Next Article in Journal
A New Microfluidic Device for Classification of Microalgae Cells Based on Simultaneous Analysis of Chlorophyll Fluorescence, Side Light Scattering, Resistance Pulse Sensing
Next Article in Special Issue
A Microfluidic Chip for Cell Patterning Utilizing Paired Microwells and Protein Patterns
Previous Article in Journal
Tunable Particle Focusing in a Straight Channel with Symmetric Semicircle Obstacle Arrays Using Electrophoresis-Modified Inertial Effects
Previous Article in Special Issue
Development of a Multi-Stage Electroosmotic Flow Pump Using Liquid Metal Electrodes
 
 
Due to scheduled maintenance work on our servers, there may be short service disruptions on this website between 11:00 and 12:00 CEST on March 28th.
Font Type:
Arial Georgia Verdana
Font Size:
Aa Aa Aa
Line Spacing:
Column Width:
Background:
Article

A Dewetting Model for Double-Emulsion Droplets

1
Department of Mechanical Engineering, The University of Hong Kong, Hong Kong, China
2
Zhejiang Institute of Research and Innovation, The University of Hong Kong (HKU-ZIRI), Hangzhou 311300, Zhejiang, China
3
Guangdong Key Laboratory for Biomedical Measurements and Ultrasound Imaging, Department of Biomedical Engineering, Shenzhen University, 3688 Nanhai Avenue, Shenzhen 518060, China
*
Author to whom correspondence should be addressed.
Micromachines 2016, 7(11), 196; https://doi.org/10.3390/mi7110196
Submission received: 1 September 2016 / Revised: 21 October 2016 / Accepted: 27 October 2016 / Published: 1 November 2016

Abstract

:
The evolution of double-emulsion droplets is of great importance for the application of microdroplets and microparticles. We study the driving force of the dewetting process, the equilibrium configuration and the dewetting time of double-emulsion droplets. Through energy analysis, we find that the equilibrium configuration of a partial engulfed droplet depends on a dimensionless interfacial tension determined by the three relevant interfacial tensions, and the engulfing part of the inner phase becomes larger as the volume of the outer phase increases. By introducing a dewetting boundary, the dewetting time can be calculated by balancing the driving force, caused by interfacial tensions, and the viscous force. Without considering the momentum change of the continuous phase, the dewetting time is an increasing function against the viscosity of the outer phase and the volume ratio between the outer phase and inner phase.

Graphical Abstract

1. Introduction

Microdroplets have great potential in many applications. For example, they could be used for chemical reactions, therapeutic agent delivery and electronic paper [1,2]. Microdroplets used as a chemical reactor could enhance the intensity and uniformity of the reaction because of the tiny amount of reactant in the droplet. The structure of microdroplets usually plays an important role in these applications. For example, the core-shell structure (Figure 1a) can encapsulate and protect active ingredients and deliver them to the position with lesions [3,4,5,6]. Partial engulfing droplets (Figure 1b) are desirable for producing particles with two distinct sides such as the Janus particle which could be used as an emulsion stabilizer and building block of electronic paper [7]. The inner phase with active ingredients could also be released from the outer phase by the dewetting process, forming a non-engulfing structure [8] (Figure 1c). The structures of droplets are usually determined by the thermodynamic principle that droplets prefer the configuration with the lowest energy level [9,10]. Torza and Mason [9] studied droplet morphology in terms of spreading coefficients and obtained the theoretical relationship between the droplet morphology and spreading coefficients, which is used widely by many researchers [11,12,13,14,15,16,17]. In their study, the spreading coefficient was defined as s i = σ j k ( σ i j + σ i k ) , where   σ i j ,   σ i k ,   σ j k   denoted the three interfacial tensions between phases i, j, k correspondingly in a double-emulsion system. The droplet morphology could also be predicted directly by comparing interfacial tensions between different phases [17,18]. For the double emulsion, these studies predicted three droplet morphologies: engulfing, partial-engulfing and non-engulfing, shown in Figure 1, in the dewetting process where the outer phase and the inner phase separated from each other, forming a configuration with the minimum energy. However, the study on the interaction of the forces during the droplet dewetting process is very limited. As these forces are important for droplet configuration, especially when the driving force is small, kinetic factors such as viscosity may play the dominant role instead of the thermodynamic effect, making a thermodynamically non-engulfing droplet become partial-engulfing [8]. Furthermore, the droplet dewetting time is also determined by these forces, which is critical for the drug delivery process. Meanwhile, the precise prediction of the equilibrium configuration of droplets also depends heavily on these forces, which is vital for the precise fabrication of Janus particles. In this work, we prove that the interfacial tensions on the three-phase contact cycle are the exact forces driving the droplet dewetting process. Then, the equilibrium configuration is predicted by thermodynamic analysis. At last, the dewetting time of double emulsion is calculated. Hence, our study is of great importance for the fabrication and application of micro-emulsions by predicting the droplet configuration and dewetting time.

2. Driving Force of Dewetting Process

The schematic of the dewetting process is shown in Figure 2. Phases (1), (2) and (3) are the inner, outer and continuous phases, respectively. Further, σij and Sij are the interfacial tension and interfacial area, respectively, between phase i and j, where i,j = 1,2,3. R1 and R2 are the radii of the inner phase and outer phase, respectively; r is the radius of a cycle which is formed by the three-phase contact line; l is the length of the inner phase out of the outer phase; h is the virtual height of the outer phase in the inner phase; α and β are the half central angles of the inner phase and outer phase with respect to the three-phase contact cycle; and θ is the angle between σ12 and σ23, shown in Figure 2. To simplify the analysis, we assume the morphology of the inner droplet remains unchanged during the entire dewetting process.
When the inner phase comes out a small distance such as d l from the outer phase, the angle α and   β will correspondingly change d α and   d β , respectively. Thus, the work done by interfacial tension is
δ W = ( σ 12 σ 13 ) × 2 π R 1 sin α × R 1 d α σ 23 × 2 π R 2 sin β × R 2 d β         = 2 π ( σ 12 σ 13 ) R 1 2 sin α d α 2 π σ 23 R 2 2 sin β d β
The minus sign in the second term is because of the decrease of R 2 in the whole dewetting process; thus, the work done by σ 23 is negative. The interfacial areas between the different phases are given by
S 12 = 2 π R 1 2 ( 1 + cos α )
S 13 = 2 π R 1 2 ( 1 cos α )  
S 23 = 2 π R 2 2 ( 1 cos β )
Hence, the variation of the Gibbs energy because of the change of the interfacial areas gives
d G = σ 12 d S 12 + σ 13 d S 13 + σ 23 d S 23 = 2 π ( σ 12 σ 13 ) R 1 2 sin α d α + 2 π σ 23 R 2 2 sin β d β
According to Equations (1) and (5), δ W = d G and we can thus conclude that the driving forces for the dewetting process of the double-emulsion droplet are the interfacial tensions along the three-phase contact cycle, a result consistent with the first law of thermodynamics. If the inner droplet deforms, the directions of σ 12 and σ 13 change, but no new force is induced. Hence, the three interfacial tensions remain the driving force of the dewetting process.

3. Equilibrium Configuration

The equilibrium configuration of a double-emulsion droplet is determined by its energy level, since droplets prefer the configuration with the lowest energy. In the following, the equilibrium configuration is derived through energy analysis.
According to mass conservation of the outer phase during the droplet dewetting process, we have
ρ 2 4 3 π R 21 3 = ρ 2 [ 4 3 π R 2 3 1 3 π R 1 3 ( L 2 ) 2 ( L + 1 ) 1 3 π h 2 ( 3 R 2 h ) ]
where R 21 is the radius of the outer phase when the inner phase and outer phase separate completely, ρ 2 is the density of the outer phase and L = l / R 1 which is a dimensionless position used to denote the droplet configuration in this section. Thus, the inner phase is totally in the outer phase when L = 0 , and they separate completely from each other when L = 2 . Let k = R 21 / R 1 characterizing the volume ratio between the outer phase and inner phase, and then we have h 2 / R 2 2   ~   h 2 / R 1 2   ~   O ( 10 2 ) when k ≥ 1 ( O   is a sign denoting the order of magnitude), so the last term of Equation (6) can be ignored.
Assuming the density of the outer phase to be constant, we can get
4 3 π R 21 3 = 4 3 π R 2 3 1 3 π R 1 3 ( L 2 ) 2 ( L + 1 )
Hence, Equation (7) could be rearranged to
R 2 = K R 1
where K = 1 / 2 × ( 8 k 3 + 8 6 L 2 + 2 L 3 ) 1 / 3 , which could be regarded as a shape factor characterizing the shape change of the outer phase with respect to L and k.
Therefore, the total Gibbs energy of the system is given by, based on geometry analysis,
G = σ 13 S 13 + σ 12 S 12 + σ 23 S 23 = 2 π R 1 2 σ 12 [ ( 2 L ) + x L + y ( K 2 + K K 2 2 L + L 2 ) ]
where x = σ 13 / σ 12 ,   y = σ 23 / σ 12 . Furthermore, we have the dimensionless Gibbs energy normalized by the Gibbs energy of the inner phase:
G * = G 4 π R 1 2 σ 12 = 1 2 [ ( 2 L ) + x L + y ( K 2 + K K 2 2 L + L 2 ) ]
Taking the derivative of the dimensionless Gibbs energy (Equation (10)) with respect to L, we have
d G * d L = 1 2 + 1 2 x + 1 4 y [ L 2 2 L K + L 2 2 L + 4 K L 4 K 2 K 2 2 L + L 2 + ( L 2 2 L ) K 2 2 L + L 2 2 K 2 ]
By solving Equation (11) = 0, the equilibrium configuration could be described implicitly by
1 2 [ L 2 2 L K + L 2 2 L + 4 K L 4 K 2 K 2 2 L + L 2 + ( L 2 2 L ) K 2 2 L + L 2 2 K 2 ] = Σ
where Σ = ( σ 12 σ 13 ) / σ 23 , which is a dimensionless interfacial tension determined by the three interfacial tensions in the double-emulsion system.
Therefore, the equilibrium configuration denoted by L is determined by the dimensionless interfacial tension Σ for a given radius ratio k. Table 1 gives the interfacial tensions between poly(2-phenylpropylme-thylsiloxane) (PPPMS), poly(octylmethylsiloxane) (POMS), poly(3,3,3-trifluoropropylmethylsiloxane) (PFPMS) and water (the surfactant concentration of sodium dodecyl sulfate (SDS) is 5 mM) [15], which will be applied to analyze the equilibrium configuration of a double-emulsion droplet.
Figure 3 shows the variation of the equilibrium position L (L = l/R1) with respect to the radius ratio (k = R21/R1) for systems 1, 5, 6 and 9 in Table 1. It indicates that the equilibrium position L decreases dramatically with the increase of k when k is small such as k < 10, but gradually tends to be a constant when k is large enough. Therefore, the inner phase tends to be engulfed into the outer phase as the volume of the outer phase increases. However, if the volume of the outer phase is large enough, the volume of the inner phase engulfed in the outer phase tends to be constant. Furthermore, comparing the data between system 1 and system 9, Figure 3 denotes the equilibrium position L decreases with the increase of x1312). On the other hand, the data of system 5 and system 6 shows that the equilibrium position L increases with the increase of y2312).
Figure 4 demonstrates the variation of equilibrium position L with respect to dimensionless interfacial tension Σ ((σ12 − σ13)/σ23), which indicates that the equilibrium position L linearly depends on Σ approximately, providing a practical approach to predict the droplet configuration. The equilibrium position L increases with the increase of Σ, which means the larger the Σ, the smaller the part of the inner phase engulfed in the outer phase (this qualitatively agrees with the results in the literature [18]). Furthermore, with the increase of the volume ratio k (k = R21/R1), the slope of the L variation with respect to Σ increases, which means the equilibrium position is more sensitive to the dimensionless interfacial tension at a larger volume ratio of the outer to the inner phase. However, the slope tends to a constant when k is sufficiently large, indicating the existence of a saturated equilibrium position at a large volume ratio, which agrees with the results in Figure 3. At the saturated condition, the equilibrium position is determined by the dimensionless interfacial tension with negligible influence of the volume ratio.

4. Dewetting Time of Double-Emulsion Droplet

As the velocities of the inner phase and outer phase are usually very small in the dewetting process, the droplets’ movement relative to each other could be considered approximately as Stokes flow; the resistance force per unit area is thus   f = 3 η u / 2 R , where η   is the dynamic viscosity of the surrounding fluid and u is the relative velocity of the adjacent phases.
Assuming the viscosity of the continuous phase is sufficiently small, the momentum change of the continuous phase is neglected. Based on the momentum conservation of the inner phase and outer phase, we have
m 1 u 1 = m 2 u 2
where u 1 and u 2 are the velocities of the inner and outer phases during the dewetting process, respectively, which depend on the dimensionless position L.
The driving force component in droplets separating direction is given by
F R = [ ( σ 12 σ 13 ) sin α + σ 23 sin β ] × 2 π r = 2 π σ 12 R 1 L ( 2 L ) ( 1 x + y K )
With a sufficiently small viscosity of the continuous phase, the viscous resistance force generated by the outer phase is dominant and is thus given by, based on Stokes flow,
F D = 3 η 2 ( u 1 + u 2 ) 2 R 1 S 12 = 3 π η 2 u 1 R 1 ( 1 + 1 A k 3 ) ( 2 L )
where A = ρ 2 / ρ 1 ,   in which ρ 1 and ρ 2 are the density of the inner phase and outer phase, respectively, and   η 2 is the dynamic viscosity of the outer phase. According to energy conservation, we have
0 L ( F R F D ) d L = 1 2 m 1 u 1 2 + 1 2 m 2 u 2 2
Therefore, the dewetting time could be calculated by
t = 0 L e q 1 u 1 + u 2 d L
where L e q is the value of   L in the equilibrium configuration of the double emulsion.
Solving Equations (13)–(17) yields the dewetting time. However, in the initial stage where L is small, the driving force is too small, which leads to an extremely long dewetting time that is not consistent with experimental results; thus, a dewetting boundary should be introduced here. It is better to define the dewetting boundary by experiment. According to Einstein’s theory, the average dimensionless displacement per unit time normalized by the radius of the inner phase, induced by Brownian motion, is on the order of O ( 10 3 ) for an emulsion with a diameter of 100 μm at 300 K in water. Hence, to get the solution of this problem, we define 0.5% of the diameter of the inner phase as the dewetting boundary, which means L = 0.01, so the dewetting time could be calculated by
t = 0.01 L e q 1 u 1 + u 2 d L
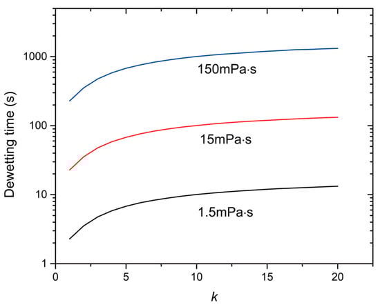
Figure 5 shows the dewetting time from the numerical calculation for the PPPMS/PFPMS/water system (R1 = 0.1 mm, ρ1 = 1.02 g/mL, η2 = 1.5/15/150 mPa·s, σ12 = 15.4 mN/m, A = 1.25, x = 0.916, y = 0.779). From Figure 5, we see that the dewetting time increases with the increase of volume ratio k and the viscosity of the outer phase. According to momentum conservation, with the increase of volume ratio k, a larger outer phase associates with a smaller relative velocity, and thus a longer dewetting time. Based on Equations (16) and (17), the dewetting time is determined by the balance of the driving force of interfacial tensions, and the viscous force. Assuming a constant driving force, a more viscous outer phase leads to a smaller velocity based on Equation (15). As such, the dewetting time becomes longer (qualitatively agrees with the results in the literature [8]). The orders of the dewetting time are, respectively, O(1 s), O(10 s) and O(100 s), while the orders of the viscosity of the outer phase are O(0.001 Pa·s), O(0.01 Pa·s) and O(0.1 Pa·s), respectively. On the other hand, if the viscosity of the continuous phase is so large, the momentum change of the continuous phase cannot be ignored and, thus, momentum conservation, Equation (13), is not satisfied. As a result, the momentum of the inner and outer phase becomes smaller, leading to a longer dewetting time.

5. Concluding Remarks

We analyze the dewetting process of a double emulsion analytically based on force analysis. The equilibrium configuration of double-emulsion droplets depends on a dimensionless interfacial tension determined by the three interfacial tensions in the system. The outer phase engulfs more inner phase when the volume ratio between the outer phase and inner phase is larger, but the engulfing part of the inner phase is almost constant at a sufficiently large volume ratio. By balancing the interfacial tensions and viscous force in the dewetting process, with an introduced dewetting boundary, the dewetting time of double-emulsion droplets can be calculated based on momentum and energy conservation with a sufficiently small viscosity of the continuous phase. A large volume ratio between the outer phase and inner phase leads to the increase of the dewetting time based on momentum conservation. Meanwhile, the larger the viscosity of the outer phase, the longer the dewetting time required. As the precise configuration and the dewetting time of double-emulsion droplets could be calculated, it is of great importance for the application of double emulsions such as in drug delivery and electronic displays.

Acknowledgments

The work is supported financially by the Research Grants Council of Hong Kong (GRF 17237316, 17211115, 17207914 and HKU717613E), the University Research Committee of The University of Hong Kong (URC 201511159108, 201411159074 and 201311159187), the Young Scholar’s Program (NSFC 11504238) from the National Natural Science Foundation of China, the Science and Technology Planning Project of Guangdong Province (2016A050503048). This work is also financially supported by Zhejiang Provincial, Hangzhou Municipal and Lin’an County Governments.

Author Contributions

All of the authors have provided substantial contributions to the conception and design of the model, interpretation of the results and writing of the article.

Conflicts of Interest

The authors declare no conflict of interest.

References

  1. Teh, S.Y.; Lin, R.; Hung, L.H.; Lee, A.P. Droplet microfluidics. Lab Chip 2008, 8, 198–220. [Google Scholar] [CrossRef] [PubMed]
  2. Chen, Y.H.; Wang, C.Y.; Li, Y.; Tong, Z. Synthesis of janus particles. Prog. Chem. 2009, 21, 615–621. [Google Scholar]
  3. Ziemecka, I.; van Steijn, V.; Koper, G.J.M.; Kreutzer, M.T.; van Esch, J.H. All-aqueous core-shell droplets produced in a microfluidic device. Soft Matter 2011, 7, 9878–9880. [Google Scholar] [CrossRef]
  4. Dowding, P.J.; Atkin, R.; Vincent, B.; Bouillot, P. Oil core/polymer shell microcapsules by internal phase separation from emulsion droplets. II: Controlling the release profile of active molecules. Langmuir 2005, 21, 5278–5284. [Google Scholar] [CrossRef] [PubMed]
  5. Dowding, P.J.; Atkin, R.; Vincent, B.; Bouillot, P. Oil core-polymer shell microcapsules prepared by internal phase separation from emulsion droplets. I. Characterization and release rates for microcapsules with polystyrene shells. Langmuir 2004, 20, 11374–11379. [Google Scholar] [CrossRef] [PubMed]
  6. Atkin, R.; Davies, P.; Hardy, J.; Vincent, B. Preparation of aqueous core/polymer shell microcapsules by internal phase separation. Macromolecules 2004, 37, 7979–7985. [Google Scholar] [CrossRef]
  7. Shah, R.K.; Kim, J.W.; Weitz, D.A. Janus supraparticles by induced phase separation of nanoparticles in droplets. Adv. Mater. 2009, 21, 1949–1953. [Google Scholar] [CrossRef]
  8. Kong, T.T.; Liu, Z.; Song, Y.; Wang, L.Q.; Shum, H.C. Engineering polymeric composite particles by emulsion-templating: Thermodynamics versus kinetics. Soft Matter 2013, 9, 9780–9784. [Google Scholar] [CrossRef]
  9. Torza, S.; Mason, S.G. Coalescence of two immiscible liquid drops. Science 1969, 163, 813–814. [Google Scholar] [CrossRef] [PubMed]
  10. Sundberg, D.C.; Casassa, A.P.; Pantazopoulos, J.; Muscato, M.R.; Kronberg, B.; Berg, J. Morphology development of polymeric microparticles in aqueous dispersions. I. Thermodynamic considerations. J. Appl. Polym. Sci. 1990, 41, 1425–1442. [Google Scholar] [CrossRef]
  11. Wang, H.; Chen, L.; Feng, Y.; Chen, H. Exploiting core-shell synergy for nanosynthesis and mechanistic investigation. Acc. Chem. Res. 2013, 46, 1636–1646. [Google Scholar] [CrossRef] [PubMed]
  12. Virgilio, N.; Favis, B.D. Self-assembly of janus composite droplets at the interface in quaternary immiscible polymer blends. Macromolecules 2011, 44, 5850–5856. [Google Scholar] [CrossRef]
  13. Loxley, A.; Vincent, B. Preparation of poly(methylmethacrylate) microcapsules with liquid cores. J Colloid Interface Sci. 1998, 208, 49–62. [Google Scholar] [CrossRef] [PubMed]
  14. Kwamena, N.O.; Buajarern, J.; Reid, J.P. Equilibrium morphology of mixed organic/inorganic/aqueous aerosol droplets: Investigating the effect of relative humidity and surfactants. J. Phys. Chem. A 2010, 114, 5787–5795. [Google Scholar] [CrossRef] [PubMed]
  15. Fryd, M.M.; Mason, T.G. Cerberus nanoemulsions produced by multidroplet flow-induced fusion. Langmuir 2013, 29, 15787–15793. [Google Scholar] [CrossRef] [PubMed]
  16. Dardelle, G.; Erni, P. Three-phase interactions and interfacial transport phenomena in coacervate/oil/water systems. Adv. Colloid Interface Sci. 2013, 206, 79–91. [Google Scholar] [CrossRef] [PubMed]
  17. Pisani, E.; Tsapis, N.; Paris, J.; Nicolas, V.; Cattel, L.; Fattal, E. Polymeric nano/microcapsules of liquid perfluorocarbons for ultrasonic imaging: Physical characterization. Langmuir 2006, 22, 4397–4402. [Google Scholar] [CrossRef] [PubMed]
  18. Guzowski, J.; Korczyk, P.M.; Jakiela, S.; Garstecki, P. The structure and stability of multiple micro-droplets. Soft Matter 2012, 8, 7269–7278. [Google Scholar] [CrossRef]
Figure 1. Morphologies of microdroplets: (a) Engulfing; (b) Partial-engulfing; (c) Non-engulfing.
Figure 1. Morphologies of microdroplets: (a) Engulfing; (b) Partial-engulfing; (c) Non-engulfing.
Micromachines 07 00196 g001
Figure 2. Schematic of the dewetting process of a double-emulsion droplet. Phases (1), (2) and (3) are inner, outer and continuous phases, respectively; σij is interfacial tension between phase i and j; R1 and R2 are the radii of inner and outer phases, respectively; r is the radius of a cycle formed by three-phase contact line; l is the length of phase (1) out of phase (2); h is the virtual height of phase (2) in phase (1).
Figure 2. Schematic of the dewetting process of a double-emulsion droplet. Phases (1), (2) and (3) are inner, outer and continuous phases, respectively; σij is interfacial tension between phase i and j; R1 and R2 are the radii of inner and outer phases, respectively; r is the radius of a cycle formed by three-phase contact line; l is the length of phase (1) out of phase (2); h is the virtual height of phase (2) in phase (1).
Micromachines 07 00196 g002
Figure 3. Variation of equilibrium position L (L = l/R1) with respect to radius ratio k (k = R21/R1).
Figure 3. Variation of equilibrium position L (L = l/R1) with respect to radius ratio k (k = R21/R1).
Micromachines 07 00196 g003
Figure 4. Variation of equilibrium position L (L = l/R1) with respect to dimensionless interfacial tension Σ (Σ = (σ12 − σ13)/σ23).
Figure 4. Variation of equilibrium position L (L = l/R1) with respect to dimensionless interfacial tension Σ (Σ = (σ12 − σ13)/σ23).
Micromachines 07 00196 g004
Figure 5. Dewetting time of double emulsion for the poly(2-phenylpropylme-thylsiloxane)/poly(3,3,3-trifluoropropylmethylsiloxane)/water (PPPMS/PFPMS/water) system under different viscosities of the outer phase.
Figure 5. Dewetting time of double emulsion for the poly(2-phenylpropylme-thylsiloxane)/poly(3,3,3-trifluoropropylmethylsiloxane)/water (PPPMS/PFPMS/water) system under different viscosities of the outer phase.
Micromachines 07 00196 g005
Table 1. Interfacial tension (mN/m). PPPMS: poly(2-phenylpropylme-thylsiloxane); POMS: poly(octylmethylsiloxane); PFPMS: poly(3,3,3-trifluoropropylmethylsiloxane).
Table 1. Interfacial tension (mN/m). PPPMS: poly(2-phenylpropylme-thylsiloxane); POMS: poly(octylmethylsiloxane); PFPMS: poly(3,3,3-trifluoropropylmethylsiloxane).
NO.Phase (1)Phase (2)Phase (3) σ 12 σ 13 σ 23 Σx ( σ 13 σ 12 )y( σ 23 σ 12 )
1PFPMSwaterPOMS122112.7−0.70871.7501.058
2POMSwaterPFPMS12.72112−0.69171.6540.945
3PFPMSwaterPPPMS1215.414.1−0.24111.2831.175
4waterPFPMSPPPMS1214.115.4−0.13641.1751.283
5PPPMSwaterPFPMS14.115.412−0.10831.0920.851
6waterPFPMSPOMS1212.721−0.03331.0581.750
7waterPOMSPFPMS12.712210.03330.9451.654
8PPPMSPFPMSwater15.414.1120.10830.9160.779
9waterPPPMSPFPMS14.11215.40.13640.8511.092
10PFPMSPPPMSwater15.41214.10.24110.7790.916
11POMSPFPMSwater2112.7120.69170.6050.571
12PFPMSPOMSwater211212.70.70870.5710.605

Share and Cite

MDPI and ACS Style

Kang, Z.; Zhu, P.; Kong, T.; Wang, L. A Dewetting Model for Double-Emulsion Droplets. Micromachines 2016, 7, 196. https://doi.org/10.3390/mi7110196

AMA Style

Kang Z, Zhu P, Kong T, Wang L. A Dewetting Model for Double-Emulsion Droplets. Micromachines. 2016; 7(11):196. https://doi.org/10.3390/mi7110196

Chicago/Turabian Style

Kang, Zhanxiao, Pingan Zhu, Tiantian Kong, and Liqiu Wang. 2016. "A Dewetting Model for Double-Emulsion Droplets" Micromachines 7, no. 11: 196. https://doi.org/10.3390/mi7110196

APA Style

Kang, Z., Zhu, P., Kong, T., & Wang, L. (2016). A Dewetting Model for Double-Emulsion Droplets. Micromachines, 7(11), 196. https://doi.org/10.3390/mi7110196

Note that from the first issue of 2016, this journal uses article numbers instead of page numbers. See further details here.

Article Metrics

Back to TopTop