, 852–864. [Google Scholar] [CrossRef] [PubMed]
- Suhaimi, N.A.M.; Foong, Y.M.; Lee, D.Y.S.; Phyo, W.M.; Cima, I.; Lee, E.X.W.; Goh, W.L.; Lim, W.Y.; Chia, K.S.; Kong, S.L.; et al. Non-invasive sensitive detection of KRAS and BRAF mutation in circulating tumor cells of colorectal cancer patients. Mol. Oncol. 2015, 9, 850–860. [Google Scholar] [CrossRef] [PubMed]
- Kondo, Y.; Hayashi, K.; Kawakami, K.; Miwa, Y.; Hayashi, H.; Yamamoto, M. KRAS mutation analysis of single circulating tumor cells from patients with metastatic colorectal cancer. BMC Cancer 2017, 17. [Google Scholar] [CrossRef] [PubMed]
- Diao, Z.L.; Han, Y.X.; Chen, Y.Q.; Zhang, R.; Li, J.M. The clinical utility of microsatellite instability in colorectal cancer. Crit. Rev. Oncol. Hematol. 2021, 157. [Google Scholar] [CrossRef]
- Toh, J.W.T.; Lim, S.H.; MacKenzie, S.; de Souza, P.; Bokey, L.; Chapuis, P.; Spring, K.J. Association between Microsatellite Instability Status and Peri-Operative Release of Circulating Tumour Cells in Colorectal Cancer. Cells 2020, 9, 425. [Google Scholar] [CrossRef]
- Chiu, H.M.; Chen, S.L.; Yen, A.M.; Chiu, S.Y.; Fann, J.C.; Lee, Y.C.; Pan, S.L.; Wu, M.S.; Liao, C.S.; Chen, H.H.; et al. Effectiveness of fecal immunochemical testing in reducing colorectal cancer mortality from the One Million Taiwanese Screening Program. Cancer 2015, 121, 3221–3229. [Google Scholar] [CrossRef] [PubMed]
- Adler, A.; Geiger, S.; Keil, A.; Bias, H.; Schatz, P.; deVos, T.; Dhein, J.; Zimmermann, M.; Tauber, R.; Wiedenmann, B. Improving compliance to colorectal cancer screening using blood and stool based tests in patients refusing screening colonoscopy in Germany. BMC Gastroenterol. 2014, 14, 183. [Google Scholar] [CrossRef] [PubMed]
- Lee, Y.C.; Chen, S.L.S.; Yen, A.M.F.; Chiu, S.Y.H.; Fann, J.C.Y.; Chuang, S.L.; Chiang, T.H.; Chou, C.K.; Chiu, H.M.; Wu, M.S.; et al. Association Between Colorectal Cancer Mortality and Gradient Fecal Hemoglobin Concentration in Colonoscopy Noncompliers. J. Natl. Cancer Inst. 2017, 109, djw269. [Google Scholar] [CrossRef] [PubMed]







| Variable | Classification | Free of CRC | CRC | p-Value | ||
|---|---|---|---|---|---|---|
| No./Mean | %/±SD | No./Mean | %/±SD | |||
| Overall | 71 | 73 | ||||
| Gender | Female | 39 | 54.9% | 31 | 42.5% | 0.1346 |
| Male | 32 | 45.1% | 42 | 57.5% | ||
| Mean age | 43.38 | ±12.17 | 62.70 | ±13.06 | <0.0001 | |
| Age group | Age < 65 y/o | 66 | 93.0% | 39 | 53.4% | <0.0001 |
| Age ≥ 65 y/o | 5 | 7.0% | 34 | 46.6% | ||
| TNM | Stage 0 | - | 1 | 1.4% | - | |
| stage | Stage I | - | 14 | 19.2% | ||
| Stage II | - | 12 | 16.4% | |||
| Stage III | - | 32 | 43.8% | |||
| Stage IV | - | 14 | 19.2% | |||
| CEA level (ng/mL) | ≤5 | - | 51 | 69.9% | - | |
| >5 | - | 22 | 30.1% | |||
| CD45neg EpCAMneg cells | (×103) | 0.3456 | ±0.4162 | 1.0958 | ±1.824 | <0.0001 |
| median | 0.1930 | 0.4120 | ||||
| CD45neg EpCAMpos CTCs | <2 | 53 | 74.6% | 36 | 49.3% | 0.0018 |
| ≥2 | 18 | 25.4% | 37 | 50.7% | ||
| <3 | 66 | 93.0% | 49 | 67.1% | 0.0001 | |
| ≥3 | 5 | 7.0% | 24 | 32.9% | ||
| <4 | 68 | 95.8% | 57 | 78.1% | 0.0017 | |
| ≥4 | 3 | 4.2% | 16 | 21.9% | ||
| Variable | Classification | Adj. OR # (95%CI) * | p-Value | AUROC (95%CI) |
|---|---|---|---|---|
| CD45neg EpCAMpos CTCs | (counts, continuous) | 1.50 (1.12, 2.00) | 0.0065 | 0.882 (0.828, 0.937) |
| count ≥2 vs. <2 | 1.99 (0.84, 4.75) | 0.1196 | 0.864 (0.803, 0.925) | |
| count ≥3 vs. <3 | 6.10 (1.77, 21.06) | 0.0042 | 0.875 (0.817, 0.933) | |
| count ≥4 vs. <4 | 5.12 (1.19, 22.11) | 0.0285 | 0.865 (0.804, 0.925) | |
| CD45neg EpCAMneg cells | (counts, continuous) | 2.44 (1.06, 5.61) | 0.0354 | 0.868 (0.807, 0.928) |
| ≥300 vs. <300 | 2.39 (1.02, 5.61) | 0.0449 | 0.867 (0.805, 0.926) | |
| ≥400 vs. <400 | 3.82 (1.54, 9.49) | 0.0039 | 0.873 (0.815, 0.931) | |
| ≥500 vs. <500 | 3.12 (1.22, 7.94) | 0.0172 | 0.869 (0.809, 0.929) | |
| ≥600 vs. <600 | 2.92 (1.12, 7.62) | 0.0290 | 0.868 (0.807, 0.928) | |
| CD45neg EpCAMpos CTCs | (counts, continuous) | 1.42 (1.07, 1.89) | 0.0164 | 0.893 (0.842, 0.944) |
| CD45neg EpCAMneg cell ≥400 | 2.84 (1.10, 7.35) | 0.0313 | ||
| Biomarker(s) | Predictor(s) * | Advanced vs. Non-Advanced CRC AUROC (95%CI) | ||
|---|---|---|---|---|
| CD45neg EpCAMpos CTCs ≥3/7 mL | CD45neg EpCAMneg Cells ≥400/7 mL | CEA > 5 ng/mL | ||
| 1-type | √ | 0.614 (0.478, 0.749) | ||
| √ | 0.635 (0.491, 0.779) | |||
| √ | 0.643 (0.515, 0.771) | |||
| 2-type | √ | √ | 0.672 (0.542, 0.803) | |
| √ | √ | 0.712 (0.587, 0.836) | ||
| √ | √ | 0.677 (0.554, 0.800) | ||
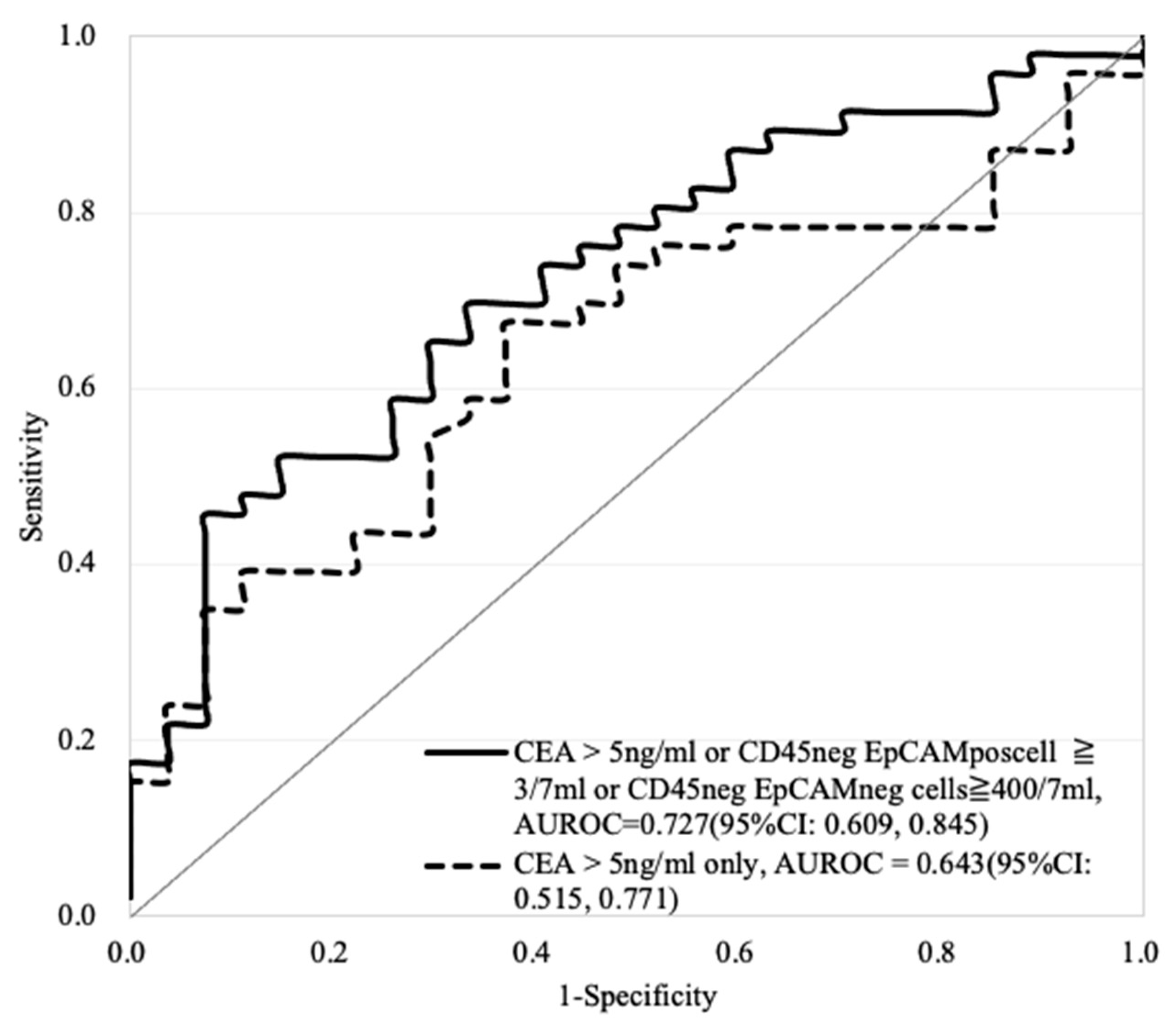
| 3-type | √ | √ | √ | 0.727 (0.609, 0.845) |
| Biomarker(s) | Predictor(s) * | Metastasis vs. Non-Metastasis CRC AUROC (95%CI) | ||
|---|---|---|---|---|
| CD45negEpCAMpos CTCs (Continuous) | CD45neg EpCAMneg Cells ≥400/7 mL | CEA > 5 ng/mL | ||
| 1-type | √ | 0.664 (0.497, 0.831) | ||
| √ | 0.630 (0.475, 0.784) | |||
| √ | 0.780 (0.645, 0.914) | |||
| 2-type | √ | √ | 0.662 (0.495, 0.830) | |
| √ | √ | 0.786 (0.661, 0.911) | ||
| √ | √ | 0.837 (0.740, 0.934) | ||
| 3-type | √ | √ | √ | 0.837 (0.739, 0.935) |
Publisher’s Note: MDPI stays neutral with regard to jurisdictional claims in published maps and institutional affiliations. |
© 2021 by the authors. Licensee MDPI, Basel, Switzerland. This article is an open access article distributed under the terms and conditions of the Creative Commons Attribution (CC BY) license (https://creativecommons.org/licenses/by/4.0/).
Share and Cite
Chiu, S.Y.-H.; Hsieh, C.-H.; You, J.-F.; Chu, P.-Y.; Hung, H.-Y.; Chu, P.-H.; Wu, M.-H. Enhancing Prediction Performance by Add-On Combining Circulating Tumor Cell Count, CD45neg EpCAMneg Cell Count on Colorectal Cancer, Advance, and Metastasis. Cancers 2021, 13, 2521. https://doi.org/10.3390/cancers13112521
Chiu SY-H, Hsieh C-H, You J-F, Chu P-Y, Hung H-Y, Chu P-H, Wu M-H. Enhancing Prediction Performance by Add-On Combining Circulating Tumor Cell Count, CD45neg EpCAMneg Cell Count on Colorectal Cancer, Advance, and Metastasis. Cancers. 2021; 13(11):2521. https://doi.org/10.3390/cancers13112521
Chicago/Turabian StyleChiu, Sherry Yueh-Hsia, Chia-Hsun Hsieh, Jeng-Fu You, Po-Yu Chu, Hsin-Yuan Hung, Pao-Hsien Chu, and Min-Hsien Wu. 2021. "Enhancing Prediction Performance by Add-On Combining Circulating Tumor Cell Count, CD45neg EpCAMneg Cell Count on Colorectal Cancer, Advance, and Metastasis" Cancers 13, no. 11: 2521. https://doi.org/10.3390/cancers13112521
APA StyleChiu, S. Y.-H., Hsieh, C.-H., You, J.-F., Chu, P.-Y., Hung, H.-Y., Chu, P.-H., & Wu, M.-H. (2021). Enhancing Prediction Performance by Add-On Combining Circulating Tumor Cell Count, CD45neg EpCAMneg Cell Count on Colorectal Cancer, Advance, and Metastasis. Cancers, 13(11), 2521. https://doi.org/10.3390/cancers13112521

