Ionoprinted Multi-Responsive Hydrogel Actuators
Abstract
:1. Introduction
2. Experimental Section
2.1. Materials
2.2. Hydrogel Polymerization
2.3. Bilayer Fabrication
2.4. Mechanical Analysis
2.5. Bending Curvature Analysis
3. Results
3.1. Strategy for Bilayer Design and Bending Direction Control
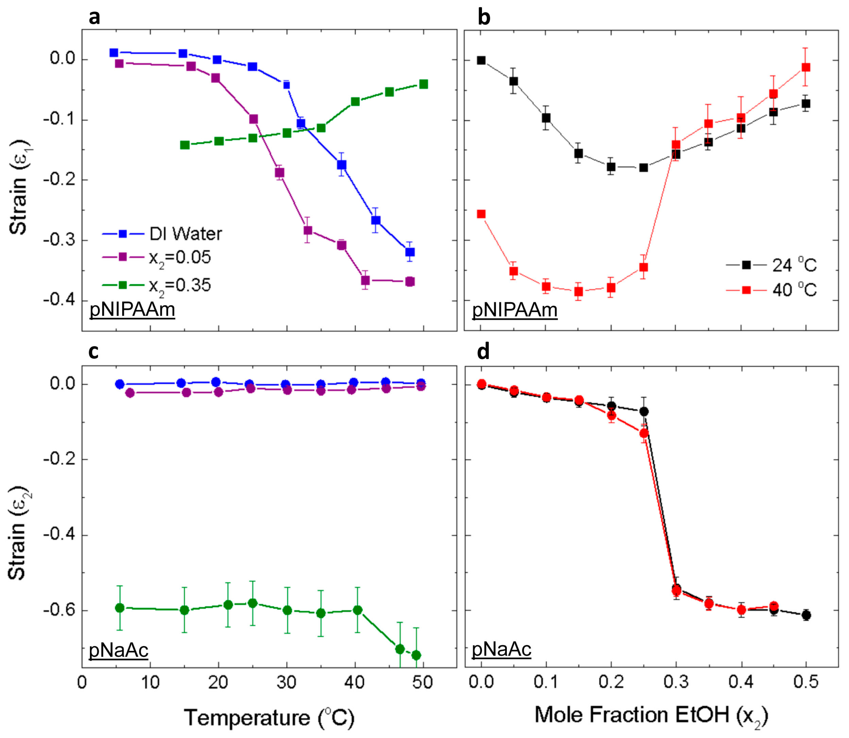
3.2. Response Analysis of Individual Gel Layers
3.3. Response of Hydrogel Bilayers to External Stimulus
3.4. Inversion of Bending Axis by Ionoprinting
3.5. Demonstration of Complex Shapes using Ionoprinting
4. Conclusions
Supplementary Materials
Acknowledgments
Author Contributions
Conflicts of Interest
Appendix A


References
- Studart, A.R.; Erb, R.M. Bioinspired materials that self-shape through programmed microstructures. Soft Matter 2014, 10, 1284–1294. [Google Scholar] [CrossRef] [PubMed]
- Geryak, R.; Tsukruk, V.V. Reconfigurable and actuating structures from soft materials. Soft Matter 2014, 10, 1246–1263. [Google Scholar] [CrossRef] [PubMed]
- Khetan, S.; Burdick, J.A. Patterning hydrogels in three dimensions towards controlling cellular interactions. Soft Matter 2010, 7, 830–838. [Google Scholar] [CrossRef]
- Kuckling, D. Responsive hydrogel layers—From synthesis to applications. Colloid Polym. Sci. 2009, 287, 881–891. [Google Scholar] [CrossRef]
- White, E.M.; Yatvin, J.; Grubbs, J.B.; Bilbrey, J.A.; Locklin, J. Advances in smart materials: Stimuli-responsive hydrogel thin films. J. Polym. Sci. B Polym. Phys. 2013, 51, 1084–1099. [Google Scholar] [CrossRef]
- Asoh, T.-A.; Kawamura, E.; Kikuchi, A. Stabilization of electrophoretically adhered gel-interfaces to construct multi-layered hydrogels. RSC Adv. 2013, 3, 7947–7952. [Google Scholar] [CrossRef]
- Morales, D.; Palleau, E.; Dickey, M.D.; Velev, O.D. Electro-actuated Hydrogel Walkers with Dual Responsive Legs. Soft Matter 2013, 10, 1337–1348. [Google Scholar] [CrossRef] [PubMed]
- Breger, J.C.; Yoon, C.-K.; Xiao, R.; Kwag, H.R.; Wang, M.O.; Fisher, J.P.; Nguyen, T.D.; Gracias, D.H. Self-Folding Thermo-Magnetically Responsive Soft Microgrippers. ACS Appl. Mater. Interfaces 2015, 7, 3398–3405. [Google Scholar] [CrossRef] [PubMed]
- Kuckling, D.; Pareek, P. Bilayer hydrogel assembly. Polymer 2008, 49, 1435–1439. [Google Scholar] [CrossRef]
- Na, J.-H.; Evans, A.A.; Bae, J.; Chiapelli, M.C.; Santangelo, C.D.; Lang, R.J.; Hull, T.C.; Hayward, R.C. Programming Reversibly Self-Folding Origami with Micropatterned Photo-Crosslinkable Polymer Trilayers. Adv. Mater. 2015, 27, 79–85. [Google Scholar] [CrossRef] [PubMed]
- Nikolov, S.V.; Yeh, P.D.; Alexeev, A. Self-Propelled Microswimmer Actuated by Stimuli-Sensitive Bilayered Hydrogel. ACS Macro Lett. 2014, 4, 84–88. [Google Scholar] [CrossRef]
- Stoychev, G.; Puretskiy, N.; Ionov, L. Self-folding all-polymer thermoresponsive microcapsules. Soft Matter 2011, 7, 3277–3279. [Google Scholar] [CrossRef]
- Xu, B.; Jiang, H.; Li, H.; Zhang, G.; Zhang, Q. High strength nanocomposite hydrogel bilayer with bidirectional bending and shape switching behaviors for soft actuators. RSC Adv. 2015, 5, 13167–13170. [Google Scholar] [CrossRef]
- Zakharchenko, S.; Puretskiy, N.; Stoychev, G.; Stamm, M.; Ionov, L. Temperature controlled encapsulation and release using partially biodegradable thermo-magneto-sensitive self-rolling tubes. Soft Matter 2010, 6, 2633–2636. [Google Scholar] [CrossRef]
- Zheng, W.J.; An, N.; Yang, J.; Zhou, J.; Chen, Y.M. Tough Al-alginate/poly(N-isopropylacrylamide) Hydrogel with Tunable LCST for Soft Robotics. ACS Appl. Mater. Interfaces 2015, 7, 1758–1764. [Google Scholar] [CrossRef] [PubMed]
- Bassik, N.; Abebe, B.T.; Laflin, K.E.; Gracias, D.H. Photolithographically patterned smart hydrogel based bilayer actuators. Polymer 2010, 51, 6093–6098. [Google Scholar] [CrossRef]
- Hauser, A.W.; Evans, A.A.; Na, J.-H.; Hayward, R.C. Photothermally Reprogrammable Buckling of Nanocomposite Gel Sheets. Angew. Chem. Int. Ed. 2015, 54, 5434–5437. [Google Scholar] [CrossRef] [PubMed]
- Thérien-Aubin, H.; Wu, Z.L.; Nie, Z.; Kumacheva, E. Multiple Shape Transformations of Composite Hydrogel Sheets. J. Am. Chem. Soc. 2013, 135, 4834–4839. [Google Scholar] [CrossRef] [PubMed]
- Yao, C.; Liu, Z.; Yang, C.; Wang, W.; Ju, X.-J.; Xie, R.; Chu, L.-Y. Poly(N-isopropylacrylamide)-Clay Nanocomposite Hydrogels with Responsive Bending Property as Temperature-Controlled Manipulators. Adv. Funct. Mater. 2015, 25, 2980–2991. [Google Scholar] [CrossRef]
- Zhang, X.; Pint, C.L.; Lee, M.H.; Schubert, B.E.; Jamshidi, A.; Takei, K.; Ko, H.; Gillies, A.; Bardhan, R.; Urban, J.J.; et al. Optically- and Thermally-Responsive Programmable Materials Based on Carbon Nanotube-Hydrogel Polymer Composites. Nano Lett. 2011, 11, 3239–3244. [Google Scholar] [CrossRef] [PubMed]
- Palleau, E.; Morales, D.; Dickey, M.D.; Velev, O.D. Reversible patterning and actuation of hydrogels by electrically assisted ionoprinting. Nat. Commun. 2013, 4, 2257. [Google Scholar] [CrossRef] [PubMed]
- Bae, J.; Na, J.-H.; Santangelo, C.D.; Hayward, R.C. Edge-defined metric buckling of temperature-responsive hydrogel ribbons and rings. Polymer 2014, 55, 5908–5914. [Google Scholar] [CrossRef]
- Kim, J.; Hanna, J.A.; Byun, M.; Santangelo, C.D.; Hayward, R.C. Designing Responsive Buckled Surfaces by Halftone Gel Lithography. Science 2012, 335, 1201–1205. [Google Scholar] [CrossRef] [PubMed]
- Kim, J.; Hanna, J.A.; Hayward, R.C.; Santangelo, C.D. Thermally responsive rolling of thin gel strips with discrete variations in swelling. Soft Matter 2012, 8, 2375–2381. [Google Scholar] [CrossRef]
- Lee, B.P.; Konst, S. Novel Hydrogel Actuator Inspired by Reversible Mussel Adhesive Protein Chemistry. Adv. Mater. 2014, 26, 3415–3419. [Google Scholar] [CrossRef] [PubMed]
- Ahadian, S.; Ramón-Azcón, J.; Estili, M.; Liang, X.; Ostrovidov, S.; Shiku, H.; Ramalingam, M.; Nakajima, K.; Sakka, Y.; Bae, H. Hybrid hydrogels containing vertically aligned carbon nanotubes with anisotropic electrical conductivity for muscle myofiber fabrication. Sci. Rep. 2014, 4, 4271. [Google Scholar] [CrossRef] [PubMed]
- Wu, Z.L.; Moshe, M.; Greener, J.; Therien-Aubin, H.; Nie, Z.; Sharon, E.; Kumacheca, E. Three-dimensional shape transformations of hydrogel sheets induced by small-scale modulation of internal stresses. Nat. Commun. 2013, 4, 1586. [Google Scholar] [CrossRef] [PubMed]
- Peppas, N.A.; Hilt, J.Z.; Khademhosseini, A.; Langer, R. Hydrogels in Biology and Medicine: From Molecular Principles to Bionanotechnology. Adv. Mater. 2006, 18, 1345–1360. [Google Scholar] [CrossRef]
- Slaughter, B.V.; Khurshid, S.S.; Fisher, O.Z.; Khademhosseini, A.; Peppas, N.A. Hydrogels in Regenerative Medicine. Adv. Mater. 2009, 21, 3307–3329. [Google Scholar] [CrossRef] [PubMed]
- Kwon, G.H.; Park, J.Y.; Kim, J.Y.; Frisk, M.L.; Beebe, D.J.; Lee, S.-H. Biomimetic Soft Multifunctional Miniature Aquabots. Small 2008, 4, 2148–2153. [Google Scholar] [CrossRef] [PubMed]
- Maeda, S.; Hara, Y.; Sakai, T.; Yoshida, R.; Hashimoto, S. Self-Walking Gel. Adv. Mater. 2007, 19, 3480–3484. [Google Scholar] [CrossRef]
- Murdan, S. Electro-responsive drug delivery from hydrogels. J. Control. Release 2003, 92, 1–17. [Google Scholar] [CrossRef]
- Peppas, N.A. Drug Delivery Using Smart Polymers: Recent Advances. In Smart Polymers: Applications in Biotechnology and Biomedicine; Galaev, I., Mattiasson, B., Eds.; CRC Press: Boca Raton, FL, USA, 2007; p. 331. [Google Scholar]
- Beebe, D.J.; Moore, J.S.; Bauer, J.M.; Yu, Q.; Liu, R.H.; Devadoss, C.; Jo, B.-H. Functional hydrogel structures for autonomous flow control inside microfluidic channels. Nature 2000, 404, 588–590. [Google Scholar] [CrossRef] [PubMed]
- Lin, I.-H.; Birchall, L.S.; Hodson, N.; Ulijn, R.V.; Webb, S.J. Interfacing biodegradable molecular hydrogels with liquid crystals. Soft Matter 2013, 9, 1188–1193. [Google Scholar] [CrossRef]
- Jin, L.; Zhao, Y.; Liu, X.; Wang, Y.; Ye, B.; Xie, Z.; Gu, Z. Dual signal glucose reporter based on inverse opal conducting hydrogel films. Soft Matter 2012, 8, 4911–4917. [Google Scholar] [CrossRef]
- Ionov, L. Hydrogel-based actuators: Possibilities and limitations. Mater. Today 2014, 17, 494–503. [Google Scholar] [CrossRef]
- O’Grady, M.L.; Kuo, P.; Parker, K.K. Optimization of Electroactive Hydrogel Actuators. ACS Appl. Mater. Interfaces 2009, 2, 343–346. [Google Scholar] [CrossRef] [PubMed]
- Sun, J.-Y.; Zhao, X.; Illeperuma, W.R.K.; Chaudhiri, O.; Oh, K.H.; Mooney, D.J.; Vlassak, J.J.; Suo, Z. Highly stretchable and tough hydrogels. Nature 2012, 489, 133–136. [Google Scholar] [CrossRef] [PubMed]
- Wei, Z.; Jia, Z.; Athas, J.; Wang, C.; Raghavan, S.R.; Li, T.; Nie, Z. Hybrid hydrogel sheets that undergo pre-programmed shape transformations. Soft Matter 2014, 10, 8157–8162. [Google Scholar] [CrossRef] [PubMed]
- Thérien-Aubin, H.; Moshe, M.; Sharon, E.; Kumacheva, E. Shape transformations of soft matter governed by bi-axial stresses. Soft Matter 2015, 11, 4600–4605. [Google Scholar] [CrossRef] [PubMed]
- Ma, C.; Li, T.; Zhao, Q.; Yang, X.; Wu, J.; Luo, Y.; Xie, T. Supramolecular Lego Assembly towards Three-Dimensional Multi-Responsive Hydrogels. Adv. Mater. 2014, 26, 5665–5669. [Google Scholar] [CrossRef] [PubMed]
- Schild, H.G.; Muthukumar, M.; Tirrell, D.A. Cononsolvency in mixed aqueous solutions of poly(N-isopropylacrylamide). Macromolecules 1991, 24, 948–952. [Google Scholar] [CrossRef]
- Yu, C.; Duan, Z.; Yuan, P.; Li, Y.; Su, Y.; Zhang, X.; Pan, Y.; Dai, L.L.; Nuzzo, R.G.; Huang, Y.; et al. Electronically Programmable, Reversible Shape Change in Two- and Three-Dimensional Hydrogel Structures. Adv. Mater. 2012, 25, 1541–1546. [Google Scholar] [CrossRef] [PubMed]
- Motala, M.J.; Perlitz, D.; Daly, C.M.; Yuan, P.; Nuzzo, R.G.; Hsia, K.J. Programming matter through strain. Extreme Mech. Lett. 2015, 3, 8–16. [Google Scholar] [CrossRef]
- Asoh, T.-A.; Kikuchi, A. Electrophoretic adhesion of stimuli-responsive hydrogels. Chem. Commun. 2010, 46, 7793–7795. [Google Scholar] [CrossRef] [PubMed]
- American Society for Testing Materials. Test Method for Tensile Properties of Plastics; ASTM D638-10; ASTM International: West Coshoshocken, PA, USA, 2010. [Google Scholar]
- Schneider, C.A.; Rasband, W.S.; Eliceiri, K.W. NIH Image to ImageJ: 25 years of image analysis. Nat. Meth. 2012, 9, 671–675. [Google Scholar] [CrossRef]
- Costa, R.O.; Freitas, R.F. Phase behavior of poly(N-isopropylacrylamide) in binary aqueous solutions. Polymer 2002, 43, 5879–5885. [Google Scholar] [CrossRef]
- Bischofberger, I.; Calzolari, D.C.E.; De Los Rios, P.; Jelezarov, I.; Trappe, V. Hydrophobic hydration of poly-N-isopropyl acrylamide: A matter of the mean energetic state of water. Sci. Rep. 2014, 4, 4377. [Google Scholar] [CrossRef] [PubMed]
- Nishiyama, Y.; Satoh, M. Swelling behavior of poly(acrylic acid) gels in aqueous ethanol—Effects of counterion species and ionic strength. Macromol. Rapid Commun. 2000, 21, 174–177. [Google Scholar] [CrossRef]
- Lee, S.G.; Pascal, T.D.; Koh, W.; Brunello, G.F.; Goddardlll, W.A.; Jang, S.S. Deswelling Mechanisms of Surface-Grafted Poly(NIPAAm) Brush: Molecular Dynamics Simulation Approach. J. Phys. Chem. C 2012, 116, 15974–15985. [Google Scholar] [CrossRef]
- Raschke, T.M.; Levitt, M. Nonpolar solutes enhance water structure within hydration shells while reducing interactions between them. PNAS 2005, 102, 6777–6782. [Google Scholar] [CrossRef] [PubMed]
- Baker, B.A.; Murff, R.L.; Milam, V.T. Tailoring the mechanical properties of polyacrylamide-based hydrogels. Polymer 2010, 51, 2207–2214. [Google Scholar] [CrossRef]
- Srikant, S.; Muralidharan, S.S.; Natarajan, U. Behaviour of hydrogen bonding and structure of poly(acrylic acid) in water–ethanol solution investigated by explicit ion molecular dynamics simulations. Mol. Simul. 2012, 39, 145–153. [Google Scholar] [CrossRef]
- Khokhlov, A.R.; Kramarenko, E.Y. Weakly Charged Polyelectrolytes: Collapse Induced by Extra Ionization. Macromolecules 1996, 29, 681–685. [Google Scholar] [CrossRef]
- Timoshenko, S. Analysis of Bi-metal Thermostats. J. Opt. Soc. Am. 1925, 11, 233–255. [Google Scholar] [CrossRef]
- Freund, L.B.; Floro, J.A.; Chason, E. Extensions of the Stoney formula for substrate curvature to configurations with thin substrates or large deformations. Appl. Phys. Lett. 1999, 74, 1987–1989. [Google Scholar] [CrossRef]
- Guo, W.; Li, M.; Zhou, J. Modeling programmable deformation of self-folding all-polymer structures with temperature-sensitive hydrogels. Smart Mater. Struct. 2013, 22, 115028–115033. [Google Scholar] [CrossRef]
- Christophersen, M.; Shapiro, B.; Smela, E. Characterization and modeling of PPy bilayer microactuators: Part 1. Curvature. Sens. Actuators B Chem. 2006, 115, 596–609. [Google Scholar] [CrossRef]
- Schmidt, S.; Zeiser, M.; Hellweg, T.; Duschl, C.; Fery, A.; Mohwald, H. Adhesion and Mechanical Properties of PNIPAM Microgel Films and Their Potential Use as Switchable Cell Culture Substrates. Adv. Funct. Mater. 2010, 20, 3235–3243. [Google Scholar] [CrossRef]
- Hirotsu, S. Elastic anomaly near the critical point of volume phase transition in polymer gels. Macromolecules 1990, 23, 903–905. [Google Scholar] [CrossRef]
- Ferdinand, P.B.; Johnston, E.R., Jr.; DeWolf, J.T.; Mazurek, D.F. Statics and Mechanics of Materials; McGraw Hill: New York, NY, USA, 2012; p. 242. [Google Scholar]
- Voudouris, P.; Florea, D.; van der Schoot, P.; Wyss, H.M. Micromechanics of temperature sensitive microgels: Dip in the Poisson ratio near the LCST. Soft Matter 2013, 9, 7158–7166. [Google Scholar] [CrossRef]





© 2016 by the authors. Licensee MDPI, Basel, Switzerland. This article is an open access article distributed under the terms and conditions of the Creative Commons Attribution (CC-BY) license ( http://creativecommons.org/licenses/by/4.0/).
Share and Cite
Morales, D.; Podolsky, I.; Mailen, R.W.; Shay, T.; Dickey, M.D.; Velev, O.D. Ionoprinted Multi-Responsive Hydrogel Actuators. Micromachines 2016, 7, 98. https://doi.org/10.3390/mi7060098
Morales D, Podolsky I, Mailen RW, Shay T, Dickey MD, Velev OD. Ionoprinted Multi-Responsive Hydrogel Actuators. Micromachines. 2016; 7(6):98. https://doi.org/10.3390/mi7060098
Chicago/Turabian StyleMorales, Daniel, Igor Podolsky, Russell W. Mailen, Timothy Shay, Michael D. Dickey, and Orlin D. Velev. 2016. "Ionoprinted Multi-Responsive Hydrogel Actuators" Micromachines 7, no. 6: 98. https://doi.org/10.3390/mi7060098
APA StyleMorales, D., Podolsky, I., Mailen, R. W., Shay, T., Dickey, M. D., & Velev, O. D. (2016). Ionoprinted Multi-Responsive Hydrogel Actuators. Micromachines, 7(6), 98. https://doi.org/10.3390/mi7060098

