Design, Analysis, and Verification of Ka-Band Pattern Reconfigurable Patch Antenna Using RF MEMS Switches
Abstract
:1. Introduction
2. Pattern Reconfigurable Antenna Structure and Design
2.1. Overall Structure and Design
2.2. RF MEMS Switch Structure and Design
3. Theory Analysis
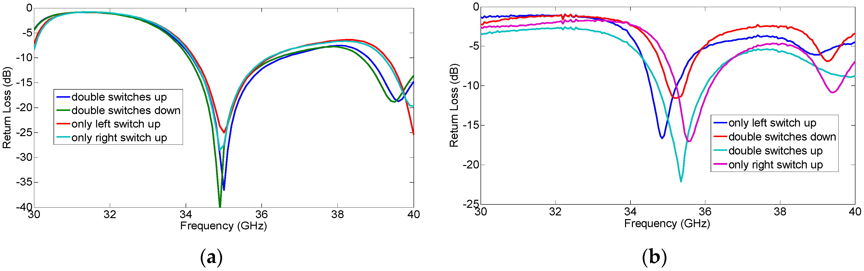
4. Results and Discussion
4.1. Input Impedance Matching of All Modes
4.2. Pattern Reconfigurable Characteristics
4.3. Advancements
5. Conclusions
Acknowledgments
Author Contributions
Conflicts of Interest
References
- Alam, M.; Abbosh, A. Wideband Pattern Reconfigurable Antenna Using Pair of Radial Radiators on Truncated Ground with Switchable Director and Reflector. IEEE Antennas Wirel. Propag. Lett. 2016, 99. [Google Scholar] [CrossRef]
- Pan, Y.; Ma, Y.; Xiong, J.; Hou, Z.; Zeng, Y. A compact antenna with frequency and pattern reconfigurable characteristics. Microw. Opt. Technol. Lett. 2015, 57, 2467–2471. [Google Scholar] [CrossRef]
- Dussopt, L.; Rebeiz, G.M. Intermodulation distortion and power handling in RF MEMS switches, varactors, and tunable filters. IEEE Trans. Microw. Theory Tech. 2003, 51, 1247–1256. [Google Scholar] [CrossRef]
- Zhou, L.; Sharma, S.K.; Kassegne, S.K. Reconfigurable microstrip rectangular loop antennas using RF MEMS switches. Microw. Opt. Technol. Lett. 2008, 50, 252–256. [Google Scholar] [CrossRef]
- Al-alaa, M.A.; Elsadek, H.; Abdallah, E.; Hashish, E. Pattern and frequency reconfigurable monopole disc antenna using PIN diodes and MEMS switches. Microw. Opt. Technol. Lett. 2014, 56, 187–195. [Google Scholar] [CrossRef]
- Zohur, A.; Mopidevi, H.; Rodrigo, D.; Unlu, M.; Jofre, L.; Cetiner, B.A. RF MEMS reconfigurable two-band antenna. IEEE Antennas Wirel. Propag. Lett. 2013, 12, 72–75. [Google Scholar] [CrossRef]
- Rajagopalan, H.; Kovitz, J.M.; Rahmat-Samii, Y. MEMS reconfigurable optimized e-shaped patch antenna design for cognitive radio. IEEE Trans. Antennas Propag. 2014, 62, 1056–1064. [Google Scholar] [CrossRef]
- Kovitz, J.M.; Rajagopalan, H.; Rahmat-Samii, Y. Design and Implementation of Broadband MEMS RHCP/LHCP Reconfigurable Arrays Using Rotated E-Shaped Patch Elements. IEEE Trans. Antennas Propag. 2015, 63, 2497–2507. [Google Scholar] [CrossRef]
- Pal, J.; Zhu, Y.; Lu, J.; Dao, D.V.; Khan, F. RF MEMS switches for smart antennas. Microsyst. Technol. 2015, 21, 487–495. [Google Scholar] [CrossRef]
- Deng, Z.; Gan, J.; Wei, H.; Gong, H.; Guo, X. Ka-Band Radiation Pattern Reconfigurable Antenna Based on Microstrip MEMS Switches. Prog. Electromagn. Res. Lett. 2016, 59, 93–99. [Google Scholar] [CrossRef]
- Deng, Z.L.; Gong, H.; Fan, S.; Chen, C.H. Ka-Band Radiation Pattern Reconfigurable Microstrip Patch Antenna Employing MEMS Switches. Appl. Mech. Mater. 2013, 411, 1674–1679. [Google Scholar] [CrossRef]
- Pozar, D.M. Microwave Engineering; John Wiley & Sons: New York, NY, USA, 2009. [Google Scholar]
- Entesari, K.; Rebeiz, G.M. A differential 4-bit 6.5-10-GHz RF MEMS tunable filter. IEEE Trans. Microw. Theory Tech. 2005, 53, 1103–1110. [Google Scholar] [CrossRef]
- Haridas, N.; Erdogan, A.T.; Arslan, T.; Walton, A.J.; Smith, S.; Stevenson, T.; Dunare, C.; Gundlach, A.; Terry, J.; Argyrakis, P.; et al. Reconfigurable MEMS antennas. In Proceedings of the NASA/ESA Conference on Adaptive Hardware and Systems, 2008 (AHS’08), Noordwijk, The Netherlands, 22–25 June 2008; pp. 147–154.
- Rebeiz, G.M. RF MEMS: Theory, Design, and Technology; John Wiley & Sons: New York, NY, USA, 2004. [Google Scholar]
- Kumar, G.; Ray, K. Broadband Microstrip Antennas; Artech House: London, UK, 2002. [Google Scholar]
- Balanis, C.A. Antenna Theory: Analysis and Design; John Wiley & Sons: New York, NY, USA, 2016. [Google Scholar]
- Di Palma, L.; Clemente, A.; Dussopt, L.; Sauleau, R.; Potier, P.; Pouliguen, P. 1-Bit Reconfigurable Unit-Cell for Ka-Band Transmitarrays. IEEE Antennas Wirel. Propag. Lett. 2016, 15, 560–563. [Google Scholar] [CrossRef]
- Ratajczak, P.; Brachat, P.; Fargeas, J.; Baracco, J.; Toso, G. C-band and Ka-band reconfigurable planar reflectors. In Proceedings of the 6th European Conference on Antennas and Propagation (EUCAP), Prague, Czech, 26–30 March 2012; pp. 2618–2622.
- Ayoub, F.; Tawk, Y.; Woehrle, C.; Costantine, J.; Christodoulou, C. Reconfigurable Cyclical Patch Antenna. In Proceedings of the IEEE International Symposium on Antennas and Propagation & USNC/URSI National Radio Science Meeting, Vancouver, BC, Canada, 19–24 July 2015; pp. 2249–2250.
- Sánchez-Escuderos, D.; Ferrando-Bataller, M.; Baquero-Escudero, M.; Herranz-Herruzo, J.I. Pattern reconfigurable Ka-band slot-array antenna using RF-MEMS. In Proceedings of the 2010 IEEE Antennas and Propagation Society International Symposium, Toronto, ON, Canada; pp. 1–4.









| Symbol | Description | Value |
|---|---|---|
| W0 | width of the main patch | 1500 μm |
| L0 | length of the main patch | 900 μm |
| W1 | width of the assistant patch | 960 μm |
| L1 | length of the assistant patch | 970 μm |
| Wm | width of the impedance transformer | 110 μm |
| Lm | length of the impedance transformer | 1410 μm |
| Wb | width of the switch beam | 90 μm |
| Lb | length of the switch beam | 340 μm |
| Wh | width of the hole | 54 μm |
| Lh | length of the hole | 72 μm |
| a | side length of releasing hole | 8 μm |
| r | length of the sector stub | 575 μm |
| δ | angle of the sector stub | 25° |
| Mode | State of RF MEMS Switches | Frequency | Main Lobe Direction ( = 90°) |
|---|---|---|---|
| 1 | Only left switch in the up state | 35 GHz | θ = 17.3° |
| 2 | Double switches in the up state | 35 GHz | θ = −0.6° |
| 3 | Double switches in the down state | 35 GHz | θ = −1.5° |
| 4 | Only right switch in the up state | 35 GHz | θ = −17.2° |
| Literature | Means | Arrays | Frequency | Reconfigurable Angles | Block Volume (mm3) |
|---|---|---|---|---|---|
| [18] | PIN diodes | Need | 27.5 GHz | 45° | 5.1 × 5.1 × 1.274 |
| [19] | MEMS switches | Need | 34.8 GHz | 60° | About 500 × 500 × 2 |
| [20] | PIN diodes | No need | 27 GHz | 60° | 9.5 × 9.5 × 1 |
| [21] | MEMS switches | Need | 30 GHz | 13° | About 7.112 × 3.556 × 40 |
| This paper | MEMS switches | No need | 35 GHz | 34° | 2.45 × 4.4 × 0.4 |
© 2016 by the authors. Licensee MDPI, Basel, Switzerland. This article is an open access article distributed under the terms and conditions of the Creative Commons Attribution (CC-BY) license ( http://creativecommons.org/licenses/by/4.0/).
Share and Cite
Deng, Z.; Guo, X.; Wei, H.; Gan, J.; Wang, Y. Design, Analysis, and Verification of Ka-Band Pattern Reconfigurable Patch Antenna Using RF MEMS Switches. Micromachines 2016, 7, 144. https://doi.org/10.3390/mi7080144
Deng Z, Guo X, Wei H, Gan J, Wang Y. Design, Analysis, and Verification of Ka-Band Pattern Reconfigurable Patch Antenna Using RF MEMS Switches. Micromachines. 2016; 7(8):144. https://doi.org/10.3390/mi7080144
Chicago/Turabian StyleDeng, Zhongliang, Xubing Guo, Hao Wei, Jun Gan, and Yucheng Wang. 2016. "Design, Analysis, and Verification of Ka-Band Pattern Reconfigurable Patch Antenna Using RF MEMS Switches" Micromachines 7, no. 8: 144. https://doi.org/10.3390/mi7080144
APA StyleDeng, Z., Guo, X., Wei, H., Gan, J., & Wang, Y. (2016). Design, Analysis, and Verification of Ka-Band Pattern Reconfigurable Patch Antenna Using RF MEMS Switches. Micromachines, 7(8), 144. https://doi.org/10.3390/mi7080144

