Prognostic Value of Immune Environment Analysis in Small Bowel Adenocarcinomas with Verified Mutational Landscape and Predisposing Conditions
Abstract
1. Introduction
2. Results
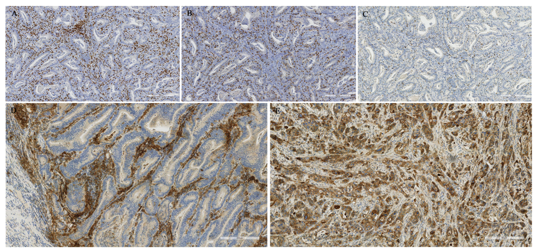
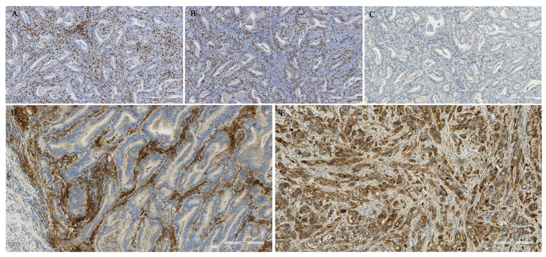
2.1. Immune Contexture and Association with Other Clinicopathological Parameters
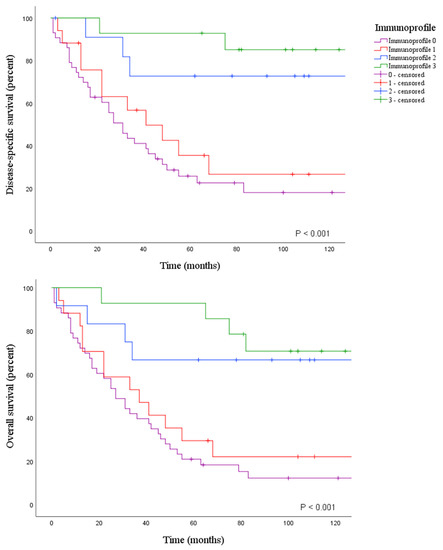
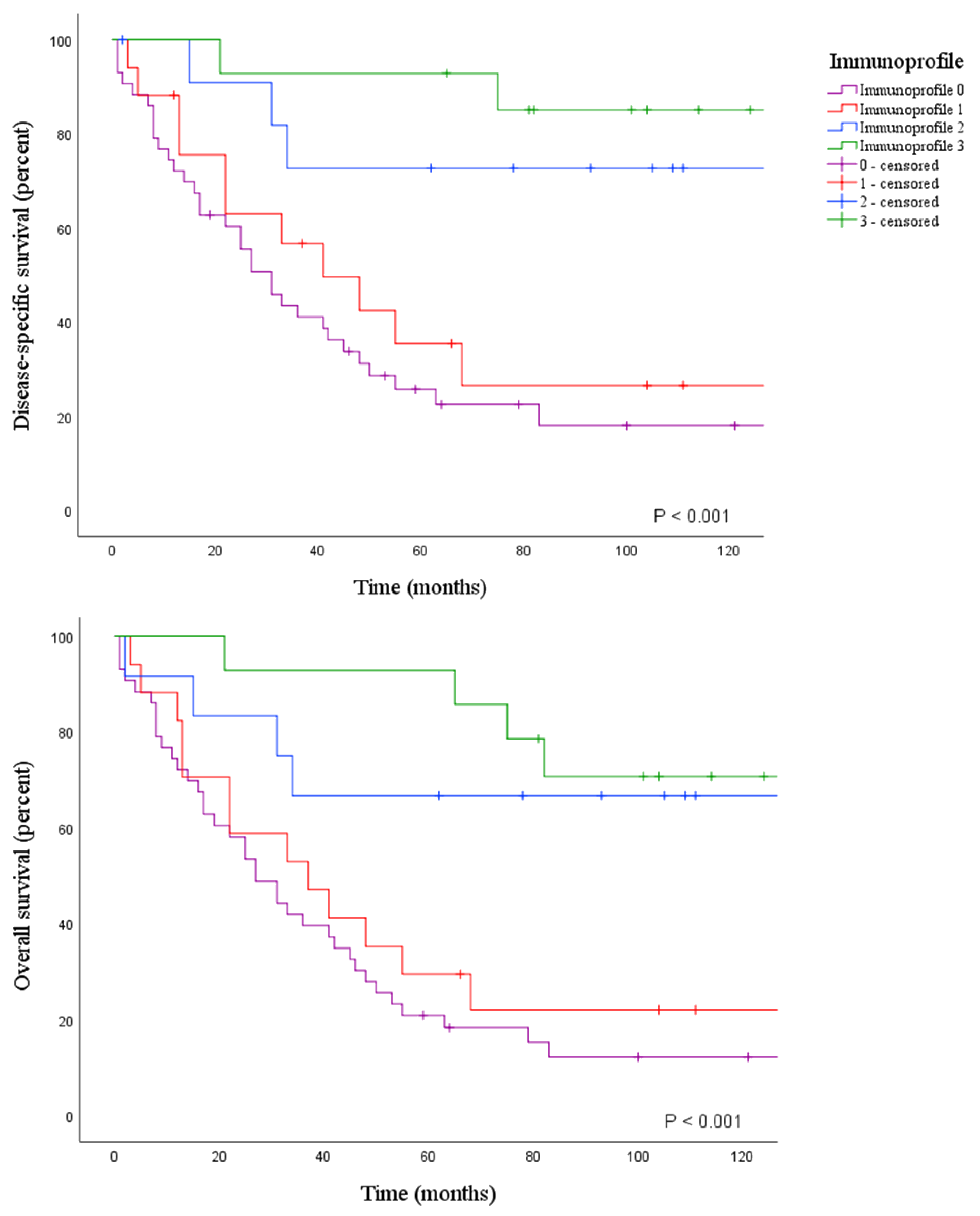
2.2. Univariable Survival Analyses
2.3. Multivariable Survival Analysis
3. Discussion
4. Material and Methods
4.1. Patients
4.2. Immunohistochemical Analyses
4.3. Scoring
4.4. Statistical Analysis
4.5. Ethical Aspects
5. Conclusions
Supplementary Materials
Author Contributions
Funding
Acknowledgments
Conflicts of Interest
References
- Siegel, R.L.; Miller, K.D.; Jemal, A. Cancer statistics, 2019. CA Cancer J. Clin. 2019, 69, 7–34. [Google Scholar] [CrossRef] [PubMed]
- Howlader, N.; Noone, A.M.; Krapcho, M.; Miller, D.; Brest, A.; Yu, M.; Ruhl, J.; Tatalovich, Z.; Mariotto, A.; Lewis, D.R.; et al. SEER Cancer Statistics Review, 1975–2016, National Cancer Institute. Based on November 2018 SEER Data Submission, Posted to the SEER web site, Bethesda, MD. Available online: https://seer.cancer.gov/csr/1975_2016/ (accessed on 31 May 2020).
- Hatzaras, I.; Palesty, J.A.; Abir, F.; Sullivan, P.; Kozol, R.A.; Dudrick, S.J.; Longo, W.E. Small-bowel tumors: Epidemiologic and clinical characteristics of 1260 cases from the connecticut tumor registry. Arch. Surg. 2007, 142, 229–235. [Google Scholar] [CrossRef]
- Bilimoria, K.Y.; Bentrem, D.J.; Wayne, J.D.; Ko, C.Y.; Bennett, C.L.; Talamonti, M.S. Small bowel cancer in the United States: Changes in epidemiology, treatment, and survival over the last 20 years. Ann. Surg. 2009, 249, 63–71. [Google Scholar] [CrossRef] [PubMed]
- Shenoy, S. Genetic risks and familial associations of small bowel carcinoma. World J. Gastrointest. Oncol. 2016, 8, 509–519. [Google Scholar] [CrossRef] [PubMed]
- Bennett, C.M.; Coleman, H.G.; Veal, P.G.; Cantwell, M.M.; Lau, C.C.; Murray, L.J. Lifestyle factors and small intestine adenocarcinoma risk: A systematic review and meta-analysis. Cancer Epidemiol. 2015, 39, 265–273. [Google Scholar] [CrossRef]
- Barral, M.; Dohan, A.; Allez, M.; Boudiaf, M.; Camus, M.; Laurent, V.; Hoeffel, C.; Soyer, P. Gastrointestinal cancers in inflammatory bowel disease: An update with emphasis on imaging findings. Crit. Rev. Oncol. Hematol. 2016, 97, 30–46. [Google Scholar] [CrossRef]
- Lech, G.; Korcz, W.; Kowalczyk, E.; Slotwinski, R.; Slodkowski, M. Primary small bowel adenocarcinoma: Current view on clinical features, risk and prognostic factors, treatment and outcome. Scand. J. Gastroenterol. 2017, 52, 1194–1202. [Google Scholar] [CrossRef]
- Cahil, C.; Gordon, P.H.; Petrucci, A.; Boutros, M. Small bowel adenocarcinoma and Crohn’s disease: Any further ahead than 50 years ago? World J. Gastroenterol. 2014, 20, 11486–11495. [Google Scholar] [CrossRef]
- Maguire, A.; Sheahan, K. Primary small bowel adenomas and adenocarcinomas—recent advances. Virchows Archiv 2018, 473, 265–273. [Google Scholar] [CrossRef]
- Mescoli, C.; Albertoni, L.; D’incá, R.; Rugge, M. Dysplasia in inflammatory bowel diseases. Dig. Liver Dis. 2013, 45, 186–194. [Google Scholar] [CrossRef]
- Delaunoit, T.; Neczyporenko, F.; Limburg, P.J.; Erlichman, C. Pathogenesis and risk factors of small bowel adenocarcinoma: A colorectal cancer sibling. Am. J. Gastroenterol. 2005, 100, 703–710. [Google Scholar] [CrossRef] [PubMed]
- Mowat, A.; Agace, W. Regional specialization within the intestinal immune system. Nat. Rev. Immunol. 2014, 14, 667–685. [Google Scholar] [CrossRef] [PubMed]
- Fridman, W.H.; Pages, F.; Sautes-Fridman, C.; Galon, J. The immune contexture in human tumours: Impact on clinical outcome. Nat. Rev. Cancer 2012, 12, 298–306. [Google Scholar] [CrossRef] [PubMed]
- Fridman, W.H.; Zitvogel, L.; Sautès-Fridman, C.; Kroemer, G. The immune contexture in cancer prognosis and treatment. Nat. Rev. Clin Oncol. 2017, 14, 717–734. [Google Scholar] [CrossRef]
- Pagès, F.; Mlecnik, B.; Marliot, F.; Bindea, G.; Ou, F.S.; Bifulco, C.; Lugli, A.; Zlobec, I.; Rau, T.T.; Berger, M.D.; et al. International validation of the consensus Immunoscore for the classification of colon cancer: A prognostic and accuracy study. Lancet 2018, 391, 2128–2139. [Google Scholar] [CrossRef]
- Tran, E.; Ahmadzadeh, M.; Lu, Y.C.; Gros, A.; Turcotte, S.; Robbins, P.F.; Gartner, J.J.; Zheng, Z.; Li Yong Ray, S. Immunogenicity of somatic mutations in human gastrointestinal cancers. Science 2015, 350, 1387–1390. [Google Scholar] [CrossRef]
- Mlecnik, B.; Bindea, G.; Angell, H.K.; Maby, P.; Angelova, M.; Tougeron, D.; Church, S.E.; Lafontaine, L.; Fischer, M.; Fredriksen, T.; et al. Integrative Analyses of Colorectal Cancer Show Immunoscore Is a Stronger Predictor of Patient Survival Than Microsatellite Instability. Immunity 2016, 44, 698–711. [Google Scholar] [CrossRef]
- Wirta, E.V.; Seppälä, T.; Friman, M.; Väyrynen, J.; Ahtiainen, M.; Kautiainen, H.; Kuopio, T.; Kellokumpu, I.; Mecklin, J.P.; Böhm, J. Immunoscore in mismatch repair-proficient and -deficient colon cancer. J. Pathol. Clin. Res. 2017, 3, 203–213. [Google Scholar] [CrossRef]
- Aparicio, T.; Zaanan, A.; Svrcek, M.; Laurent-Puig, P.; Carrere, N.; Manfredi, S.; Locher, C.; Afchain, P. Small bowel adenocarcinoma: Epidemiology, risk factors, diagnosis and treatment. Dig. Liver Dis. 2014, 46, 97–104. [Google Scholar] [CrossRef]
- Schrock, A.B.; Devoe, C.E.; McWilliams, R.; Sun, J.; Aparicio, T.; Stephens, P.J.; Ross, J.S.; Wilson, R.; Miller, V.A.; Ali, S.M.; et al. Genomic Profiling of Small-Bowel Adenocarcinoma. JAMA Oncol. 2017, 3, 1546–1553. [Google Scholar] [CrossRef]
- Hanahan, D.; Weinberg, R.A. Hallmarks of cancer: The next generation. Cell 2011, 144, 646–674. [Google Scholar] [CrossRef] [PubMed]
- Topalian, S.L.; Hodi, F.S.; Brahmer, J.R.; Gettinger, S.N.; Smith, D.C.; McDermott, D.F.; Powderly, J.D.; Carvajal, R.D.; Sosman, J.A.; Atkins, M.B.; et al. Safety, activity, and immune correlates of anti-PD-1 antibody in cancer. N. Engl. J. Med. 2012, 366, 2443–2454. [Google Scholar] [CrossRef] [PubMed]
- Taube, J.M.; Klein, A.; Brahmer, J.R.; Xu, H.; Pan, X.; Kim, J.H.; Chen, L.; Pardoll, D.M.; Topalian, S.; Anders, R.A. Association of PD-1, PD-1 ligands, and other features of the tumor immune microenvironment with response to anti-PD-1 therapy. Clin. Cancer Res. 2014, 20, 5064–5074. [Google Scholar] [CrossRef] [PubMed]
- Ahtiainen, M.; Wirta, E.V.; Kuopio, T.; Seppälä, T.; Rantala, J.; Mecklin, J.P.; Böhm, J. Combined prognostic value of CD274 (PD-L1)/PDCDI (PD-1) expression and immune cell infiltration in colorectal cancer as per mismatch repair status. Mod. Pathol. 2019, 32, 866–883. [Google Scholar] [CrossRef]
- Wang, D.; DuBois, R.N. The Role of Prostaglandin E (2) in Tumor-Associated Immunosuppression. Trends Mol. Med. 2016, 22, 1–3. [Google Scholar] [CrossRef]
- Hänninen, U.A.; Katainen, R.; Tanskanen, T.; Plaketti, R.M.; Laine, R.; Hamberg, J.; Ristimäki, A.; Pukkala, E.; Taipale, M.; Mecklin, J.P.; et al. Exome-wide somatic mutation characterization of small bowel adenocarcinoma. PLoS Genet. 2018, 14, e1007200. [Google Scholar] [CrossRef]
- Thota, R.; Gonzalez, R.S.; Berlin, J.; Cardin, D.B.; Shi, C. Could the PD-1 Pathway Be a Potential Target for Treating Small Intestinal Adenocarcinoma? J. Clin. Pathol. 2017, 148, 208–214. [Google Scholar] [CrossRef]
- Ohigashi, Y.; Sho, M.; Yamada, Y.; Tsurui, Y.; Hamada, K.; Ikeda, N. Clinical significance of programmed death-1 ligand-1 and programmed death-1 ligand-2 expression in human esophageal cancer. Clin. Cancer Res. 2005, 11, 2947–2953. [Google Scholar] [CrossRef]
- Chen, L.; Deng, H.; Lu, M.; Xu, B.; Wang, Q.; Jiang, J. B7-H1 expression associates with tumor invasion and predicts patient’s survival in human esophageal cancer. Int. J. Clin. Exp. Pathol. 2014, 7, 6015–6023. [Google Scholar]
- Wang, L.; Ma, Q.; Chen, X.; Guo, K.; Li, J.; Zhang, M. Clinical significance of B7-H1 and B7-1 expressions in pancreatic carcinoma. World J. Surg. 2010, 34, 1059–1065. [Google Scholar] [CrossRef]
- Zeng, Z.; Shi, F.; Zhou, L.; Zhang, M.N.; Chen, Y.; Chang, X.J. Upregulation of circulating PD-L1/PD-1 is associated with poor post-cryoablation prognosis in patients with HBV-related hepatocellular carcinoma. PLoS ONE 2011, 6, e23621. [Google Scholar] [CrossRef] [PubMed]
- Thompson, R.H.; Dong, H.; Kwon, E.D. Implications of B7-H1 expression in clear cell carcinoma of the kidney for prognostication and therapy. Clin. Cancer Res. 2007, 13, 709–715. [Google Scholar] [CrossRef] [PubMed]
- Hamanishi, J.; Mandai, M.; Iwasaki, M.; Okazaki, T.; Tanaka, Y.; Yamaguchi, K.; Higuchi, T.; Yagi, H.; Takakura, K.; Minato, N.; et al. Programmed cell death 1 ligand 1 and tumor infiltrating CD8+ T lymphocytes are prognostic factors of human ovarian cancer. Proc. Natl. Acad. Sci. USA 2007, 104, 3360–3365. [Google Scholar] [CrossRef]
- Schalper, K.A.; Velcheti, V.; Carvajal, D.; Wimberly, H.; Brown, J.; Pusztai, L.; Rimm, D.L. In situ tumor PD-L1 mRNA expression is associated with increased TILs and better outcome in breast carcinomas. Clin. Cancer Res. 2014, 20, 773–2782. [Google Scholar] [CrossRef]
- Lipson, E.J.; Vincent, J.G.; Loyo, M.; Kagohara, L.T.; Luber, B.S.; Wang, H.; Xu, H.; Nayar, S.K.; Wang, T.S.; Sidransky, D.; et al. PD-L1 expression in the Merkel cell carcinoma microenvironment: Association with inflammation, Merkel cell polyomavirus and overall survival. Cancer Immunol. Res. 2013, 1, 54–63. [Google Scholar] [CrossRef] [PubMed]
- Mu, C.Y.; Huang, J.A.; Chen, Y.; Chen, C.; Zhang, X.G. High expression of PD-L1 in lung cancer may contribute to poor prognosis and tumor cells immune escape through suppressing tumor infiltrating dendritic cells maturation. Med. Oncol. 2011, 28, 682–688. [Google Scholar] [CrossRef]
- Velcheti, V.; Schalper, K.A.; Carvajal, D.E.; Anagnostou, V.K.; Syrigos, K.N.; Sznol, M.; Herbst, R.S.; Gettinger, S.N.; Chen, L.; Rimm, D.L. Programmed death ligand-1 expression in non-small cell lung cancer. Lab. Investig. 2014, 94, 107–116. [Google Scholar] [CrossRef]
- Yang, C.Y.; Lin, M.W.; Chang, Y.L.; Wu, C.T.; Yang, P.C. Programmed cell death-ligand 1 expression in surgically resected stage I pulmonary adenocarcinoma and its correlation with driver mutations and clinical outcomes. Eur. J. Cancer 2014, 50, 1361–1369. [Google Scholar] [CrossRef]
- Hino, R.; Kabashima, K.; Kato, Y.; Yagi, H.; Nakamura, M.; Honjo, T.; Okazaki, T.; Tokura, Y. Tumor cell expression of programmed cell death-1 ligand 1 is a prognostic factor for malignant melanoma. Cancer 2010, 116, 1757–1766. [Google Scholar] [CrossRef]
- Taube, J.M.; Anders, R.A.; Young, G.D.; Xu, H.; Sharma, R.; McMiller, T.L.; Chen, S.; Klein, A.P.; Pardoll, D.M.; Topalian, S.L.; et al. Colocalization of inflammatory response with B7-H1 expression in human melanocytic lesions supports an adaptive resistance mechanism of immune escape. Sci. Transl. Med. 2012, 4, 127–137. [Google Scholar] [CrossRef]
- Gu, L.; Chen, M.; Guo, D.; Zhu, H.; Zhang, W.; Pan, J.; Zhong, X.; Li, X.; Qian, H.; Wang, X. PD-L1 and gastric cancer prognosis: A systematic review and meta-analysis. PLoS ONE 2017, 12, e0182692. [Google Scholar] [CrossRef] [PubMed]
- Lee, K.S.; Kwak, Y.; Ahn, S.; Shin, E.; Oh, H.K.; Kim, D.W.; Lee, H.S. Prognostic implication of CD274 (PD-L1) protein expression in tumor-infiltrating immune cells for microsatellite unstable and stable colorectal cancer. Cancer Immunol. Immunother. 2017, 66, 927–939. [Google Scholar] [CrossRef] [PubMed]
- Li, Y.; Liang, L.; Dai, W.; Cai, G.; Xu, Y.; Li, X.; Li, Q.; Cai, S. Prognostic impact of programed cell death-1 (PD-1) and PD-ligand 1 (PD-L1) expression in cancer cells and tumor infiltrating lymphocytes in colorectal cancer. Mol. Cancer 2016, 15, 55. [Google Scholar] [CrossRef] [PubMed]
- Shi, S.J.; Wang, L.J.; Wang, G.D.; Guo, Z.Y.; Wei, M.; Meng, Y.L.; Yang, A.G.; Wen, W.H. B7-H1 expression is associated with poor prognosis in colorectal carcinoma and regulates the proliferation and invasion of HCT116 colorectal cancer cells. PLoS ONE 2013, 8, e76012. [Google Scholar] [CrossRef] [PubMed]
- Wang, X.; Teng, F.; Kong, L.; Yu, J. PD-L1 expression in human cancers and its association with clinical outcomes. Onco Targets Ther. 2016, 9, 5023. [Google Scholar] [CrossRef] [PubMed]
- Ilie, M.; Hofman, V.; Dietel, M.; Soria, J.C.; Hofman, P. Assessment of the PD-L1 status by immunohistochemistry: Challenges and perspectives for therapeutic strategies in lung cancer patients. Virchows Arch. 2016, 468, 511–525. [Google Scholar] [CrossRef]
- Yamazaki, T.; Akiba, H.; Koyanagi, A.; Azuma, M.; Yagita, H.; Okumura, K. Blockade of B7-H1 on macrophages suppresses CD4+ T cell proliferation by augmenting IFN-gamma-induced nitric oxide production. J. Immunol. 2005, 175, 1586–1592. [Google Scholar] [CrossRef]
- Tunger, A.; Sommer, U.; Wehner, R.; Kubasch, A.S.; Grimm, M.O.; Bachmann, M.P.; Platzbecker, U.; Bornhäuser, M.; Baretton, G.; Schmitz, M. The Evolving Landscape of Biomarkers for Anti-PD-1 or Anti-PD-L1. Ther. J. Clin. Med. 2019, 8, 1534. [Google Scholar] [CrossRef]
- Salem, M.E.; Puccini, A.; Grothey, A.; Raghavan, D.; Goldberg, R.M.; Xiu, J.; Korn, W.M.; Weinberg, B.A.; Hwang, J.J.; Shields, A.F.; et al. Landscape of Tumor Mutation Load, Mismatch Repair Deficiency, and PD-L1 Expression in a Large Patient Cohort of Gastrointestinal Cancers. Mol. Cancer Res. 2018, 16, 805–812. [Google Scholar] [CrossRef]
- Hellmann, M.D.; Ciuleanu, T.E.; Pluzanski, A.; Lee, J.S.; Otterson, G.A.; Audigier-Valette, C.; Minenza, E.; Linardou, H.; Burgers, S.; Salman, P.; et al. Nivolumab plus ipilimumab in lung cancer with a high tumor mutational burden. N. Engl. J. Med. 2018, 378, 2093–2104. [Google Scholar] [CrossRef]
- Chalmers, Z.R.; Connelly, C.F.; Fabrizio, D.; Gay, L.; Ali, S.; Ennis, R.; Schrock, A.; Campbell, B.; Shlien, A.; Chmielecki, J.; et al. Analysis of 100,000 human cancer genomes reveals the landscape of tumor mutational burden. Genome. Med. 2017, 9, 34. [Google Scholar] [CrossRef] [PubMed]
- Zehir, A.; Benayed, R.; Shah, R.H.; Syed, A.; Middha, S.; Kim, H.R.; Srinivasan, P.; Gao, J.; Chakravarty, D.; Devlin, S.M.; et al. Mutational landscape of metastatic cancer revealed from prospective clinical sequencing of 10,000 patients. Nat. Med. 2017, 23, 703–713. [Google Scholar] [CrossRef] [PubMed]
- Alexandrov, L.B.; Nik-Zainal, S.; Wedge, D.C.; Aparicio, S.A.J.R.; Behjati, S.; Biankin, A.V.; Bignell, G.R.; Bolli, N.; Borg, A.; Børresen-Dale, A.L.; et al. Signatures of mutational processes in human cancer. Nature 2013, 500, 415–421. [Google Scholar] [CrossRef] [PubMed]
- Brousse, N.; Meijer, J.W. Malignant complications of coeliac disease. Best Pract. Res. Clin. Gastroenterol. 2005, 19, 401–412. [Google Scholar] [CrossRef] [PubMed]
- Potter, D.D.; Murray, J.A.; Donohue, J.H.; Burgart, L.J.; Nagorney, D.M.; van Heerden, J.A.; Plevak, M.F.; Zinsmeister, A.R.; Thibodeau, S.N. The role of defective mismatch repair in small bowel adenocarcinoma in celiac disease. Cancer Res. 2004, 64, 7073–7077. [Google Scholar] [CrossRef] [PubMed]
- Caio, G.; Volta, U.; Ursini, F.; Manfredini, R.; De Giorgio, R. Small bowel adenocarcinoma as a complication of celiac disease: Clinical and diagnostic features. BMC Gastroenterol. 2019, 19, 45. [Google Scholar] [CrossRef] [PubMed]
- Schottenfeld, D.; Beebe-Dimmer, J.L.; Vigneau, F.D. The Epidemiology and Pathogenesis of Neoplasia in the Small Intestine. Ann. Epidemiol. 2009, 19, 58–69. [Google Scholar] [CrossRef]
- Bankhead, P.; Loughrey, M.B.; Fernández, J.A.; Dombrowski, Y.; McArt, D.G.; Dunne, P.D.; McQuaid, S.; Gray, R.T.; Murray, L.J.; Coleman, H.G.; et al. QuPath: Open source software for digital pathology image analysis. Sci. Rep. 2017, 7, 16878. [Google Scholar] [CrossRef]


| Low ICS | High ICS | Total | p-Value | |
|---|---|---|---|---|
| n = 58 | n = 35 | n = 93 | ||
| (% of Row) | (% of Row) | (% of the Column) | ||
| Age | ||||
| <60 years | 23 (61) | 15 (40) | 38 (41) | 0.761 |
| ≥60 years | 35 (64) | 20 (36) | 55 (59) | |
| Sex | ||||
| Female | 29 (66) | 15 (34) | 44 (47) | 0.504 |
| Male | 29 (59) | 20 (41) | 49 (53) | |
| TNM stage | ||||
| I | 1 (25) | 3 (75) | 4 (4) | 0.022 * |
| II | 11 (55) | 9 (45) | 20 (22) | |
| III | 12 (50) | 12 (50) | 24 (26) | |
| IV | 26 (76) | 8 (24) | 34 (37) | |
| Tumour grade | ||||
| 1 | 10 (59) | 7 (41) | 17 (19) | 0.889 * |
| 2 | 35 (63) | 21 (38) | 56 (63) | |
| 3 | 9 (56) | 7 (44) | 16 (18) | |
| MMR status | ||||
| MSI | 4 (29) | 10 (71) | 14 (15) | 0.005 |
| MSS | 54 (68) | 25 (32) | 79 (85) | |
| Tumour location | ||||
| Duodenum | 9 (53) | 8 (47) | 17 (18) | 0.292 |
| Jejunum | 33 (66) | 17 (34) | 50 (54) | |
| Ileum | 9 (53) | 8 (47) | 17 (18) | |
| Hereditary syndromes | ||||
| Lynch syndrome | 1 (25) | 3 (75) | 4 (4) | 0.265 |
| FAP | 1 (50) | 1 (50) | 2 (2) | |
| No | 56 (64) | 31 (36) | 87 (94) | |
| Crohn’s disease | ||||
| Yes | 3 (75) | 1 (25) | 4 (4) | 1.000 ** |
| No | 55 (62) | 34 (38) | 89 (95) | |
| Coeliac disease | ||||
| Yes | 4 (44) | 5 (56) | 9 (10) | 0.289 ** |
| No | 54 (64) | 30 (36) | 84 (90) | |
| Immunoprofile 0 | Immunoprofile 1 | Immunoprofile 2 | Immunoprofile 3 | Total | p-Value | |
|---|---|---|---|---|---|---|
| n = 47 | n = 18 | n = 13 | n = 14 | n = 92 | ||
| (% of Row) | (% of Row) | (% of Row) | (% of Row) | (% of Column) | ||
| Age | ||||||
| <60 years | 18 (49) | 8 (22) | 5 (14) | 6 (16) | 37 (40) | 0.967 |
| ≥60 years | 29 (53) | 10 (18) | 8 (15) | 8 (15) | 55 (60) | |
| Sex | ||||||
| Female | 23 (54) | 9 (21) | 5 (12) | 6 (14) | 43 (47) | 0.894 |
| Male | 24 (49) | 9 (18) | 8 (16) | 8 (16) | 49 (53) | |
| TNM stage | ||||||
| I | 1 (25) | 1 (25) | 0 (0) | 2 (50) | 4 (5) | 0.003 * |
| II | 8 (40) | 3 (15) | 4 (20) | 5 (25) | 20 (25) | |
| III | 8 (35) | 5 (22) | 6 (26) | 4 (17) | 23 (28) | |
| IV | 22 (65) | 8 (24) | 2 (6) | 2 (6) | 34 (42) | |
| Tumour grade | ||||||
| 1 | 8 (47) | 4 (24) | 4 (24) | 1 (6) | 17 (19) | 0.544 * |
| 2 | 29 (53) | 9 (16) | 8 (15) | 9 (16) | 55 (63) | |
| 3 | 7 (44) | 4 (25) | 1 (6) | 4 (25) | 16 (18) | |
| MMR status | ||||||
| MSS | 45 (58) | 18 (23) | 8 (10) | 7 (9) | 78 (85) | <0.001 |
| MSI | 2 (14) | 0 (0) | 5 (36) | 7 (50) | 14 (15) | |
| Location | ||||||
| Duodenum | 7 (41) | 3 (18) | 4 (24) | 3 (18) | 17 (21) | 0.563 |
| Jejunum | 27 (55) | 9 (18) | 6 (12) | 7 (14) | 49 (59) | |
| Ileum | 7 (41) | 5 (35) | 1 (6) | 3 (18) | 17 (21) | |
| Lynch syndrome | ||||||
| no | 47 (53) | 18 (21) | 11 (13) | 12 (14) | 88 (96) | 0.018 |
| yes | 0 (0) | 0 (0) | 2 (50) | 2 (50) | 4 (4) | |
| Crohn’s disease | ||||||
| no | 45 (51) | 17 (19) | 13 (15) | 13 (15) | 88 (96) | 0.821 |
| yes | 2 (50) | 1 (25) | 0 (0) | 1 (25) | 4 (4) | |
| Coeliac disease | ||||||
| no | 43 (52) | 17 (21) | 11 (13) | 12 (15) | 83 (90) | 0.745 |
| yes | 4 (44) | 1 (11) | 2 (22) | 2 (22) | 9 (10) | |
| TMB-Low | TMB-High | Total | p-Value | |
|---|---|---|---|---|
| (% of Row) | (% of Row) | (% of Column) | ||
| Age | ||||
| <60 years | 32 (82) | 7 (18) | 39 (41) | 0.803 |
| ≥60 years | 44 (80) | 11 (10) | 55 (59) | |
| Sex | ||||
| Female | 36 (82) | 8 (18) | 44 (47) | 0.823 |
| Male | 40 (80) | 10 (20) | 50 (53) | |
| pTNM stage | ||||
| I | 3 (75) | 1 (25) | 4 (5) | 0.674 * |
| II | 16 (80) | 4 (20) | 20 (24) | |
| III | 18 (75) | 6 (25) | 24 (29) | |
| IV | 29 (83) | 6 (17) | 35 (42) | |
| Tumour grade | ||||
| 1 | 15 (88) | 2 (12) | 17 (19) | 0.166 * |
| 2 | 46 (81) | 11 (19) | 57 (63) | |
| 3 | 11 (69) | 5 (31) | 16 (18) | |
| MMR | ||||
| MSS | 76 (95) | 4 (5) | 80 (85) | <0.001 |
| MSI | 0 (0) | 14 (100) | 14 (15) | |
| ICS | ||||
| Low | 52 (90) | 6 (10) | 58 (62) | 0.005 |
| High | 23 (66) | 12 (34) | 35 (38) | |
| PD-L1IC | ||||
| Low | 61 (88) | 8 (12) | 69 (74) | 0.001 |
| High | 14 (58) | 10 (42) | 24 (26) | |
| PD-L1TC | ||||
| Low | 70 (81) | 16 (19) | 86 (92) | 0.617 |
| High | 5 (71) | 2 (29) | 7 (8) | |
| PD-1 | ||||
| Low | 60 (91) | 6 (9) | 66 (71) | <0.001 |
| High | 15 (56) | 12 (44) | 27 (29) | |
| Immunoprofile | ||||
| 0 | 44 (94) | 3 (6) | 47 (51) | <0.001 * |
| 1 | 15 (83) | 3 (17) | 18 (20) | |
| 2 | 8 (62) | 5 (39) | 13 (14) | |
| 3 | 7 (50) | 7 (50) | 14 (15) | |
| Tumour location | ||||
| Duodenum | 15 (88) | 2 (12) | 17 (20) | 0.738 |
| Ileum | 40 (80) | 10 (20) | 50 (59) | |
| Jejunum | 15 (83) | 3 (17) | 18 (21) | |
| Coeliac disease | ||||
| No | 72 (85) | 13 (15) | 85 (90) | 0.012 ** |
| Yes | 4 (44) | 5 (56) | 9 (10) | |
| Crohn’s disease | ||||
| No | 72 (80) | 18 (20) | 90 (96) | 1.000 ** |
| Yes | 4 (100) | 0 (0) | 4 (4) | |
| Univariable Analysis | Disease-Specific Survival | Overall Survival | |||
|---|---|---|---|---|---|
| (n = 68) | (n = 68) | ||||
| P | HR (95% CI) | p-Value | HR (95% CI) | p-Value | |
| Age | |||||
| <60 years | DSS: 0.614 OS: 0.640 | 1 | 0.146 | 1 | 0.052 |
| ≥60 years | 1.89 (0.80–4.47) | 2.22 (0.99–4.96) | |||
| Sex | |||||
| Female | DSS: 0.829 OS: 0.536 | 1 | 0.251 | 1 | 0.446 |
| Male | 0.65 (0.31–1.35) | 0.76 (0.38–1.54) | |||
| TNM stage | |||||
| I | DSS: <0.001 OS: <0.001 | 1 | 0.001 | 1 | <0.001 |
| II | 2.03 (0.18–22.44) | 0.62 (0.11–3.42) | |||
| III | 3.15 (0.30–32.67) | 0.85 (0.16–4.52) | |||
| IV | 17.16 (1.44–204.47) | 6.64 (1.08–41.07) | |||
| MMR status | |||||
| MSS | DSS: 0.010 OS: 0.004 | 5.83 (0.66–51.41) | 0.112 | 12.18 (1.37–108.21) | 0.025 |
| MSI | 1 | 1 | |||
| Immune cell score | |||||
| low | DSS: 0.001 OS: <0.001 | 1.96 (0.79–4.85) | 0.145 | 2.33 (0.98–5.57) | 0.056 |
| high | 1 | 1 | |||
| PD-1 | |||||
| low | DSS: <0.001 OS: <0.001 | 1.13 (0.27–4.78) | 0.868 | 0.51 (0.14–1.84) | 0.307 |
| high | 1 | 1 | |||
| PD-L1IC | |||||
| low | DSS: <0.001 OS: <0.001 | 4.73 (1.27–17.57) | 0.020 | 3.88 (1.26–11.93) | 0.018 |
| high | 1 | 1 | |||
| Tumour location | |||||
| Duodenum | DSS: 0.043 OS: 0.015 | 1 | <0.001 | 1 | <0.001 |
| Jejunum | 0.88 (0.25–3.08) | 1.00 (0.31–3.21) | |||
| Ileum | 7.83 (1.55–39.62) | 7.26 (1.57–33.54) | |||
| Univariable Analysis | Disease-Specific Survival | Overall Survival | |||
|---|---|---|---|---|---|
| (n = 68) | (n = 68) | ||||
| P | HR (95% CI) | p-Value | HR (95% CI) | p-Value | |
| Age | |||||
| <60 years | DSS: 0.614 OS: 0.640 | 1 | 0.038 | 1 | 0.018 |
| ≥60 years | 2.44 (1.05–5.67) | 2.61 (1.18–5.79) | |||
| Sex | |||||
| Female | DSS: 0.829 OS: 0.536 | 1 | 0.053 | 1 | 0.091 |
| Male | 0.49 (0.24–1.01) | 0.55 (0.28–1.10) | |||
| TNM stage | |||||
| I | DSS: <0.001 OS: <0.001 | 1 | <0.001 | 1 | <0.001 |
| II | 2.79 (0.27–28.68) | 1.03 (0.20–5.36) | |||
| III | 6.26 (0.66–59.29) | 2.06 (0.45–9.42) | |||
| IV | 32.91 (2.88–375.66) | 13.24 (2.23–78.55) | |||
| MMR status | |||||
| MSS | DSS: 0.010 OS: 0.004 | 5.23 (0.57–47.57) | 0.142 | 8.90 (1.00–79.39) | 0.050 |
| MSI | 1 | 1 | |||
| Immunoprofile | |||||
| Low | DSS: <0.001 OS: <0.001 | 6.34 (1.61–24.97) | 0.008 | 3.57 (1.20–10.62) | 0.022 |
| High | 1 | 1 | |||
| Tumour location | |||||
| Duodenum | DSS: 0.043 OS: 0.015 | 1 | 0.001 | 1 | 0.002 |
| Jejunum | 0.58 (0.18–1.90) | 0.57 (0.19–1.74) | |||
| Ileum | 3.37 (0.79–14.32) | 2.83 (0.70–11.41) | |||
© 2020 by the authors. Licensee MDPI, Basel, Switzerland. This article is an open access article distributed under the terms and conditions of the Creative Commons Attribution (CC BY) license (http://creativecommons.org/licenses/by/4.0/).
Share and Cite
Wirta, E.-V.; Szeto, S.; Hänninen, U.; Ahtiainen, M.; Böhm, J.; Mecklin, J.-P.; Aaltonen, L.A.; Seppälä, T.T. Prognostic Value of Immune Environment Analysis in Small Bowel Adenocarcinomas with Verified Mutational Landscape and Predisposing Conditions. Cancers 2020, 12, 2018. https://doi.org/10.3390/cancers12082018
Wirta E-V, Szeto S, Hänninen U, Ahtiainen M, Böhm J, Mecklin J-P, Aaltonen LA, Seppälä TT. Prognostic Value of Immune Environment Analysis in Small Bowel Adenocarcinomas with Verified Mutational Landscape and Predisposing Conditions. Cancers. 2020; 12(8):2018. https://doi.org/10.3390/cancers12082018
Chicago/Turabian StyleWirta, Erkki-Ville, Säde Szeto, Ulrika Hänninen, Maarit Ahtiainen, Jan Böhm, Jukka-Pekka Mecklin, Lauri A. Aaltonen, and Toni T. Seppälä. 2020. "Prognostic Value of Immune Environment Analysis in Small Bowel Adenocarcinomas with Verified Mutational Landscape and Predisposing Conditions" Cancers 12, no. 8: 2018. https://doi.org/10.3390/cancers12082018
APA StyleWirta, E.-V., Szeto, S., Hänninen, U., Ahtiainen, M., Böhm, J., Mecklin, J.-P., Aaltonen, L. A., & Seppälä, T. T. (2020). Prognostic Value of Immune Environment Analysis in Small Bowel Adenocarcinomas with Verified Mutational Landscape and Predisposing Conditions. Cancers, 12(8), 2018. https://doi.org/10.3390/cancers12082018

