Clinical Impact of RANK Signalling in Ovarian Cancer
Abstract
1. Introduction
2. Results
2.1. RANKL Is Highly Expressed in OC and BRCA1/2 Mutated Tumours
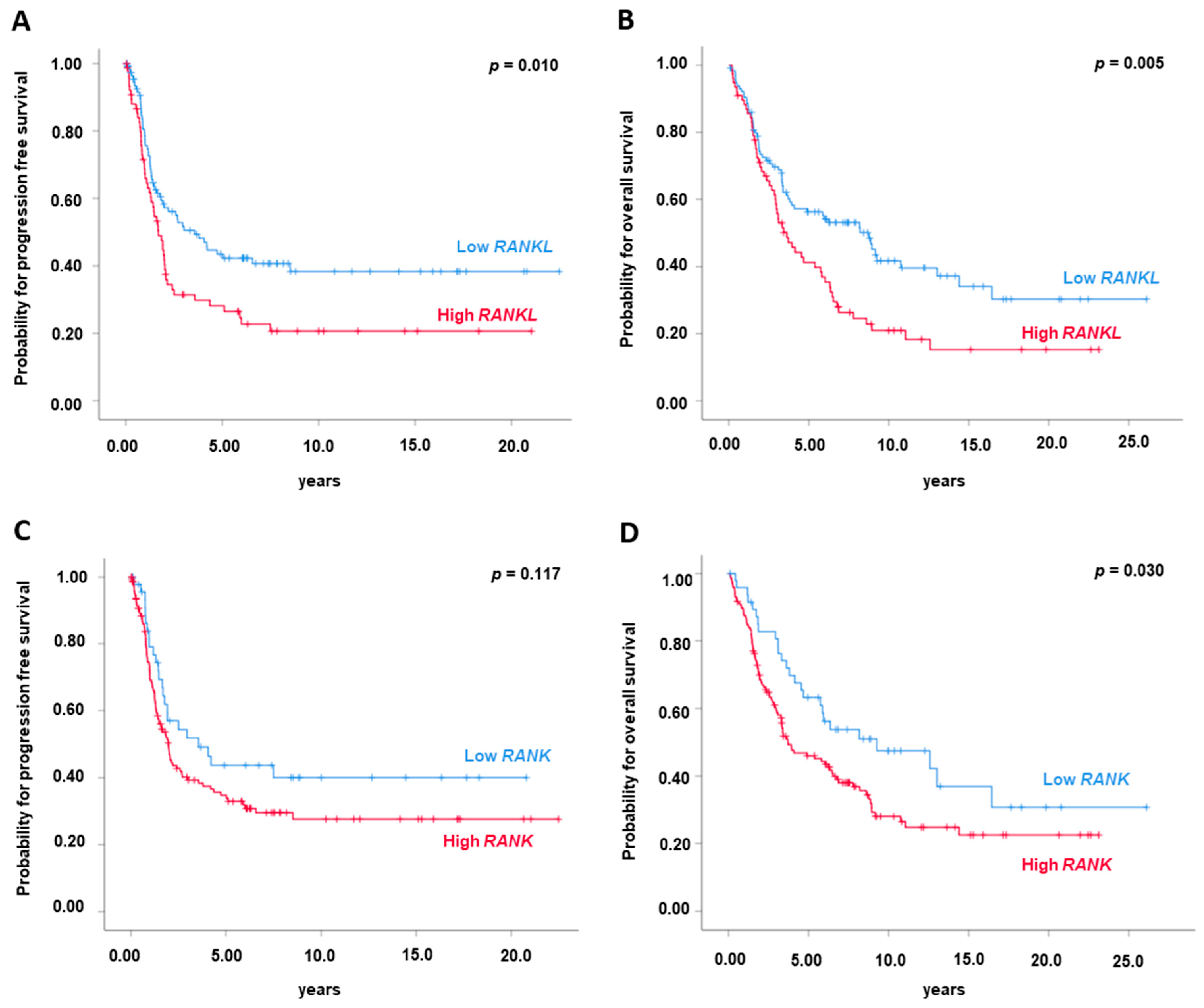
2.2. High RANKL mRNA Expression is Associated with Poor Prognosis
2.3. Validation of the Prognostic Impact of RANKL Expression in an Independent Cohort
2.4. RANK, RANKL and OPG Are Expressed on Tumour Cells and in the Tumour Microenvironment
2.5. Neither Stimulation with RANKL Nor Treatment with Denosmuab Affects OC Cell Proliferation
2.6. High CCND1 mRNA Expression is Associated with Poor Prognosis
3. Discussion
4. Materials and Methods
4.1. Patients and Samples
4.2. RNA Isolation and Reverse Transcription
4.3. Quantitative Real Time PCR
4.4. TCGA Cohort
4.5. Immunohistochemistry
4.6. Culture and Treatment of OC Cells
4.7. MTT Assay
4.8. Statistical Analysis
5. Conclusions
Supplementary Materials
Author Contributions
Funding
Acknowledgments
Conflicts of Interest
References
- Cannistra, S.A. Cancer of the ovary. N. Engl. J. Med. 2004, 351, 2519–2529. [Google Scholar] [CrossRef] [PubMed]
- Baldwin, L.A.; Huang, B.; Miller, R.W.; Tucker, T.; Goodrich, S.T.; Podzielinski, I.; DeSimone, C.P.; Ueland, F.R.; van Nagell, J.R.; Seamon, L.G. Ten-year relative survival for epithelial ovarian cancer. Obstet. Gynecol. 2012, 120, 612–618. [Google Scholar] [CrossRef] [PubMed]
- Wada, T.; Nakashima, T.; Hiroshi, N.; Penninger, J.M. RANKL-RANK signaling in osteoclastogenesis and bone disease. Trends Mol. Med. 2006, 12, 17–25. [Google Scholar] [CrossRef] [PubMed]
- Simonet, W.S.; Lacey, D.L.; Dunstan, C.R.; Kelley, M.; Chang, M.S.; Luthy, R.; Nguyen, H.Q.; Wooden, S.; Bennett, L.; Boone, T.; et al. Osteoprotegerin: a novel secreted protein involved in the regulation of bone density. Cell 1997, 89, 309–319. [Google Scholar] [CrossRef]
- Walsh, M.C.; Choi, Y. Biology of the RANKL-RANK-OPG System in Immunity, Bone, and Beyond. Front. Immunol. 2014, 5, 511. [Google Scholar] [CrossRef] [PubMed]
- Jones, D.H.; Nakashima, T.; Sanchez, O.H.; Kozieradzki, I.; Komarova, S.V.; Sarosi, I.; Morony, S.; Rubin, E.; Sarao, R.; Hojilla, C.V.; et al. Regulation of cancer cell migration and bone metastasis by RANKL. Nature 2006, 440, 692–696. [Google Scholar] [CrossRef] [PubMed]
- Cheng, M.L.; Fong, L. Effects of RANKL-Targeted Therapy in Immunity and Cancer. Front. Oncol. 2014, 3, 329. [Google Scholar] [CrossRef] [PubMed]
- Eghbali-Fatourechi, G.; Khosla, S.; Sanyal, A.; Boyle, W.J.; Lacey, D.L.; Riggs, B.L. Role of RANK ligand in mediating increased bone resorption in early postmenopausal women. J. Clin. Invest. 2003, 111, 1221–1230. [Google Scholar] [CrossRef] [PubMed]
- Hu, H.; Wang, J.; Gupta, A.; Shidfar, A.; Branstetter, D.; Lee, O.; Ivancic, D.; Sullivan, M.; Chatterton, R.T., Jr.; Dougall, W.C.; et al. RANKL expression in normal and malignant breast tissue responds to progesterone and is up-regulated during the luteal phase. Breast Cancer Res. Treat. 2014, 146, 515–523. [Google Scholar] [CrossRef]
- Tanos, T.; Sflomos, G.; Echeverria, P.C.; Ayyanan, A.; Gutierrez, M.; Delaloye, J.F.; Raffoul, W.; Fiche, M.; Dougall, W.; Schneider, P.; et al. Progesterone/RANKL is a major regulatory axis in the human breast. Sci. Transl. Med. 2013, 5, 182ra155. [Google Scholar] [CrossRef]
- Sigl, V.; Owusu-Boaitey, K.; Joshi, P.A.; Kavirayani, A.; Wirnsberger, G.; Novatchkova, M.; Kozieradzki, I.; Schramek, D.; Edokobi, N.; Hersl, J.; et al. RANKL/RANK control Brca1 mutation. Cell Res. 2016, 26, 761–774. [Google Scholar] [CrossRef] [PubMed]
- Longacre, M.; Snyder, N.A.; Housman, G.; Leary, M.; Lapinska, K.; Heerboth, S.; Willbanks, A.; Sarkar, S. A Comparative Analysis of Genetic and Epigenetic Events of Breast and Ovarian Cancer Related to Tumorigenesis. Int. J. Mol. Sci. 2016, 17, 759. [Google Scholar] [CrossRef] [PubMed]
- Ahern, E.; Harjunpaa, H.; Barkauskas, D.; Allen, S.; Takeda, K.; Yagita, H.; Wyld, D.; Dougall, W.C.; Teng, M.W.L.; Smyth, M.J. Co-administration of RANKL and CTLA4 Antibodies Enhances Lymphocyte-Mediated Antitumor Immunity in Mice. Clin. Cancer. Res. 2017, 23, 5789–5801. [Google Scholar] [CrossRef] [PubMed]
- Afzal, M.Z.; Shirai, K. Immune checkpoint inhibitor (anti-CTLA-4, anti-PD-1) therapy alone versus immune checkpoint inhibitor (anti-CTLA-4, anti-PD-1) therapy in combination with anti-RANKL denosumuab in malignant melanoma: a retrospective analysis at a tertiary care center. Melanoma Res. 2018, 28, 341–347. [Google Scholar] [CrossRef] [PubMed]
- van Dam, P.A.; Verhoeven, Y.; Trinh, X.B.; Wouters, A.; Lardon, F.; Prenen, H.; Smits, E.; Baldewijns, M.; Lammens, M. RANK/RANKL signaling inhibition may improve the effectiveness of checkpoint blockade in cancer treatment. Crit. Rev. Oncol. Hematol. 2019, 133, 85–91. [Google Scholar] [CrossRef] [PubMed]
- Smyth, M.J.; Yagita, H.; McArthur, G.A. Combination Anti-CTLA-4 and Anti-RANKL in Metastatic Melanoma. J. Clin. Oncol. 2016, 34, e104–e106. [Google Scholar] [CrossRef] [PubMed]
- Youden, W.J. Index for rating diagnostic tests. Cancer 1950, 3, 32–35. [Google Scholar] [CrossRef]
- Schramek, D.; Leibbrandt, A.; Sigl, V.; Kenner, L.; Pospisilik, J.A.; Lee, H.J.; Hanada, R.; Joshi, P.A.; Aliprantis, A.; Glimcher, L.; et al. Osteoclast differentiation factor RANKL controls development of progestin-driven mammary cancer. Nature 2010, 468, 98–102. [Google Scholar] [CrossRef]
- Kondegowda, N.G.; Fenutria, R.; Pollack, I.R.; Orthofer, M.; Garcia-Ocana, A.; Penninger, J.M.; Vasavada, R.C. Osteoprotegerin and Denosumab Stimulate Human Beta Cell Proliferation through Inhibition of the Receptor Activator of NF-kappaB Ligand Pathway. Cell Metab. 2015, 22, 77–85. [Google Scholar] [CrossRef]
- Sigl, V.; Jones, L.P.; Penninger, J.M. RANKL/RANK: from bone loss to the prevention of breast cancer. Open Biol. 2016, 6. [Google Scholar] [CrossRef]
- Santini, D.; Perrone, G.; Roato, I.; Godio, L.; Pantano, F.; Grasso, D.; Russo, A.; Vincenzi, B.; Fratto, M.E.; Sabbatini, R.; et al. Expression pattern of receptor activator of NFkappaB (RANK) in a series of primary solid tumors and related bone metastases. J. Cell. Physiol. 2011, 226, 780–784. [Google Scholar] [CrossRef]
- Santini, D.; Schiavon, G.; Vincenzi, B.; Gaeta, L.; Pantano, F.; Russo, A.; Ortega, C.; Porta, C.; Galluzzo, S.; Armento, G.; et al. Receptor activator of NF-kB (RANK) expression in primary tumors associates with bone metastasis occurrence in breast cancer patients. PLoS ONE 2011, 6, e19234. [Google Scholar] [CrossRef]
- Bhatia, P.; Sanders, M.M.; Hansen, M.F. Expression of receptor activator of nuclear factor-kappaB is inversely correlated with metastatic phenotype in breast carcinoma. Clin. Cancer Res. 2005, 11, 162–165. [Google Scholar]
- Zhang, X.; Song, Y.; Song, N.; Zhang, L.; Wang, Y.; Li, D.; Wang, Z.; Qu, X.; Liu, Y. Rankl expression predicts poor prognosis in gastric cancer patients: results from a retrospective and single-center analysis. Braz. J. Med. Biol. Res. 2018, 51, e6265. [Google Scholar] [CrossRef]
- Schmohl, J.U.; Nuebling, T.; Wild, J.; Kroell, T.; Kanz, L.; Salih, H.R.; Schmetzer, H. Expression of RANK-L and in part of PD-1 on blasts in patients with acute myeloid leukemia correlates with prognosis. Eur. J. Haematol. 2016, 97, 517–527. [Google Scholar] [CrossRef]
- Vidula, N.; Yau, C.; Li, J.; Esserman, L.J.; Rugo, H.S. Receptor activator of nuclear factor kappa B (RANK) expression in primary breast cancer correlates with recurrence-free survival and development of bone metastases in I-SPY1 (CALGB 150007/150012; ACRIN 6657). Breast Cancer Res. Treat. 2017, 165, 129–138. [Google Scholar] [CrossRef]
- Pfitzner, B.M.; Branstetter, D.; Loibl, S.; Denkert, C.; Lederer, B.; Schmitt, W.D.; Dombrowski, F.; Werner, M.; Rudiger, T.; Dougall, W.C.; et al. RANK expression as a prognostic and predictive marker in breast cancer. Breast Cancer Res. Treat. 2014, 145, 307–315. [Google Scholar] [CrossRef]
- Beuselinck, B.; Jean-Baptiste, J.; Couchy, G.; Job, S.; De Reynies, A.; Wolter, P.; Theodore, C.; Gravis, G.; Rousseau, B.; Albiges, L.; et al. RANK/OPG ratio of expression in primary clear-cell renal cell carcinoma is associated with bone metastasis and prognosis in patients treated with anti-VEGFR-TKIs. Br. J. Cancer 2015, 113, 1313–1322. [Google Scholar] [CrossRef]
- Mikami, S.; Katsube, K.; Oya, M.; Ishida, M.; Kosaka, T.; Mizuno, R.; Mochizuki, S.; Ikeda, T.; Mukai, M.; Okada, Y. Increased RANKL expression is related to tumour migration and metastasis of renal cell carcinomas. J. Pathol. 2009, 218, 530–539. [Google Scholar] [CrossRef]
- Chen, G.; Sircar, K.; Aprikian, A.; Potti, A.; Goltzman, D.; Rabbani, S.A. Expression of RANKL/RANK/OPG in primary and metastatic human prostate cancer as markers of disease stage and functional regulation. Cancer 2006, 107, 289–298. [Google Scholar] [CrossRef]
- Bago-Horvath, Z.; Schmid, K.; Rossler, F.; Nagy-Bojarszky, K.; Funovics, P.; Sulzbacher, I. Impact of RANK signalling on survival and chemotherapy response in osteosarcoma. Pathology 2014, 46, 411–415. [Google Scholar] [CrossRef]
- Beleut, M.; Rajaram, R.D.; Caikovski, M.; Ayyanan, A.; Germano, D.; Choi, Y.; Schneider, P.; Brisken, C. Two distinct mechanisms underlie progesterone-induced proliferation in the mammary gland. Proc. Natl. Acad Sci. USA 2010, 107, 2989–2994. [Google Scholar] [CrossRef]
- Moynahan, M.E.; Pierce, A.J.; Jasin, M. BRCA2 is required for homology-directed repair of chromosomal breaks. Mol. Cell. 2001, 7, 263–272. [Google Scholar] [CrossRef]
- Maccio, A.; Madeddu, C. Inflammation and ovarian cancer. Cytokine 2012, 58, 133–147. [Google Scholar] [CrossRef]
- Volgger, B.M.; Windbichler, G.H.; Zeimet, A.G.; Graf, A.H.; Bogner, G.; Angleitner-Boubenizek, L.; Rohde, M.; Denison, U.; Sliutz, G.; Fuith, L.C.; et al. Long-term significance of urinary neopterin in ovarian cancer: a study by the Austrian Association for Gynecologic Oncology (AGO). Ann. Oncol. 2016, 27, 1740–1746. [Google Scholar] [CrossRef]
- White, K.L.; Schildkraut, J.M.; Palmieri, R.T.; Iversen, E.S., Jr.; Berchuck, A.; Vierkant, R.A.; Rider, D.N.; Charbonneau, B.; Cicek, M.S.; Sutphen, R.; et al. Ovarian cancer risk associated with inherited inflammation-related variants. Cancer Res. 2012, 72, 1064–1069. [Google Scholar] [CrossRef]
- Chawla, S.; Henshaw, R.; Seeger, L.; Choy, E.; Blay, J.Y.; Ferrari, S.; Kroep, J.; Grimer, R.; Reichardt, P.; Rutkowski, P.; et al. Safety and efficacy of denosumab for adults and skeletally mature adolescents with giant cell tumour of bone: interim analysis of an open-label, parallel-group, phase 2 study. Lancet Oncol. 2013, 14, 901–908. [Google Scholar] [CrossRef]
- Palafox, M.; Ferrer, I.; Pellegrini, P.; Vila, S.; Hernandez-Ortega, S.; Urruticoechea, A.; Climent, F.; Soler, M.T.; Munoz, P.; Vinals, F.; et al. RANK induces epithelial-mesenchymal transition and stemness in human mammary epithelial cells and promotes tumorigenesis and metastasis. Cancer Res. 2012, 72, 2879–2888. [Google Scholar] [CrossRef]
- Min, J.K.; Kim, Y.M.; Kim, Y.M.; Kim, E.C.; Gho, Y.S.; Kang, I.J.; Lee, S.Y.; Kong, Y.Y.; Kwon, Y.G. Vascular endothelial growth factor up-regulates expression of receptor activator of NF-kappa B (RANK) in endothelial cells. Concomitant increase of angiogenic responses to RANK ligand. J. Biol. Chem. 2003, 278, 39548–39557. [Google Scholar] [CrossRef]
- Kim, H.H.; Shin, H.S.; Kwak, H.J.; Ahn, K.Y.; Kim, J.H.; Lee, H.J.; Lee, M.S.; Lee, Z.H.; Koh, G.Y. RANKL regulates endothelial cell survival through the phosphatidylinositol 3′-kinase/Akt signal transduction pathway. FASEB J. 2003, 17, 2163–2165. [Google Scholar] [CrossRef]
- Khan, I.S.; Mouchess, M.L.; Zhu, M.L.; Conley, B.; Fasano, K.J.; Hou, Y.; Fong, L.; Su, M.A.; Anderson, M.S. Enhancement of an anti-tumor immune response by transient blockade of central T cell tolerance. J. Exp. Med. 2014, 211, 761–768. [Google Scholar] [CrossRef]
- Wieser, V.; Gaugg, I.; Fleischer, M.; Shivalingaiah, G.; Wenzel, S.; Sprung, S.; Lax, S.F.; Zeimet, A.G.; Fiegl, H.; Marth, C. BRCA1/2 and TP53 mutation status associates with PD-1 and PD-L1 expression in ovarian cancer. Oncotarget 2018, 9, 17501–17511. [Google Scholar] [CrossRef]
- Marth, C.; Wieser, V.; Tsibulak, I.; Zeimet, A.G. Immunotherapy in ovarian cancer: fake news or the real deal? Int. J. Gynecol. Cancer 2019, 29, 201–211. [Google Scholar] [CrossRef]
- Odunsi, K. Immunotherapy in ovarian cancer. Ann. Oncol. 2017, 28, viii1–viii7. [Google Scholar] [CrossRef]
- Sato, E.; Olson, S.H.; Ahn, J.; Bundy, B.; Nishikawa, H.; Qian, F.; Jungbluth, A.A.; Frosina, D.; Gnjatic, S.; Ambrosone, C.; et al. Intraepithelial CD8+ tumor-infiltrating lymphocytes and a high CD8+/regulatory T cell ratio are associated with favorable prognosis in ovarian cancer. Proc. Natl. Acad. Sci. USA. 2005, 102, 18538–18543. [Google Scholar] [CrossRef]
- van Dam, P.A.; Verhoeven, Y.; Jacobs, J.; Wouters, A.; Tjalma, W.; Lardon, F.; Van den Wyngaert, T.; Dewulf, J.; Smits, E.; Colpaert, C.; et al. RANK-RANKL Signaling in Cancer of the Uterine Cervix: A Review. Int. J. Mol. Sci. 2019, 20, 2183. [Google Scholar] [CrossRef]
- de Groot, A.F.; Appelman-Dijkstra, N.M.; van der Burg, S.H.; Kroep, J.R. The anti-tumor effect of RANKL inhibition in malignant solid tumors-A systematic review. Cancer Treat. Rev. 2018, 62, 18–28. [Google Scholar] [CrossRef]
- Wu, N.Y.; Huang, H.S.; Chao, T.H.; Chou, H.M.; Fang, C.; Qin, C.Z.; Lin, C.Y.; Chu, T.Y.; Zhou, H.H. Progesterone Prevents High-Grade Serous Ovarian Cancer by Inducing Necroptosis of p53-Defective Fallopian Tube Epithelial Cells. Cell Rep. 2017, 18, 2557–2565. [Google Scholar] [CrossRef]
- Burger, R.A.; Brady, M.F.; Bookman, M.A.; Fleming, G.F.; Monk, B.J.; Huang, H.; Mannel, R.S.; Homesley, H.D.; Fowler, J.; Greer, B.E.; et al. Incorporation of bevacizumab in the primary treatment of ovarian cancer. N. Engl. J. Med. 2011, 365, 2473–2483. [Google Scholar] [CrossRef]
- Tsibulak, I.; Wieser, V.; Degasper, C.; Shivalingaiah, G.; Wenzel, S.; Sprung, S.; Lax, S.F.; Marth, C.; Fiegl, H.; Zeimet, A.G. BRCA1 and BRCA2 mRNA-expression prove to be of clinical impact in ovarian cancer. Br. J. Cancer 2018, 119, 683–692. [Google Scholar] [CrossRef]
- Bieche, I.; Franc, B.; Vidaud, D.; Vidaud, M.; Lidereau, R. Analyses of MYC, ERBB2, and CCND1 genes in benign and malignant thyroid follicular cell tumors by real-time polymerase chain reaction. Thyroid 2001, 11, 147–152. [Google Scholar] [CrossRef]
- Wieser, V.; Adolph, T.E.; Enrich, B.; Kuliopulos, A.; Kaser, A.; Tilg, H.; Kaneider, N.C. Reversal of murine alcoholic steatohepatitis by pepducin-based functional blockade of interleukin-8 receptors. Gut 2017, 66, 930–938. [Google Scholar] [CrossRef]





| Univariate Survival Analysis in 192 Ovarian Cancer Patients | |||||||
| Variable | Progression Free Survival | Overall Survival | |||||
| No. Patients | Median, Years | p Value | No. Patients | Median, Years | p Value | ||
| (Relapsed/Total) | (95% CI) | (Died/Total) | (95% CI) | ||||
| Age (median) | ≤50.0 yrs. | 21/32 | 2.13 (4.03–9.17) | 0.762 | 15/32 | 9.15 (9.49–17.69) | 0.019 |
| >50.0 yrs. | 92/160 | 2.00 (6.71–10.11) | 105/160 | 3.9 (7.00–10.04) | |||
| FIGO stage | I/II | 10/50 | n.r. (13.63–18.83) | <0.001 | 18/50 | n.r. (12.23–18.08) | <0.001 |
| III/IV | 103/142 | 1.47 (4.03–6.95) | 102/142 | 3.80 (6.07–9.26) | |||
| Tumour grade | 1–2 | 54/99 | 2.06 (6.98–11.34) | 0.249 | 57/99 | 6.76 (9.09–13.78) | 0.07 |
| 3 | 57/91 | 1.98 (5.14–9.00) | 61/91 | 3.71 (5.57–8.92) | |||
| Residual disease after surgery | no | 38/96 | n.r. (10.54–15.10) | <0.001 | 35/96 | n.r. (11.98–16.49) | <0.001 |
| yes | 71/90 | 1.25 (2.25–5.02) | 81/90 | 2.55 (3.74–6.62) | |||
| Histology | HGSOC | 81/122 | 1.81 (4.28–7.41) | 0.003 | 88/122 | 3.70 (6.04–9.57) | 0.001 |
| others | 30/66 | 5.98 (9.31–14.68) | 29/66 | 11.06 (10.31–15.68) | |||
| RANKL mRNA expression | low | 58/115 | 3.56 (1.81–5.31) | 0.01 | 62/115 | 8.76 (5.98–11.55) | 0.005 |
| high | 55/77 | 1.68 (1.21–2.16) | 58/77 | 3.62 (2.51–4.74) | |||
| RANK mRNA expression | low | 24/48 | 3.56 (0.89–6.24) | 0.117 | 26/48 | 9.27 (1.97–16.56) | 0.03 |
| high | 89/144 | 1.97 (1.54–2.40 | 94/144 | 3.71 (1.85–5.57) | |||
| OPG mRNA expression | low | 101/177 | 2.06 (1.33–2.80) | 0.135 | 107/177 | 5.80 (3.94–7.66) | 0.154 |
| high | 12/15 | 1.46 (1.16–1.76) | 13/15 | 3.29 (1.87–4.70) | |||
| Note: The significance level (p) was determined by log-rank test. RANK/RANKL/OPG cut-off was determined by the Youden Index. Abbreviations: CI, confidence interval; HGSOC, high grade serous ovarian cancer; n.r., not reached. | |||||||
| Multivariate Survival Analysis in 192 Ovarian Cancer Patients | |||||||
| Variable | Progression Free Survival | Overall Survival | |||||
| RR | (95 CI) | p Value | RR | (95 CI) | p Value | ||
| Age | ≤50.0 yrs > | 1.19 | (0.73–1.96) | 0.489 | 1.54 | (0.87–2.75) | 0.134 |
| FIGO stage | I/II vs. III/IV | 3.57 | (1.76–7.27) | <0.001 | 1.05 | (0.58–1.90) | 0.872 |
| Tumour grade | 1/2 vs. 3 | 1.09 | (0.73–1.62) | 0.682 | 1.08 | (0.73–1.58) | 0.705 |
| Residual disease after surgery | no vs. Yes | 2.01 | (1.28–3.17) | 0.003 | 4.96 | (1.78–4.62) | <0.001 |
| Histology | HGSOC vs. others | 0.87 | (0.55–1.36) | 0.533 | 0.72 | (0.46–1.12) | 0.14 |
| RANKL mRNA expression | low vs. high | 1.42 | (0.97–2.10) | 0.017 | 1.7 | (1.16–2.50) | 0.007 |
| RANK mRNA expression | low vs. high | 1.19 | (0.72–1.96) | 0.502 | 1.36 | (0.85–2.19) | 0.202 |
| OPG mRNA expression | low vs. high | 1.11 | (0.59–2.07) | 0.749 | 1.25 | (0.68–2.29) | 0.466 |
| Note: The significance level (p) was determined by Cox regression. RANK/RANKL/OPG cut-off was determined by the Youden Index. Abbreviations: CI, confidence interval; HGSOC, high grade serous ovarian cancer; RR, relative risk. | |||||||
| Variable | Progression Free Survival | Overall Survival | |||||
|---|---|---|---|---|---|---|---|
| RR | (95 CI) | p Value | RR | (95 CI) | p Value | ||
| Age | ≤ 50.0 yrs > | 0.93 | (0.83–1.05) | 0.252 | 1.02 | (0.95–1.11) | 0.541 |
| FIGO stage | I/II vs. III/IV | 2.02 | (1.38–2.97) | <0.001 | 1.14 | (0.10–1.31) | 0.060 |
| Tumour grade | 1/2 vs. 3 | 0.98 | (0.89–1.09) | 0.755 | 1.02 | (0.94–1.11) | 0.621 |
| Residual disease after surgery | no vs. Yes | 1.07 | (0.96–1.20) | 0.204 | 1.02 | (0.92–1.14) | 0.710 |
| RANKL mRNA expression | low vs. high | 1.32 | (1.04–1.68) | 0.022 | 1.26 | (1.00–1.57) | 0.046 |
| Note: The significance level (p) was determined by Cox regression. Abbreviations: CI, confidence interval; RR, relative risk. | |||||||
© 2019 by the authors. Licensee MDPI, Basel, Switzerland. This article is an open access article distributed under the terms and conditions of the Creative Commons Attribution (CC BY) license (http://creativecommons.org/licenses/by/4.0/).
Share and Cite
Wieser, V.; Sprung, S.; Tsibulak, I.; Haybaeck, J.; Hackl, H.; Fiegl, H.; Marth, C.; Zeimet, A.G. Clinical Impact of RANK Signalling in Ovarian Cancer. Cancers 2019, 11, 791. https://doi.org/10.3390/cancers11060791
Wieser V, Sprung S, Tsibulak I, Haybaeck J, Hackl H, Fiegl H, Marth C, Zeimet AG. Clinical Impact of RANK Signalling in Ovarian Cancer. Cancers. 2019; 11(6):791. https://doi.org/10.3390/cancers11060791
Chicago/Turabian StyleWieser, Verena, Susanne Sprung, Irina Tsibulak, Johannes Haybaeck, Hubert Hackl, Heidelinde Fiegl, Christian Marth, and Alain Gustave Zeimet. 2019. "Clinical Impact of RANK Signalling in Ovarian Cancer" Cancers 11, no. 6: 791. https://doi.org/10.3390/cancers11060791
APA StyleWieser, V., Sprung, S., Tsibulak, I., Haybaeck, J., Hackl, H., Fiegl, H., Marth, C., & Zeimet, A. G. (2019). Clinical Impact of RANK Signalling in Ovarian Cancer. Cancers, 11(6), 791. https://doi.org/10.3390/cancers11060791

