Numerical and Experimental Investigation of Mixing Enhancement in a Zigzag Passive Micromixer with D-Shaped Obstacles
Abstract
1. Introduction
2. Micromixer Geometry Model
Physical Model
3. Research Methods
3.1. Numerical Simulation Methods and Theoretical Formulas
3.2. Mesh Independence Verification
3.3. Chip Fabrication and Experiment Apparatus
4. Results and Discussion
4.1. Effects of Channel Type on Mixer Performance
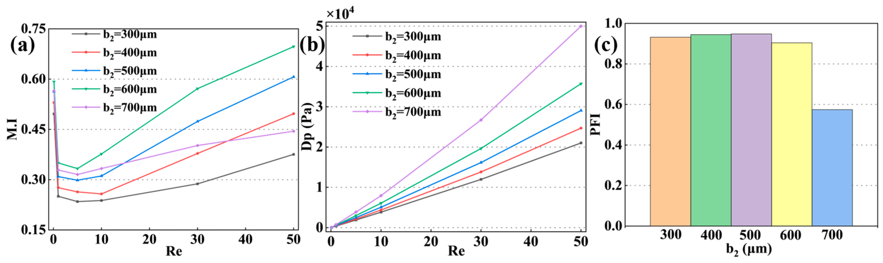
4.2. Effect of the Obstacle Dimension b2 on Mixing Performance
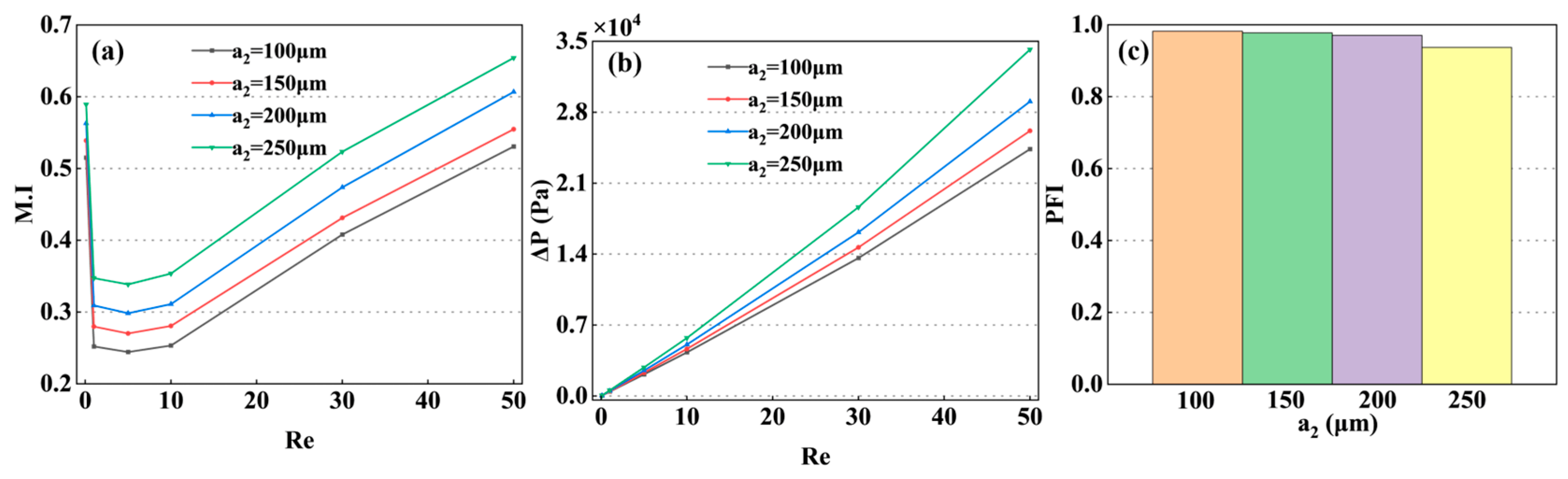
4.3. Effect of the Obstacle Dimension a2 on Mixing Performance
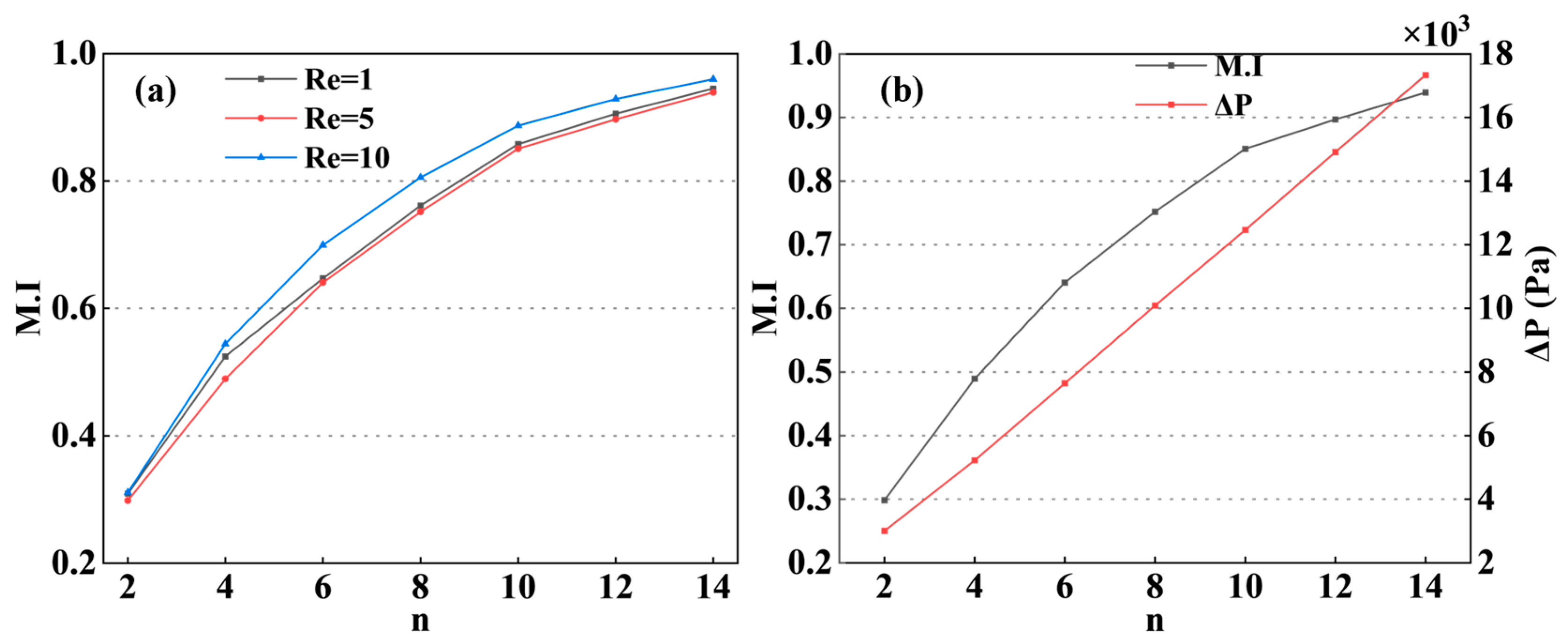
4.4. Effect of the Number of Cycles on Mixing Performance
4.5. Mechanistic Interpretation and Parametric Sensitivity Analysis
4.6. Experimental Verification
5. Conclusions
Supplementary Materials
Author Contributions
Funding
Data Availability Statement
Conflicts of Interest
References
- Belder, D.; Svensson, K.; Weise, C.; Westphal, H.; Simon, S.; Hjort, K. Chemical Coupling Microchip Pressure Regulators with ChipHPLC as a Step toward Fully Portable Analysis System. Sens. Actuators B Chem. 2023, 385, 133732. [Google Scholar] [CrossRef]
- Nouwairi, R.L.; Connell, K.C.O.; Gunnoe, L.M.; Landers, J.P. Microchip Electrophoresis for Fluorescence-Based Measurement of Polynucleic Acids: Recent Developments. Anal. Chem. 2021, 93, 367–387. [Google Scholar] [CrossRef]
- Yuan, S. Indirect Detection of Lead(II), Cadmium(II) and Mercury(II) on a Microfluidic Electrophoresis Chip. Anal. Methods 2024, 16, 6736–6745. [Google Scholar] [CrossRef]
- Na, G.; Joo, J.; Young, J.; Yun, Y.; Kwon, B.; Yang, J.; Kim, K.; Kim, D. Full-Cycle Study on Developing a Novel Structured Micromixer and Evaluating the Nanoparticle Products as MRNA Delivery Carriers. J. Control. Release 2024, 373, 161–171. [Google Scholar] [CrossRef] [PubMed]
- Liu, C.; Li, Y.; Liu, B.; Key, T.; Photonics, B.; Bioinformatics, H.; Imaging, M. Micromixers and Their Applications in Kinetic Analysis of Biochemical Reactions. Talanta 2019, 205, 120136. [Google Scholar] [CrossRef]
- Yuan, S.; Zhou, M.; Peng, T.; Li, Q.; Jiang, F. An Investigation of Chaotic Mixing Behavior in a Planar Microfluidic Mixer. Phys. Fluids 2022, 34, 032007. [Google Scholar] [CrossRef]
- Lok, K.S.; Kwok, C.; Nguyen, N. Passive Micromixer for Luminol-Peroxide Chemiluminescence Detection. Analyst 2011, 136, 2586–2591. [Google Scholar] [CrossRef][Green Version]
- Baki, A.; Löwa, N.; Remmo, A.; Wiekhorst, F.; Bleul, R. Micromixer Synthesis Platform for a Tuneable Production of Magnetic Single-Core Iron Oxide Nanoparticles. Nanomaterials 2020, 10, 1845. [Google Scholar] [CrossRef] [PubMed]
- Yuan, S.; Jiang, B.; Jiang, F.; Drummer, D.; Zhou, M. Numerical and Experimental Investigation of Mixing Enhancement in the Passive Planar Mixer with Bent Baffles. Int. J. Heat. Mass. Transf. 2022, 191, 122815. [Google Scholar] [CrossRef]
- Zhao, K.; Feng, Q.; Yao, J.; Yang, B.; Wang, J. An Asymmetric Orifice-Based Active Micromixer in the Microfluidic Chip with 3D Microelectrode. Chaos Solitons Fractals 2024, 183, 114973. [Google Scholar] [CrossRef]
- Zhao, X.; Chen, H.; Xiao, Y.; Zhang, J.; Watanabe, S.; Hao, N. Sharp-Edge–Driven Spiral Acoustic Micromixers for Functional Nanoarray Engineering. Mater. Today Nano 2023, 22, 100338. [Google Scholar] [CrossRef]
- Dehghan, A.; Gholizadeh, A.; Navidbakhsh, M.; Sadeghi, H.; Pishbin, E. Integrated Microfluidic System for Efficient DNA Extraction Using On-Disk Magnetic Stirrer Micromixer. Sens. Actuators B Chem. 2022, 351, 130919. [Google Scholar] [CrossRef]
- Wang, H.; Yuan, B.; Yuan, S. Influence of Array-Type Surface-Induced Charges on Micromixing in Pressure-Driven Micromixers. Ind. Eng. Chem. Res. 2025, 64, 23700–23722. [Google Scholar] [CrossRef]
- Yuan, S.; Yuan, B.; Wang, Y.; Deng, J. Evolution of Electrokinetic Vortices in Transitioning Microchannels: From 2D Confinement to 3D Chaotic Mixing. Chaos Solitons Fractals 2026, 205, 117844. [Google Scholar] [CrossRef]
- Yang, L.; Xu, F.; Chen, G. Effective Mixing in a Passive Oscillating Micromixer with Impinging Jets. Chem. Eng. J. 2024, 489, 151329. [Google Scholar] [CrossRef]
- Soltani, D.; Persoons, T.; Alimohammadi, S. Micromixing Strategies for Efficient Mixing Processes: A Comprehensive Review. J. Micromech. Microeng. 2024, 34, 113001. [Google Scholar] [CrossRef]
- Wang, L.; Liu, D.; Wang, X.; Han, X. Mixing Enhancement of Novel Passive Microfluidic Mixers with Cylindrical Grooves. Chem. Eng. Sci. 2012, 81, 157–163. [Google Scholar] [CrossRef]
- Zhu, P.; Wang, L. Passive and Active Droplet Generation with Microfluidics: A Review. Lab Chip 2017, 17, 34–75. [Google Scholar] [CrossRef] [PubMed]
- Agnihotri, S.N.; Raveshi, M.R.; Nosrati, R.; Bhardwaj, R.; Neild, A. Droplet Splitting in Microfluidics: A Review. Phys. Fluids 2025, 37, 051304. [Google Scholar] [CrossRef]
- Wang, L.; Ma, S.; Wang, X.; Bi, H.; Han, X. Mixing Enhancement of a Passive Microfluidic Mixer Containing Triangle Baffles. Asia-Pac. J. Chem. Eng. 2014, 9, 877–885. [Google Scholar] [CrossRef]
- Wang, L.; Ma, S.; Han, X. Micromixing Enhancement in a Novel Passive Mixer with Symmetrical Cylindrical Grooves. Asia-Pac. J. Chem. Eng. 2015, 10, 201–209. [Google Scholar] [CrossRef]
- Peng, T.; Liang, J.; Zhang, X.; Chen, L.; Chen, Y.; Qiang, J.; Yuan, S. Investigation of Geometric Modifications in T-Type Micromixers for Enhanced Microfluidic Mixing and ZIF-8 Synthesis. Results Eng. 2025, 26, 105233. [Google Scholar] [CrossRef]
- Hossain, S.; Lee, I.; Kim, S.M.; Kim, K.Y. A Micromixer with Two-Layer Serpentine Crossing Channels Having Excellent Mixing Performance at Low Reynolds Numbers. Chem. Eng. J. 2017, 327, 268–277. [Google Scholar] [CrossRef]
- Wang, X.; Liu, Z.; Wang, B.; Cai, Y.; Wan, Y. International Journal of Heat and Mass Transfer Vortices Degradation and Periodical Variation in Spiral Micromixers with Various Spiral Structures. Int. J. Heat. Mass. Transf. 2022, 183, 122168. [Google Scholar] [CrossRef]
- Wang, X.; Liu, Z.; Cai, Y.; Wang, B.; Luo, X. A Cost-Effective Serpentine Micromixer Utilizing Ellipse Curve. Anal. Chim. Acta 2021, 1155, 338355. [Google Scholar] [CrossRef]
- Elmas, S.; Pospisilova, A.; Sekulska, A.A.; Vasilev, V.; Nann, T.; Thornton, S.; Priest, C. Photometric Sensing of Active Chlorine, Total Chlorine, Pool Monitoring. Sensors 2020, 20, 3099. [Google Scholar] [CrossRef] [PubMed]
- Hossain, S.; Kim, K.-Y. Mixing Performance of a Serpentine Micromixer with. Micromachines 2015, 6, 842–854. [Google Scholar] [CrossRef]
- Javaid, M.U.; Cheema, T.A.; Park, C.W. Analysis of Passive Mixing in a Serpentine Microchannel with Sinusoidal Side Walls. Micromachines 2018, 9, 8. [Google Scholar] [CrossRef] [PubMed]
- Chen, X.; Li, T. A Novel Passive Micromixer Designed by Applying an Optimization Algorithm to the Zigzag Microchannel. Chem. Eng. J. 2017, 313, 1406–1414. [Google Scholar] [CrossRef]
- Mondal, B.; Kumar, P.; Sukumar, P. Numerical and Experimental Investigations of Mixing Length in Square Wave Serpentine Micromixer with Obstacles. Microsyst. Technol. 2024, 30, 365–375. [Google Scholar] [CrossRef]
- Mirkarimi, S.M.H.; Hosseini, M.J.; Pahamli, Y. Numerical Investigation of a Curved Micromixer Using Different Arrangements of Cylindrical Obstacles. Alex. Eng. J. 2023, 79, 135–154. [Google Scholar] [CrossRef]
- Tan, Z.; Shi, H.; Zheng, Y.; Cao, Y. A 3D Homogeneous Microreactor with High Mixing Intensity at Wide Re Range for MOF Preparation and POCT Application. Chem. Eng. J. 2023, 476, 146481. [Google Scholar] [CrossRef]
- Yuan, S.; Jiang, B.; Peng, T.; Zhou, M.; Drummer, D. Intensification Investigation of Efficient Mixing Enhancement in Planar Micromixers with Short Mixing Length. Chem. Eng. Process.-Process Intensif. 2022, 171, 108747. [Google Scholar] [CrossRef]
- Bayareh, M.; Ashani, M.N.; Usefian, A. Active and Passive Micromixers: A Comprehensive Review. Chem. Eng. Process.-Process Intensif. 2020, 147, 107771. [Google Scholar] [CrossRef]
- Peng, T.; Lin, X.; Yuan, S.; Zhou, M.; Jiang, B.; Jia, Y. International Journal of Heat and Mass Transfer Mixing Enhancement in a Straight Microchannel with Ultrasonically Activated Attached Bubbles. Int. J. Heat. Mass. Transf. 2023, 217, 124635. [Google Scholar] [CrossRef]
- Yuan, S.; Liu, X.; Peng, T.; Deng, J. Micromixing of Pressure Driven Flow and Surface Induced Charge Coupling in a Serpentine Microchannel: A Numerical Study. Colloids Surf. A Physicochem. Eng. Asp. 2025, 708, 135969. [Google Scholar] [CrossRef]
- Yuan, S.; Zhou, M.; Liu, X.; Li, Q.; Drummer, D.; Jiang, B. Investigation of Parameters and Porous Plug Enhanced Enrichment with Field-Amplified Sample Stacking in Microchip. Phys. Fluids 2023, 35, 012017. [Google Scholar] [CrossRef]
- Kundacina, I.; Kundacina, O.; Miskovic, D.; Radonic, V. Advancing Microfluidic Design with Machine Learning: A Bayesian Optimization Approach. Lab Chip 2025, 25, 657–672. [Google Scholar] [CrossRef]
- McIntyre, D.; Lashkaripour, A.; Fordyce, P.; Densmore, D. Machine Learning for Microfluidic Design and Control. Lab Chip 2022, 22, 2925–2937. [Google Scholar] [CrossRef]
- Sarkhosh, M.H.; Edrisnia, H.; Raveshi, M.R.; Sharbatdar, M. Prediction of Time Averaged Wall Shear Stress Distribution in Coronary Arteries’ Bifurcation Varying in Morphological Features via Deep Learning. Front. Physiol. 2025, 16, 1518732. [Google Scholar] [CrossRef]













| Parameter | (kg/m3) | T (K) | μ (Pa·s) | D (m2/s) |
|---|---|---|---|---|
| Description | Density | Temperature | Viscosity | Diffusion coefficient |
| Values | 1000 | 300 | 1 × 10−3 | 1 × 10−9 |
| Mesh Scheme | Maximum Mesh Size [μm] | Minimum Mesh Size [μm] | ΔP [Pa] | M.I | ||
|---|---|---|---|---|---|---|
| 1 | 17 | 1.01 | 2521 | - | 0.334 | - |
| 2 | 15.2 | 0.98 | 2518 | <0.1% | 0.319 | 4.5% |
| 3 | 13.1 | 0.85 | 2515 | <0.1% | 0.299 | 6.3% |
| 4 | 10 | 0.65 | 2512 | <0.1% | 0.264 | 11.7% |
| 5 | 9 | 0.58 | 2511 | <0.1% | 0.252 | 2.44% |
Disclaimer/Publisher’s Note: The statements, opinions and data contained in all publications are solely those of the individual author(s) and contributor(s) and not of MDPI and/or the editor(s). MDPI and/or the editor(s) disclaim responsibility for any injury to people or property resulting from any ideas, methods, instructions or products referred to in the content. |
© 2026 by the authors. Licensee MDPI, Basel, Switzerland. This article is an open access article distributed under the terms and conditions of the Creative Commons Attribution (CC BY) license.
Share and Cite
Yuan, B.; Yuan, S.; Wang, H. Numerical and Experimental Investigation of Mixing Enhancement in a Zigzag Passive Micromixer with D-Shaped Obstacles. Micromachines 2026, 17, 190. https://doi.org/10.3390/mi17020190
Yuan B, Yuan S, Wang H. Numerical and Experimental Investigation of Mixing Enhancement in a Zigzag Passive Micromixer with D-Shaped Obstacles. Micromachines. 2026; 17(2):190. https://doi.org/10.3390/mi17020190
Chicago/Turabian StyleYuan, Bingyang, Shuai Yuan, and Hao Wang. 2026. "Numerical and Experimental Investigation of Mixing Enhancement in a Zigzag Passive Micromixer with D-Shaped Obstacles" Micromachines 17, no. 2: 190. https://doi.org/10.3390/mi17020190
APA StyleYuan, B., Yuan, S., & Wang, H. (2026). Numerical and Experimental Investigation of Mixing Enhancement in a Zigzag Passive Micromixer with D-Shaped Obstacles. Micromachines, 17(2), 190. https://doi.org/10.3390/mi17020190

