Next Article in Journal
Novel Nano-Materials and Nano-Fabrication Techniques for Flexible Electronic Systems
Next Article in Special Issue
Approximate Solution for Electroosmotic Flow of Power-Law Fluids in a Planar Microchannel with Asymmetric Electrochemical Boundary Conditions
Previous Article in Journal
3D Shape Reconstruction of 3D Printed Transparent Microscopic Objects from Multiple Photographic Images Using Ultraviolet Illumination
Previous Article in Special Issue
Numerical Investigation of DC Dielectrophoretic Deformable Particle–Particle Interactions and Assembly
 
 
Font Type:
Arial Georgia Verdana
Font Size:
Aa Aa Aa
Line Spacing:
Column Width:
Background:
Article

Electromagnetic Regulation of Electrolyte Solution Heat Convection in Microchannels

1
No. 703 Research Institute of China Shipbuilding Industry Corporation, Harbin 150078, China
2
School of Energy Science and Engineering, Harbin Institute of Technology, Harbin 150001, China
3
Sino-French Institute of Nuclear Engineering and Technology, Sun Yat-sen University, Zhuhai 519082, China
*
Author to whom correspondence should be addressed.
Micromachines 2018, 9(6), 262; https://doi.org/10.3390/mi9060262
Submission received: 27 April 2018 / Revised: 19 May 2018 / Accepted: 24 May 2018 / Published: 28 May 2018
(This article belongs to the Special Issue Micro/Nano-Chip Electrokinetics, Volume II)

Abstract

:
With the rapid development of microelectronics and micro-electromechanical system technology, the electronic components have become smaller and the performance has become higher. Under this condition, however, their energy consumption and heat production have also increased continuously, which poses a great challenge to heat dissipation. In this paper, electromagnetic driving technology is applied to drive the electrolyte solution flow within a microchannel to realize efficient heat convection with microchannel walls. By changing the magnitude and direction of electric–magnetic field, the regulation of heat convection performance is studied. The results show that the Nu number of microchannel increases as the Ha number and magnetic direction angle increases, while it decreases as the potential difference increases. According to the average index of the four factors, it was determined that the electrolyte solution had the best heat convection performance with Ha = 0.05, Vb = 0.00006, Pe = 90, and α = 90°. After that, sensitivity analysis of the Ha number, potential difference and magnetic direction angle was used to regulate the heat convection performance. This paper may provide some theoretical support for the design of microelectronics and micro-electromechanical systems.

1. Introduction

In recent years, the development of microelectronics and micro-electromechanical systems has undergone much investigation, which has made the electronic components smaller and the performance higher [1]. Under this condition, however, their energy consumption and heat production have also increased continuously [2], which poses a great challenge to heat dissipation. During operation, electronics shows great sensitivity to temperature and excessive temperature will reduce their performance and reliability [3]. Therefore, we must find a reasonable and effective heat dissipation method to control the temperature of electronic devices for better stability and safety during operation. The purpose of developing an electronic component cooling technology is to miniaturize and integrate existing liquid cooling techniques, so that these can be applied to microchannels [4]. To this end, how to drive liquid flow stably in the microchannel without vibration and noise was the focus of the current research.
In order to achieve stable flow in microchannels and narrow microchannels, the flow characteristics and influencing factors need to be studied first. On this issue, many researchers have carried out a lot of valuable research, which provides strong support for later work [5,6,7]. After comparison, the application of magnetohydrodynamics (MHD) may be a good choice. MHD is the phenomenon by which a conductive liquid undergoes a Lorentz force and moves under the action of mutually perpendicular magnetic and electric fields [8]. Recently, the application of MHD has played an important role in many engineering fields, including aerodynamics [9], metallurgy [10], thermonuclear experimental reactors [11], and others [12], owing to its attractive advantages [13], such as high flexibility, low application voltage, great economy, no moving parts, highly driving force, high safety and reliability. Some studies of its application in microfluidics have been made. Parashar et al. [14] and Krause et al. [15] introduced the application of MHD in electromechanical dynamics and liquid metal, respectively. They argued that the MHD effect should be considered in these phenomena. Zhang et al. [16] numerically studied the acceleration/deceleration control of three-dimensional MHD flow in a channel. After numerical simulation, the relationship between the acceleration/deceleration effect and electric–magnetic fields were determined. Jang et al. [17] studied a novel micropump, which pumping mechanism was based upon MHD principles, and the performance of the MHD micropump obtained theoretically in a single phase was compared with the experimental results. Ahmed et al. [18] numerically simulated a direct current (DC) electromagnetic pump for liquid aluminum at a large Reynolds number under an externally-imposed, non-uniform magnetic field. Lim et al. [19] presented a continuous flow MHD micropump with side walled electrodes using Lorentz force, and established a theoretically simplified MHD flow model. To study the combined influences of electro–magneto–hydrodynamic forces in controlling the fluid flow, Chakraborty et al. [20] developed a mathematical model for parallel plate rectangular microchannels. The results shows that the volumetric flow rates substantial increased with a low-magnitude magnetic field but stopped increasing with a high-magnitude magnetic field. Based on the above, the MHD-driven technique can be treated as a stable driving method. However, most of this work focused on the fluid flow in microchannels without considering heat convection. The study of heat convection in microchannels originated from the transport phenomena in porous media. Many works on this issue provide rich experience for the benefit of later research [21]. Yazdi et al. [22] studied MHD liquid flow and heat transfer over a non-linear permeable stretching surface in the presence of chemical reactions and partial slip. The analytical solution in this research may be potentially influential in controlling wall shear stress as well as the local Nusselt and Sherwood numbers. Sarkar et al. [23] analyzed the effect of nanofluids on thermally fully-developed MHD flows through microchannels.
Current studies of MHD-driven convection heat transfer in microchannels mainly focus on nanofluids and metal fluids, and research on the heat convection of electrolytes in microchannels has not yet been reported. To improve this situation, this paper proposes the use of electromagnetic drive to achieve the flow and heat convection of the electrolyte solution in the microchannel. Through dimensionless derivation, the standard parameters of the heat convection for the electrolyte solution under the electromagnetic drive are obtained. The flow of the electrolyte solution in the microchannel and its heat convection control method are studied by numerical simulation.

2. Physical Modeling

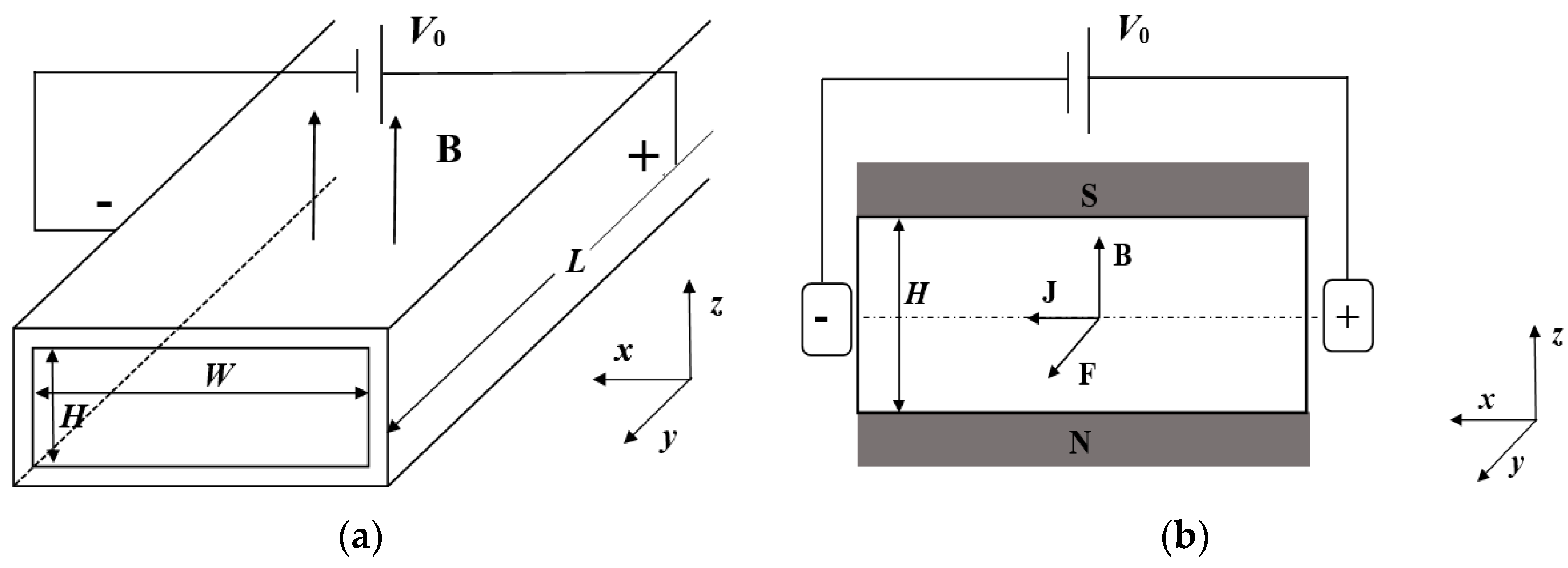
This section introduces the physical model of the electromagnetic-driven electrolyte solution in a three-dimensional rectangular microchannel, as shown in Figure 1. The length, height and width of the microchannel are denoted by L, H and W, respectively, and the temperature of the walls is denoted by Tw. The microchannel is filled with KCl electrolyte solution with initial temperature T0 at the inlet, and Tw > T0. Two electrodes with potential difference V0 are applied to the left and right surfaces, resulting in a current density J (x-direction). A magnetic field with strength B is applied in z-direction. These two fields generate a Lorentz force J × B, which drives the electrolyte solution to flow along the +y direction of the microchannel and heat exchange with the surrounding walls.
Since the thickness of the double layer of the electrolyte solution in the channel (~10 nm) is much smaller than that of the microchannel, the ion distribution of the electrolyte solution can be assumed to be uniform. The electric field distribution can be described by the Poisson equation [1,24,25]:
2 V = ( u × B ) ,
E = V ,
where u is the flow velocity, and V is the electric potential.
According to Ohom’s law, the current density can be expressed as [26]:
J = σ ( V + u × B ) ,
where σ is the conductivity of the solution; and u × B represents the induced electromotive force generated by the ions moving in the electric field.
Due to the small geometry and magnetic Reynolds number, the induced magnetic field can be neglected, so that only the external magnetic field needs to be considered. Therefore, the flow process of the incompressible electrolyte solution under the Lorentz force can be described as the continuity and Navier–Stokes equations:
u = 0 ,
p + μ 2 u + J × B = 0 ,
where u is flow velocity; ρ and μ denote the density and viscosity of the fluid, and p denotes the pressure.
The energy conservation of the electrolyte solution under electromagnetic drive is described by
ρ C p u T = λ 2 T + J J σ ,
where T is the temperature of the fluid; Cp is the specific heat capacity; λ is the thermal conductivity of the electrolyte solution; J J / σ represents the Joule heat source term [27].
To analyze the model mechanism and not be affected by the dimensions, non-dimensionalization is necessary. The dimensionless scaling parameters are defined as follows: dimensionless length:
x = x H , y = y H , z = z H ,
dimensionless magnetic induction strength:
B = B B 0 ,
dimensionless electric potential:
V = V V 0 ,
dimensionless current density:
J = J / ( σ V 0 / W ) ,
dimensionless speed:
u = u u 0 ,
dimensionless pressure:
p = p p 0 ,
dimensionless time:
t = t t 0 ,
dimensionless temperature:
T = T T 0 ,
in which B0 is the maximal field strength; V0 is the maximal potential applied to the electrolyte; and u0, p0, t0, and T0 are defined as follows:
u 0 = σ V 0 B 0 H 2 μ W , p 0 = μ u 0 H , t 0 = H u 0 , T 0 = ( σ V 0 / W ) 2 H σ ρ C p .
Through non-dimensionalization, Equations (1), (3), (5) and (6) can be rewritten as:
2 V = u 0 B 0 H V 0 ( u × B ) ,
J = ς V + H a 2 u × B ,
p + 2 u + J × B = 0 ,
u T = 1 P e 2 T + J J σ ,
where ς = H / W is the aspect ratio of the microchannel; P e = ρ C p u 0 H / λ is the Berkeley number, which characterizes the relative strength of convection and diffusion; H a = B 0 H σ / μ is the Hartmann number that characterizes the ratio of electromagnetic force and viscous force; and V b = u 0 B 0 H V 0 is defined as the characteristic number of the electric field, characterizing the ratio of the electromagnetic force and the electric field force.

3. Results and Discussion

3.1. Model Validation

To verify the present numerical model, an infinitely long rectangular microchannel [26] is tested. When the electric and magnetic fields are applied to the four walls, respectively, satisfying H << W << L, as shown in Figure 1, the velocity of the fully developed flow is isothermally expressed as:
u x ( z ) = H a 2 ( ς d V d y + d p d x ) [ 1 cosh ( H a z ) cosh ( H a 2 ) ] ,
in which d V d y = E = c o n s t denotes the electric field intensity in the y-direction.
In order to verify the reliability of this model, the velocity distribution of three-dimensional isothermal fully developed flow for the electrolyte solution is calculated firstly under the electromagnetic driving condition.
The KCl electrolyte solution with a concentration of 100 mM is adopted as the working liquid with σ = 10 (mΩ)−1, μ = 0.001 Pa·s, B = 0.4 T and H = 100 μm. Figure 2 shows the numerical solutions of the velocity distributions along the middle section (W/2), which are compared with the analytical solutions obtained from Equation (20).
As shown in Figure 2, the numerical solutions agree well with the analytical solutions with a large aspect ratio, indicating that the purposed model is accurate and reliable. In considering the small aspect ratio, the numerical solutions are slightly different from the analytical solutions, indicating that the analytical model cannot accurately describe the flow process in the electromagnetically-driven microchannel, and strict three-dimensional numerical simulation methods should be adopted.

3.2. Microchannel Heat Convection

3.2.1. Temperature Distribution in the Microchannel

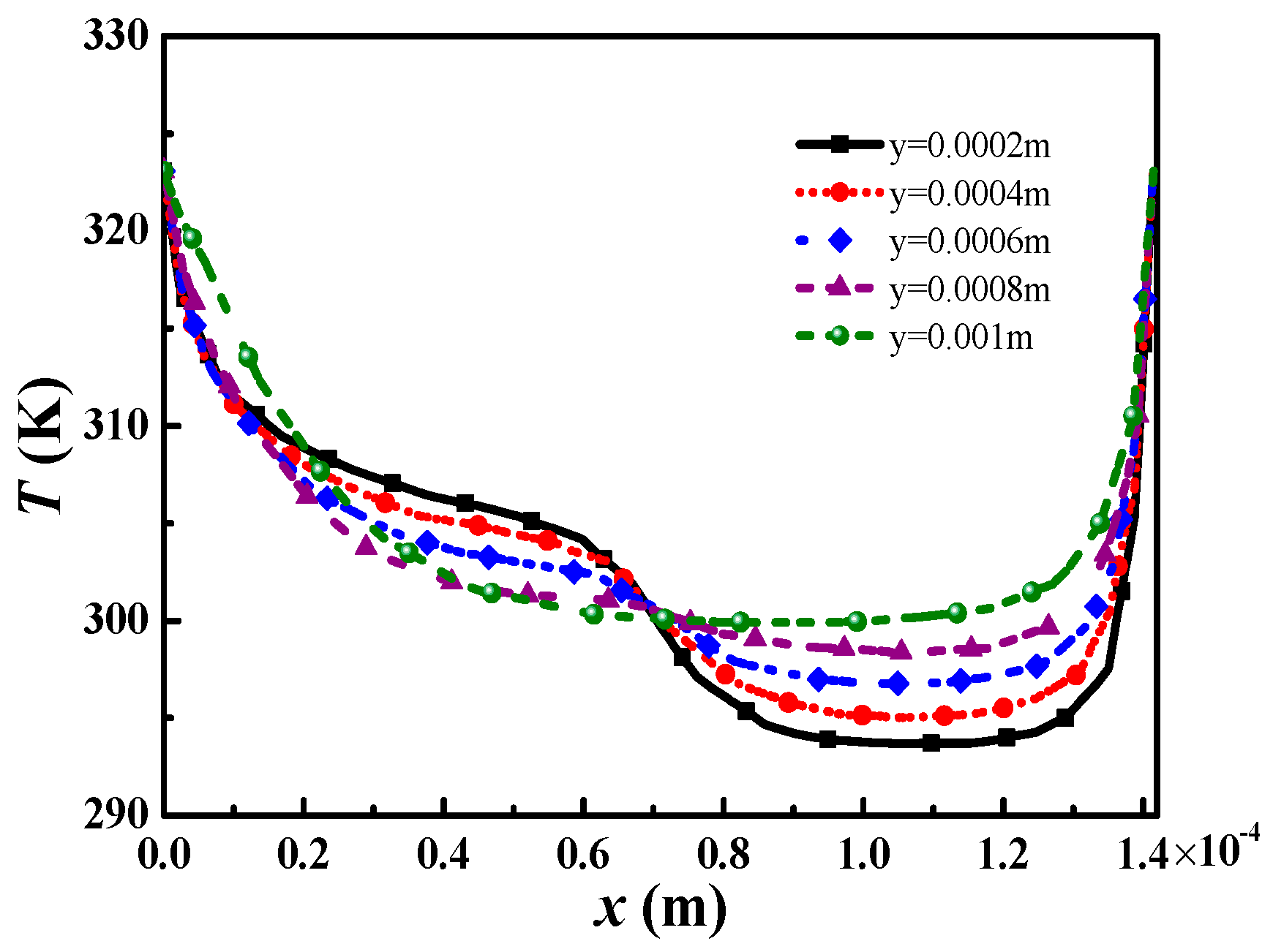
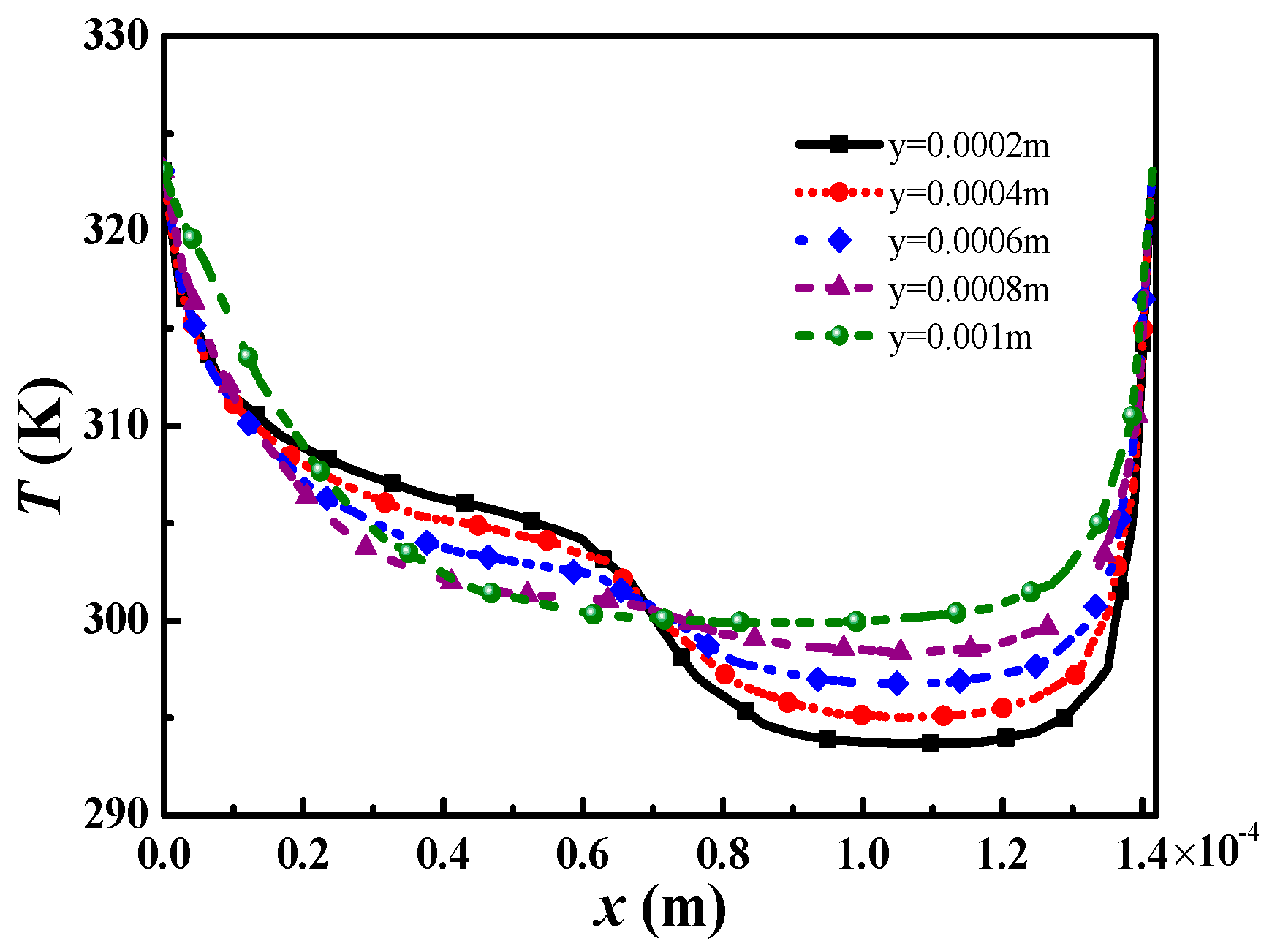
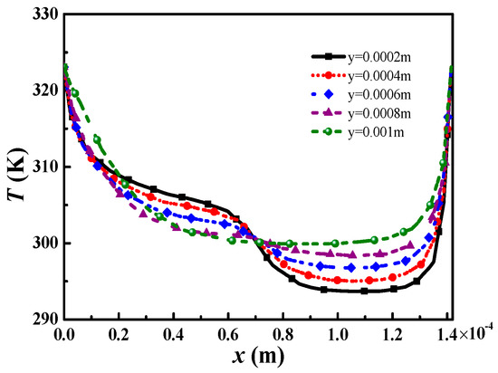
Figure 3 and Figure 4 show the temperature distribution in the microchannel under the electromagnetically-driven system, with boundary temperature Tw = 323.15 K and initial temperature T0 = 293.15 K. The aspect ratio of the microchannel is 2. The electrolyte solution flows through the microchannel to achieve heat convection, and its temperature significantly increases at the outlet. Figure 4 shows the temperature distribution along the midline of the xz plane at a different y-direction position. As shown in Figure 4, as the fluid flow and the temperature distribution of the electrolyte solution becomes flat, and the temperature near the high-potential wall is obviously higher than that of low-potential wall. Therefore, it can be concluded that the heat convective of the electromagnetically-driven electrolyte solution is better on the high-potential wall than low-potential wall. Since the induced electromotive force generated by fluid flow introduces a stronger velocity near the high-potential wall, the heat convection is more intense, and the temperature of the electrolyte solution near the high-potential wall increase significantly.

3.2.2. Influence of Magnetic Strength on Microchannel Heat Convection

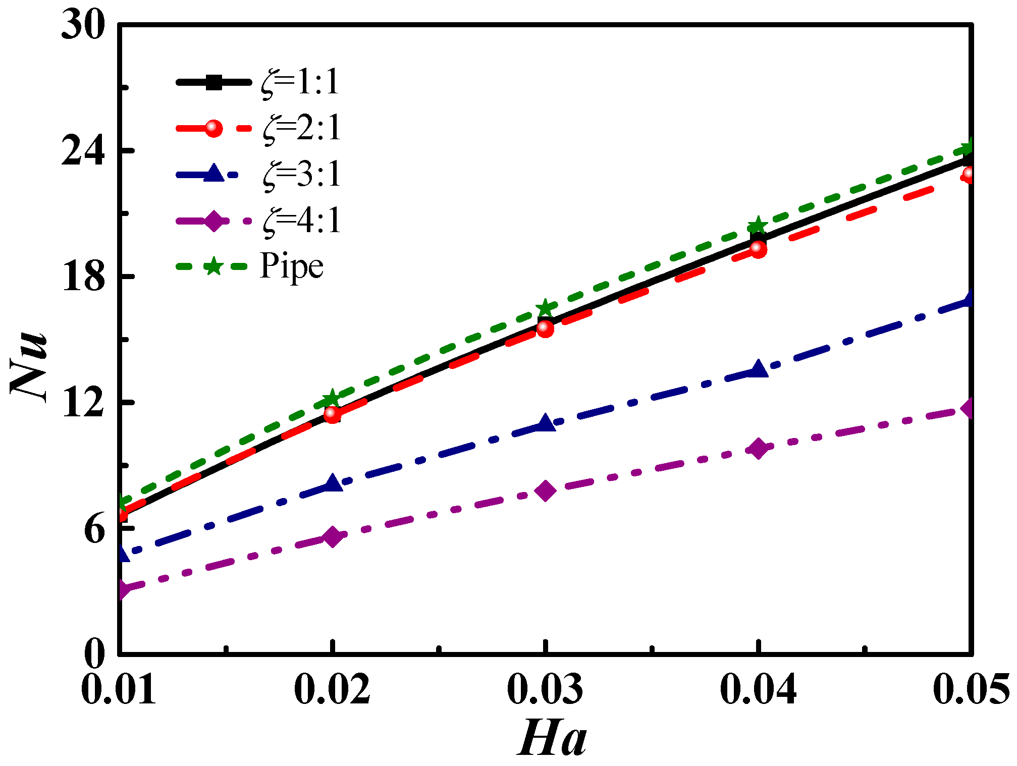
The Nu number and Ha number represent the heat convection ability and the magnetic strength, respectively. To study their relationship, the Nu number of the electromagnetically-driven electrolyte solution was calculated at different Ha numbers, in which the sodium chloride solution was adopted as the coolant. The inlet temperature was set to 293.15 K, and the microchannel wall temperatures were set to 323.15 K, and were constant during the whole simulation.
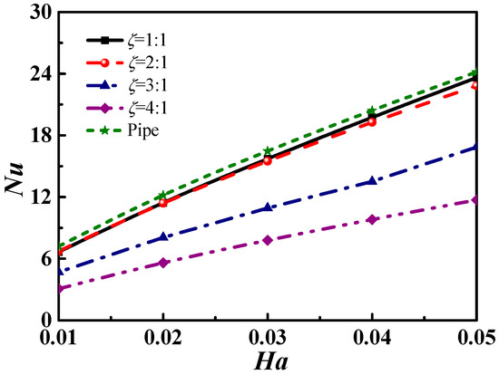
Figure 5 demonstrates an increase in the Nu number with an increase in the Ha number regardless of the shape or aspect ratio. The latter increase results in increases in the electromagnetic driving force and the consequent flow speed of the solution, enhancing the heat convection characterized by the Nu number. For a certain Ha number, the Nu number increases as the aspect ratio decreases. Equation (18) shows that the current density increases as the aspect ratio decreases, thus a larger Lorentz force will be produced to enhance heat convection. Figure 5 also shows that the heat convection of the circular microchannel was more intensive than that of square microchannel. This is because in the case of the same cross-section perimeter, the area of the circular cross-section is larger than that of the rectangular cross-section, which led to more electrolytic solution flows and stronger heat convection.

3.2.3. Influence of Magnetic Direction on Microchannel Heat Convection

For certain microchannels and magnetic fields, an effective way to change the Nu number is to reset the angular direction of the magnetic field. To this end, in this part, the influence of the magnetic direction on the Nu number will be analyzed and discussed.
As shown in Figure 6, the angle α between the magnetic field and the axis of the microchannel is defined as the magnetic direction angle. The Lorentz force applied to the charged ions changes along with changes in the direction angle α.
Under this condition, the momentum equation is modified as [28]:
ρ u y t + ( ρ u u y ) = p y + ( μ u y ) + F y ,
ρ u z t + ( ρ u u z ) = p z + ( μ u z ) + F z ,
in which u satisfies u = j u y + k u z ; and Fy and Fz represent the magnetic field volume forces along y- and z-directions, which can be expressed as:
F y = σ u y | B sin α | 2 ,
F z = σ u z | B cos α | 2 ,
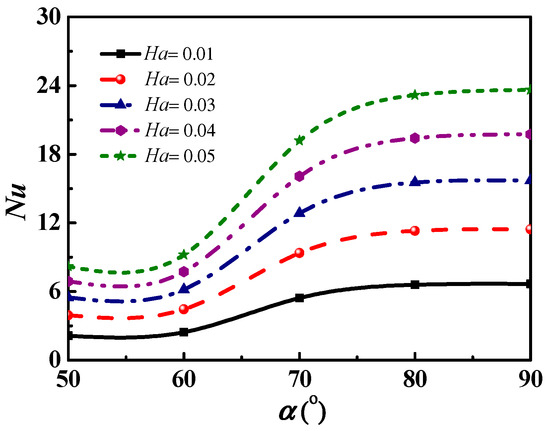
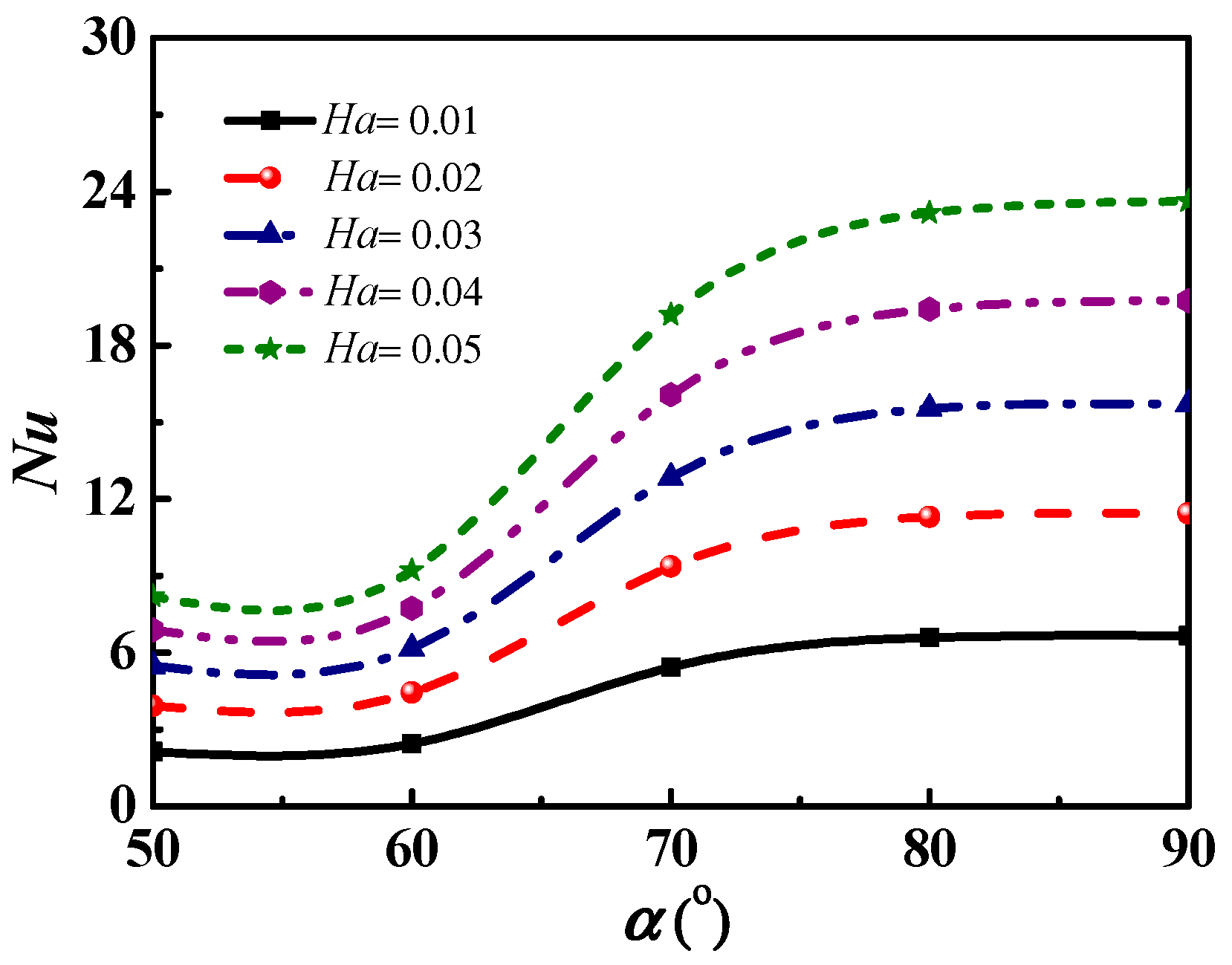
Figure 7 shows the changes in the Nu number along with angle α increasing with different Ha numbers. The aspect ratio of the square microchannel was set to 3:1. The figure shows that the Nu number increases as the angle α increases. The Nu number reaches its maximum at α = 90°, since under this direction the induced Lorentz force is parallel to the microchannel axis, and the velocity of the solution reaches the maximum [26].
Figure 7 demonstrates that an increase in Ha number will enhance the regulation effect of the magnetic direction. The Lorentz force is more significantly affected by the angle α with a large Ha number. Besides, when the angle α is 60°~80°, the Nu number varies most obviously due to the significant change of the sine value and the volumetric force.

3.2.4. Influence of Potential on Microchannel Heat Convection

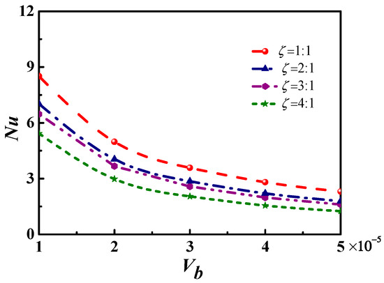
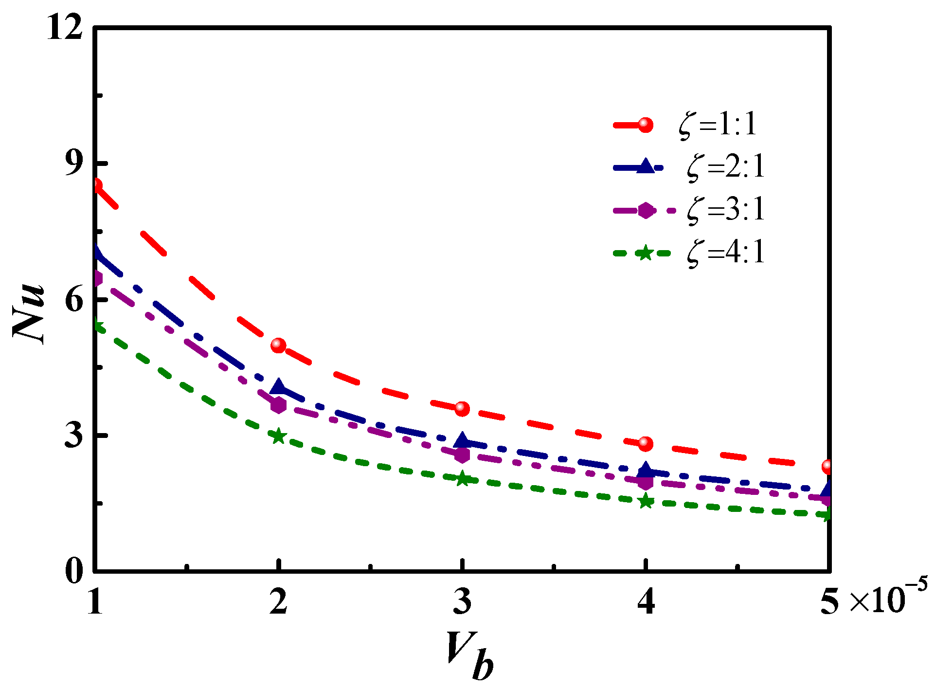
For a certain microchannel, the heat convection can be regulated by adjusting the potential difference between two electrodes. Figure 8 shows that the Nu number decreases as the Vb increases, due to the inverse proportion between the Vb number and the potential difference. Therefore, the increase in Vb will reduce the potential difference and the Lorentz force of the ion.

3.3. Impact Degree Analysis by the Orthogonal Experimental Method

3.3.1. Design of the Orthogonal Experiment

As can be seen from the previous discussion, the heat convection performance of the electromagnetically-driven electrolyte solution microchannel will be mainly influenced by the Ha number, Vb number, angle α, and Pe number. In this part, a set of orthogonal experiments is designed to analyze the impact degree of these four factors. Five levels were selected for each factor, as shown in Table 1.
Using the orthogonal experimental method, 25 groups of calculation parameters were established to compare the impact degree of the four factors. The results for the Nu number are listed in Table 2, and their influences on heat convection were determined based on the numerical results. The data is discussed in the following section.

3.3.2. Range Analysis

The average values and range analyses for the orthogonal experimental results for the 25 groups are shown in Table 3, in which the average values of the four influencing factors including A (Ha number), B (Vb number), C (Pe number), and D (angle α) are calculated. A5, B2, C5, and D5 are the priority levels of the four factors, respectively. The order of these elements according to the results is A > D > B > C. The range of A is the largest, indicating that the Ha number has the greatest effect on the heat convection. According to the index average value of these four factors, one can find that the best possible combination is A5-B2-C5-D5, namely the electrolyte solution in the microchannel. The best heat convection performance exists when Ha = 0.05, Vb = 0.00006, Pe = 90 and α = 90° is satisfied.

3.4. Sensitivity Analysis of Microchannel Heat Convection Performance

To quantitatively regulate the heat convection of the microchannel, a sensitivity analysis was made for the Ha number, Vb number and angle α.
The sensitivity coefficient is defined as the ratio of the relative rate of change of the objective function to that of the uncertain influence factors, whose expression is written as follows [28]:
E = Δ A / A Δ F / F ,
where A denotes the objective function, F denotes the uncertain influence factor, and E denotes the sensitivity coefficient of the objective function A to the uncertain influence factor F. The larger E becomes, the greater the sensitivity coefficient corresponding to the uncertain influence factor.

3.4.1. Sensitivity Analysis of Ha Number

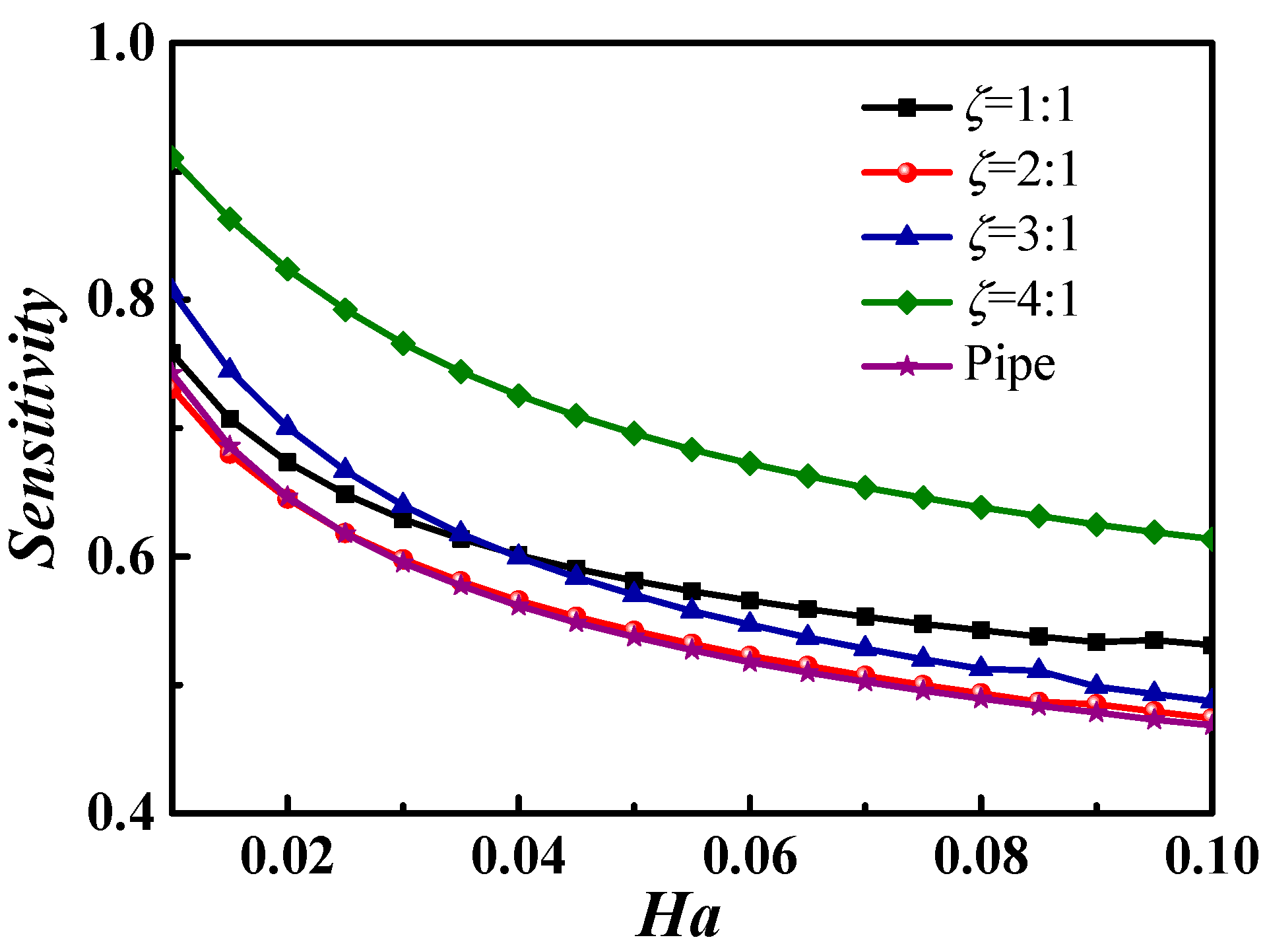
Firstly, the sensitivity of the Ha number on the Nu number was analyzed when the magnetic direction was perpendicular to the axis of the microchannel; the results are shown in Figure 9.
Figure 9 illustrates decreases in both the sensitivity coefficient of the Nu and the decline rate of the sensitivity with an increase in the Ha, when the Ha ranges from 0.01 to 0.1, indicating a stronger regulating ability of the Ha at a smaller Ha number. Figure 9 also shows that the sensitivity of the aspect ratio 4:1 was obviously larger than that of the other square microchannels, and the sensitivity of the circle microchannel (denoted by pipe) was the lowest.

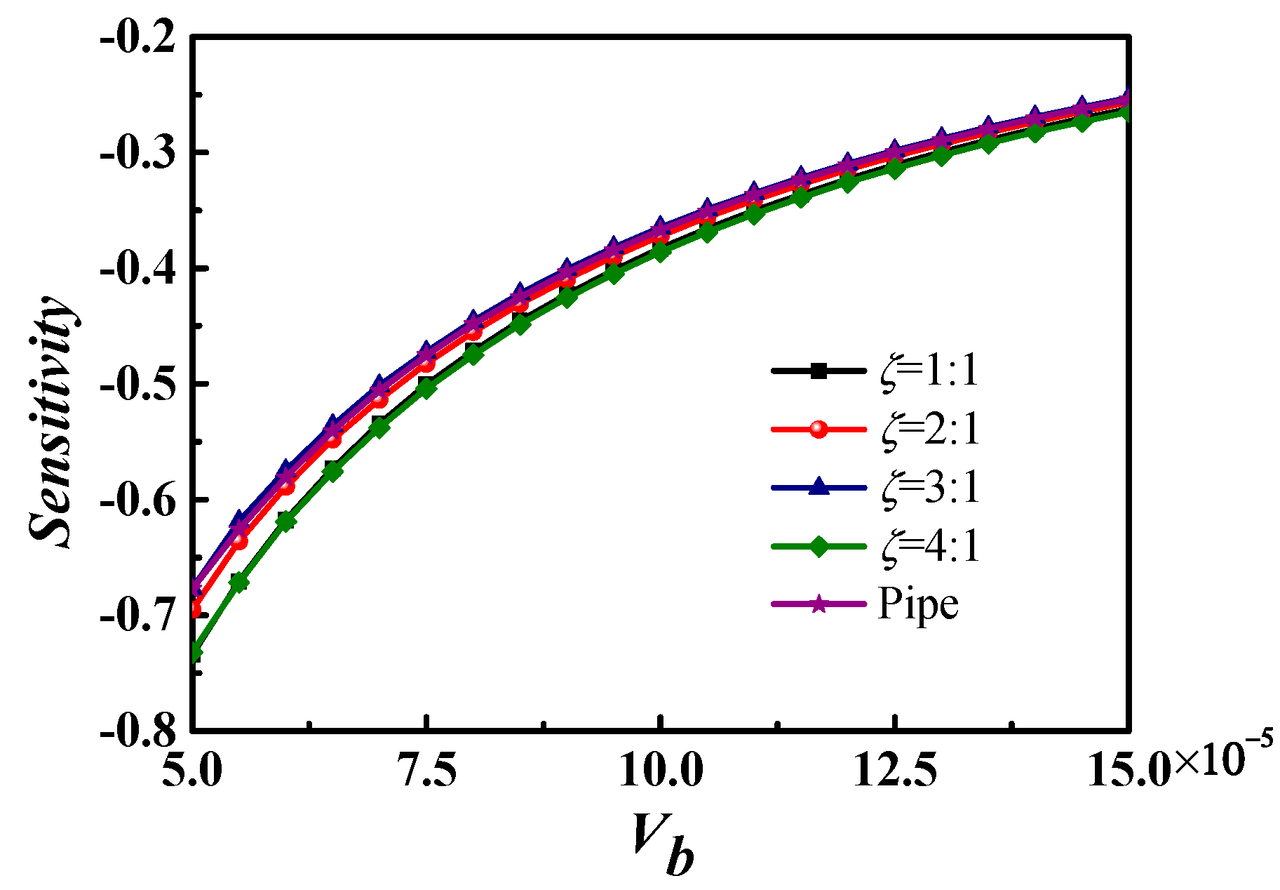
3.4.2. Sensitivity Analysis of Vb

This part studies the sensitivity of the Vb number on the Nu number. Figure 10 demonstrates that the sensitivity of the Vb number is negative, since the Vb number is inversely proportional to the potential difference. The sensitivity decreases as the Vb number increases, meaning that the regulating ability of the Vb number on Nu is stronger at a smaller Vb number, and weaker at a larger Vb number. The sensitivity coefficients with different aspect ratios show that the aspect ratio has a small impact on the sensitivity coefficient. The sensitivity of the aspect ratio 1:1 and 4:1 was slightly larger than that of other microchannels.

3.4.3. Sensitivity Analysis of the Magnetic Direction

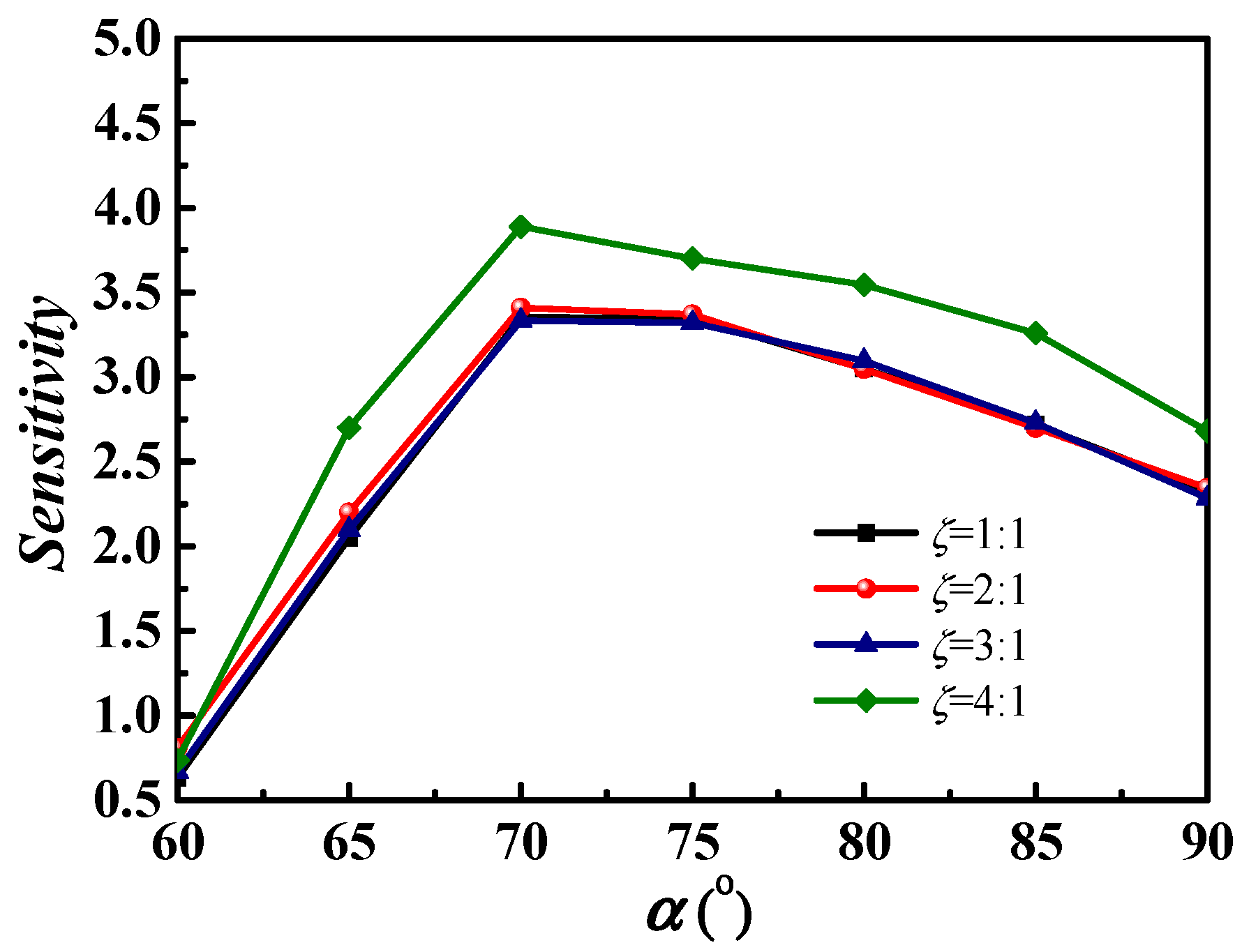
At last, the sensitivity of the magnetic direction angle α on the Nu number is analyzed; the results are shown in Figure 11. When the angle α varies from 60° to 90°, the sensitivity coefficient of the Nu number increases obviously as the angle α increases, and reaches maximum at α = 70°. After that, the sensitivity coefficient decreases slowly. Therefore, the magnetic direction angle has the strongest adjustment ability to the Nu number at about 70°, and the larger direction angle (over 70°) has a stronger adjustment ability than smaller angles (below 70°). The sensitivity coefficient of different aspect ratios shows that the regulating ability of the magnetic direction on the Nu number with an aspect ratio of 4:1 is obviously better than that of other aspect ratios.

4. Conclusions

The development of microelectronics and micro-electromechanical system technology has produced a great challenge in terms of heat dissipation. To improve this situation, this paper systematically studied the heat convection of microchannels cooled by an electromagnetic driving electrolyte solution. By applying the electric and magnetic fields, the charged ions were driven by Lorentz force along the microchannel, so that efficient heat convection within the microchannel is achieved. For a certain microchannel, the performance of heat convection can be regulated by changing the strength and direction of the magnetic field. The potential difference between electrodes also can provide effective regulation. After the numerical simulation of a microchannel, the following conclusions were drawn:
  • The heat convection of an electromagnetically-driving electrolyte solution microchannel is mainly influenced by the dimensionless characteristic parameters of Ha and Vb numbers. The Nu number increases as the Ha number and magnetic direction angle increases, and decreases as the Vb number increases.
  • After orthogonal experiments and range analysis, the degree of influence of the main factors of the heat convection in the microchannel is determined as follows: the Ha number, the magnetic direction angle, the Vb number, and the Pe number.
  • After sensitivity analysis, the regulation abilities of the main factors on the heat convection of the microchannel are determined. The first factor is the Ha number, which, if it is small enough, has a regulating ability on large Nu numbers. Similarly, the Vb number shows a strong regulating ability when the Vb number is small enough. The magnetic field has the strongest regulating ability when its direction angle is around 70°.

Author Contributions

Y. Ma provided the idea; Y. Ma and M. Song conceived and designed the project; Y. Wang, M. Song and X. Chi performed the simulation; Y. Ma, Y. Wang and M. Song validated and analyzed the data; X. Chi investigated the simulation; M. Song and Y. Ma drafted the manuscript; Y. Wang and X. Chi reviewed and modified the manuscript.

Acknowledgments

This work is supported by the State Key Program of National Natural Science of China under Grant No. 51436009.

Conflicts of Interest

The authors declare no conflict of interest.

References

  1. Ando, T.; Ueno, K.; Taniguchi, S.; Takagi, T. Induction pump for high-temperature molten metals using rotating twisted magnetic field: Thrust measurement experiment with solid conductors. IEEE Trans. Magn. 2002, 38, 1789–1796. [Google Scholar] [CrossRef]
  2. Marcinichen, J.B.; d’Entremont, B.P.; Thome, J.R. Thermal management of ultra intense hot spots with two-phase multi-microchannels and embedded thermoelectric cooling. In Proceedings of the ASME 2013 International Technical Conference and Exhibition on Packaging and Integration of Electronic and Photonic Microsystems. American Society of Mechanical Engineers, Burlingame, CA, USA, 16–18 July 2013; p. V001T04A023. [Google Scholar]
  3. Kabbani, H.; Wang, A.H.; Luo, X.B.; Qian, S.Z. Modeling redox-based magnetohydrodynamics in three-dimensional microfluidic devices. Phys. Fluids 2007, 19, 083604. [Google Scholar] [CrossRef]
  4. Qian, S.Z.; Bau, H.H. Magnetohydrodynamic stirrer for stationary and moving fluids. Sens. Actuators B Chem. 2005, 106, 859–870. [Google Scholar] [CrossRef]
  5. Xiao, B.Q.; Zhang, X.; Wang, W.; Long, G.; Chen, H.; Kang, H.; Ren, W. A fractal model for water flow through unsaturated porous rocks. Fractals 2018, 26, 1840015. [Google Scholar] [CrossRef]
  6. Long, G.B.; Xu, G.S. The effects of perforation erosion on practical hydraulic-fracturing applications. SPE J. 2017, 22. [Google Scholar] [CrossRef]
  7. Xiao, B.Q.; Chen, H.X.; Xiao, S.X.; Cai, J.C. Research on relative permeability of nanofibers with capillary pressure effect by means of fractal-Monte Carlo technique. J. Nanosci. Nanotechnol. 2017, 17, 6811–6817. [Google Scholar] [CrossRef]
  8. Qian, S.Z.; Zhu, J.Z.; Bau, H.H. A stirrer for magnetohydrodynamically controlled minute fluidic network. Phys. Fluids 2002, 14, 3584–3592. [Google Scholar] [CrossRef]
  9. Gupta, A.K.; Beer, J.M.; Louis, J.F.; Busnaina, A.A.; Lilley, D.G. Flow aerodynamics modeling of an MHD swirl combustor—Calculations and experimental verification. J. Fluid Eng. 1982, 104, 179–189. [Google Scholar] [CrossRef]
  10. Lemoff, A.V.; Lee, A.P. An AC magnetohydrodynamic micropump. Sens. Actuators B Chem. 2000, 63, 178–185. [Google Scholar] [CrossRef]
  11. Hogan, J.T.; Martynov, A. Sensitivity of ITER MHD global stability to edge pressure gradients. Fusion Sci. Technol. 1994, 26, 322–326. [Google Scholar] [CrossRef]
  12. Suh, Y.K.; Kang, S. A review on mixing in microfluidics. Micromachines 2010, 1, 82–111. [Google Scholar] [CrossRef]
  13. Ho, J.E. Characteristic study of MHD pump with channel in rectangular ducts. J. Mar. Sci. Technol. 2007, 15, 315–321. [Google Scholar]
  14. Woodson, H.H.; Melcher, J.R. Electromechanical Dynamics; John Wiley: Hoboken, NJ, USA, 2001. [Google Scholar]
  15. Davidson, P.A. An Introduction to Magnetohydrodynamics; Cambridge University Press: Cambridge, UK, 2001. [Google Scholar]
  16. Zhang, K.P.; Tian, Z.Y.; Feng, D.H.; Li, H. Numerical study of acceleration/deceleration control of three-dimensional magnetohydrodynamic flow in channel. Acta Aerodyn. Sin. 2009, 27, 258–268. [Google Scholar]
  17. Jang, J.; Lee, S.S. Theoretical and experimental study of MHD (magnetohydrodynamic) micropump. Sens. Actuators A Phys. 2000, 80, 84–89. [Google Scholar] [CrossRef]
  18. Ahmed, D.; Nedeltcho, K. Magneto-hydrodynamic numerical study of DC electromagnetic pump for liquid metal. In Proceedings of the COMSOL Conference, Hannover, Germany, 4–6 November 2008; pp. 133–146. [Google Scholar]
  19. Lim, S.; Choi, B. A study on the MHD (magnetohydrodynamic) micropump with side-walled electrodes. J. Mech. Sci. Technol. 2009, 23, 739–749. [Google Scholar] [CrossRef]
  20. Chakraborty, S.; Paul, D. Microchannel flow control through a combined electromagnetohydrodynamic transport. J. Phys. D Appl. Phys. 2006, 39, 5364–5371. [Google Scholar] [CrossRef]
  21. Xiao, B.Q.; Wang, W.; Fan, J.T.; Chen, H.; Hu, X.; Zhao, D.; Zhang, X.; Ren, W. Optimization of the fractal-like architecture of porous fibrous materials related to permeability, diffusivity and thermal conductivity. Fractals 2017, 25, 1750030. [Google Scholar] [CrossRef]
  22. Yazdi, M.H.; Abdullah, S.; Hashim, I.; Sopian, K. Slip MHD liquid flow and heat convection over non-linear permeable stretching surface with chemical reaction. Int. J. Heat Mass Trans. 2011, 54, 3214–3225. [Google Scholar] [CrossRef]
  23. Sarkar, S.; Ganguly, S. Fully developed thermal transport in combined pressure and electroosmotically driven flow of nanofluid in a microchannel under the effect of a magnetic field. Microfluid Nanofluid 2015, 18, 623–636. [Google Scholar] [CrossRef]
  24. Outhwaite, C.W.; Bhuiyan, L.B. An improved modified Poisson–Boltzmann equation in electric-double-layer theory. J. Chem. Soc. Faraday Trans. 1983, 79, 707–718. [Google Scholar] [CrossRef]
  25. Ramos, J.I.; Winowich, N.S. Finite difference and finite element methods for MHD channel flows. Int. J. Numer. Methods Fluids 1990, 11, 907–934. [Google Scholar] [CrossRef]
  26. Qian, S.Z.; Bau, H.H. Magneto-hydrodynamics based microfluidics. Mech. Res. Commun. 2009, 36, 10–21. [Google Scholar] [CrossRef] [PubMed]
  27. Vaibhav, P.; Samuel, K.K. Electroosmosis and thermal effects in magnetohydrodynamic (MHD) micropumps using 3D MHD equations. Sens. Actuators B Chem. 2007, 122, 42–52. [Google Scholar]
  28. Song, D.X.; Jing, D.W.; Luo, B. Modeling of anisotropic flow and thermodynamic properties of magnetic nanofluids induced by external magnetic field with varied imposing directions. J. Appl. Phys. 2015, 118, 8971–8979. [Google Scholar] [CrossRef]
Figure 1. Schematic diagram of a rectangle electromagnetically-driven microchannel. (a) Three-dimensional model schematic; (b) Two-dimensional schematic diagram of xz cross-section.
Figure 1. Schematic diagram of a rectangle electromagnetically-driven microchannel. (a) Three-dimensional model schematic; (b) Two-dimensional schematic diagram of xz cross-section.
Micromachines 09 00262 g001
Figure 2. The speed of the middle section along z-direction at different aspect ratios.
Figure 2. The speed of the middle section along z-direction at different aspect ratios.
Micromachines 09 00262 g002
Figure 3. Temperature distribution of various xz planes along the y-direction.
Figure 3. Temperature distribution of various xz planes along the y-direction.
Micromachines 09 00262 g003
Figure 4. Temperature distribution on the midline of different cross sections along the y-direction.
Figure 4. Temperature distribution on the midline of different cross sections along the y-direction.
Micromachines 09 00262 g004
Figure 5. The Nu number varies with Ha number in microchannels with different cross-sectional shapes.
Figure 5. The Nu number varies with Ha number in microchannels with different cross-sectional shapes.
Micromachines 09 00262 g005
Figure 6. Two-dimensional cross-section of a microchannel that changes the magnetic field angle.
Figure 6. Two-dimensional cross-section of a microchannel that changes the magnetic field angle.
Micromachines 09 00262 g006
Figure 7. The Nu number varies with the magnetic direction in microchannels with an aspect ratio 3:1.
Figure 7. The Nu number varies with the magnetic direction in microchannels with an aspect ratio 3:1.
Micromachines 09 00262 g007
Figure 8. The Nu number changes with the Vb in the microchannel with different cross-sections, while the wall temperature is 323.15 K.
Figure 8. The Nu number changes with the Vb in the microchannel with different cross-sections, while the wall temperature is 323.15 K.
Micromachines 09 00262 g008
Figure 9. Sensitivity of the Ha number to the Nu number with various cross-sections.
Figure 9. Sensitivity of the Ha number to the Nu number with various cross-sections.
Micromachines 09 00262 g009
Figure 10. Sensitivity of the Vb number to the Nu number with various cross-sections.
Figure 10. Sensitivity of the Vb number to the Nu number with various cross-sections.
Micromachines 09 00262 g010
Figure 11. Sensitivity coefficient of magnetic direction on the Nu number with various cross-sections.
Figure 11. Sensitivity coefficient of magnetic direction on the Nu number with various cross-sections.
Micromachines 09 00262 g011
Table 1. Parameter table of four factors with five levels.
Table 1. Parameter table of four factors with five levels.
NoA
Ha
B
Vb
C
Pe
D
α/o
10.010.000055050
20.020.000066060
30.030.000077070
40.040.000088080
50.050.000099090
Table 2. Orthogonal design table and results for the four factors with five levels.
Table 2. Orthogonal design table and results for the four factors with five levels.
NoA
Ha
B
Vb
C
Pe
D
α/o
Nu
10.010.0000550501.06572
20.010.0000660601.23486
30.010.0000770702.94283
40.010.0000880803.64544
50.010.0000990903.67242
60.020.00005607010.48453
70.020.00006708012.36321
80.020.00007809011.29287
90.020.0000890504.20961
100.020.0000950602.6126
110.030.00005709027.48634
120.030.0000680509.16169
130.030.00007906010.00211
140.030.00008507011.859
150.030.00009608015.03036
160.040.0000580608.98464
170.040.00006907038.16797
180.040.00007508024.98374
190.040.00008609026.42209
200.040.0000970509.42444
210.050.00005908078.24366
220.050.00006509042.04679
230.050.00007605014.3471
240.050.00008706016.38925
250.050.00009807035.78468
Table 3. Index average and range analysis table of heat convection performance in the microchannel.
Table 3. Index average and range analysis table of heat convection performance in the microchannel.
FactorsABCD
K112.5612757.4456365.1745538.20856
K241.99269102.9745267.5189445.26918
K373.5394664.5985268.6060399.23901
K4107.9828862.5253970.73961134.2664
K5186.8114866.524584.29577136.95034
K 1 ¯ 2.51225411.48912613.034917.641712
K 2 ¯ 8.39853820.59490413.5037889.053836
K 3 ¯ 14.70789212.91970413.72120619.847802
K 4 ¯ 21.59657612.50507814.14792226.853282
K 5 ¯ 37.36229613.304916.85915427.390068
Priority levelA5B2C5D5
Ri34.8500429.1057783.82424419.748356
SequenceA > D > B > C

Share and Cite

MDPI and ACS Style

Song, M.; Chi, X.; Wang, Y.; Ma, Y. Electromagnetic Regulation of Electrolyte Solution Heat Convection in Microchannels. Micromachines 2018, 9, 262. https://doi.org/10.3390/mi9060262

AMA Style

Song M, Chi X, Wang Y, Ma Y. Electromagnetic Regulation of Electrolyte Solution Heat Convection in Microchannels. Micromachines. 2018; 9(6):262. https://doi.org/10.3390/mi9060262

Chicago/Turabian Style

Song, Miaomiao, Xiaoting Chi, Yahui Wang, and Yu Ma. 2018. "Electromagnetic Regulation of Electrolyte Solution Heat Convection in Microchannels" Micromachines 9, no. 6: 262. https://doi.org/10.3390/mi9060262

APA Style

Song, M., Chi, X., Wang, Y., & Ma, Y. (2018). Electromagnetic Regulation of Electrolyte Solution Heat Convection in Microchannels. Micromachines, 9(6), 262. https://doi.org/10.3390/mi9060262

Note that from the first issue of 2016, this journal uses article numbers instead of page numbers. See further details here.

Article Metrics

Back to TopTop