An Enhanced Circularly Polarized Textile Antenna Using a Metasurface and Slot-Patterned Ground for Off-Body Communications
Abstract
1. Introduction
2. Antenna Design
2.1. Antenna Structure
2.2. Working Mechanism
2.2.1. Metasurface
2.2.2. Slot-Patterned Ground
2.3. Bending Evaluation
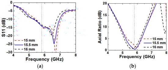
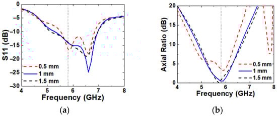
2.4. Parametric Study
2.5. SAR Simulation
3. Measurement Results and Discussion
4. Conclusions
Author Contributions
Funding
Data Availability Statement
Conflicts of Interest
References
- Portela Táboas, M.; Vera-Isasa, M.; García Sánchez, M. Self-interference suppression improvement by employing circular polarized antennas. Measurement 2017, 110, 53–59. [Google Scholar]
- Chen, J.; Tong, K.-F.; Al-Armaghany, A.; Wang, J. A dual-band dual-polarization slot patch antenna for GPS and Wi-Fi applications. IEEE Antennas Wirel. Propag. Lett. 2016, 15, 406–409. [Google Scholar]
- Deshmukh, A.A.; Kadam, P.; Zaveri, P. On the design of circularly polarized U-slot cut square microstrip antenna. In Proceedings of the 2nd International Conference on Communication Systems, Computing and IT Applications, Mumbai, India, 7–8 April 2017; pp. 275–280. [Google Scholar]
- Saini, R.K.; Dwari, S. A broadband dual circularly polarized square slot antenna. IEEE Trans. Antennas Propag. 2016, 64, 290–294. [Google Scholar]
- Feng, G.; Chen, L.; Xue, X.; Shi, X. Broadband circularly polarized crossed-dipole antenna with a single asymmetrical cross-loop. IEEE Antennas Wirel. Propag. Lett. 2017, 16, 3184–3187. [Google Scholar]
- Feng, Y.; Li, J.; Cao, B.; Liu, J.; Yang, G.; Wei, D. Cavity-backed broadband circularly polarized cross-dipole antenna. IEEE Antennas Wirel. Propag. Lett. 2019, 18, 2681–2685. [Google Scholar]
- Nguyen, T.K.; Tran, H.H.; Nguyen-Trong, N. A wideband dual-cavity-backed circularly polarized crossed dipole antenna. IEEE Antennas Wirel. Propag. Lett. 2017, 16, 3135–3138. [Google Scholar]
- Yang, W.-J.; Pan, Y.-M.; Zheng, S.-Y. A compact broadband circularly polarized crossed-dipole antenna with a very low profile. IEEE Antennas Wirel. Propag. Lett. 2019, 18, 2130–2134. [Google Scholar]
- Zhong, J.; Kiourti, A.; Sebastian, T.; Bayram, Y.; Volakis, J.L. Conformal load-bearing spiral antenna on conductive textile threads. IEEE Antennas Wirel. Propag. Lett. 2016, 16, 230–233. [Google Scholar]
- Le, T.T.; Tran, H.H.; Althuwayb, A.A. Wideband circularly polarized antenna based on a non-uniform metasurface. Appl. Sci. 2020, 10, 8652. [Google Scholar]
- Ta, S.X.; Park, I. Metasurface-based circularly polarized patch array antenna using sequential phase feed. In Proceedings of the International Workshop on Antenna Technology: Small Antennas, Innovative Structures, and Applications, Athens, Greece, 1–3 March 2017; pp. 24–25. [Google Scholar]
- Ta, S.X.; Park, I. Low-profile broadband circularly polarized patch antenna using metasurface. IEEE Trans. Antennas Propag. 2015, 63, 5929–5934. [Google Scholar]
- Zhu, H.L.; Cheung, S.W.; Chung, K.L.; Yuk, T.I. Linear-to-circular polarization conversion using metasurface. IEEE Trans. Antennas Propag. 2013, 61, 4615–4623. [Google Scholar]
- Zhu, H.L.; Cheung, S.W.; Liu, X.H.; Yuk, T.I. Design of polarization reconfigurable antenna using metasurface. IEEE Trans. Antennas Propag. 2014, 62, 2891–2898. [Google Scholar]
- Kumar, R.; Kushwaha, N. On the design of linear to circular polarization converter based on FSS. In Proceedings of the International Conference on Electrical and Electronics Engineering, Gorakhpur, India, 14–15 February 2020; pp. 101–104. [Google Scholar]
- Wu, R.; Dong, J.; Wang, M. Wearable polarization conversion metasurface MIMO antenna for biomedical applications in 5 GHz WBAN. Biosensors 2023, 13, 73. [Google Scholar] [CrossRef]
- Sahu, N.K.; Mishra, S.K. Polarization-converting metasurface inspired dual-band dual-circularly polarized monopole antennas for off-body communications. IEEE Antennas Wirel. Propag. Lett. 2023, 22, 194–198. [Google Scholar]
- Lu, Y.; Wu, J.; Jin, Y.; Wang, X. A compact multiband antenna with slot-patterned ground for miniaturized wideband operation. IEEE Access 2020, 8, 135672–135681. [Google Scholar]
- Zheng, J.; Zhang, S.; Ying, Z. A compact omnidirectional antenna based on slotted patch and defected ground plane. IEEE Antennas Wireless. Propag. Lett. 2017, 16, 1413–1416. [Google Scholar]
- Gao, S.; Wang, Y.; Xu, H.; Chen, Z.N. Polarization reconfigurable antenna with slotted ground and PIN diodes. IEEE Trans. Antennas Propag. 2019, 67, 5382–5390. [Google Scholar]
- Nguyen-Trong, N.; Pi, Y.; Hall, P.S. A low-profile wideband circularly polarized antenna with asymmetrical ground slots. IEEE Trans. Antennas Propag. 2016, 64, 4914–4920. [Google Scholar]
- Xu, H.; Wu, Q.; Yin, Y.Z.; Fan, Y. Compact circularly polarized ring antenna with parasitic loading for satellite applications. IEEE Antennas Wirel. Propag. Lett. 2018, 17, 445–448. [Google Scholar]
- Jain, S.; Chakraborty, S.; Pal, D.; Chattopadhyay, S. X band DGS integrated rectangular microstrip antenna over flexible substrate. In Proceedings of the 2023 IEEE Microwaves, Antennas, and Propagation Conference (MAPCON), Ahmedabad, India, 11–14 December 2023; pp. 1–4. [Google Scholar]
- Abutarboush, H.F.; Li, W.; Shamim, A. flexible-screen-printed antenna with enhanced bandwidth by employing defected ground structure. IEEE Antennas Wirel. Propag. Lett. 2020, 19, 1803–1807. [Google Scholar]
- Sayem, A.S.M.; Simorangkir, R.B.V.B.; Esselle, K.P.; Lalbakhsh, A.; Gawade, D.R.; O’Flynn, B.; Buckley, J.L. Flexible and transparent circularly polarized patch antenna for reliable unobtrusive wearable wireless communications. Sensors 2022, 22, 1276. [Google Scholar] [CrossRef] [PubMed]
- Remski, R. Analysis of PBG surface using Ansoft HFSS. Microw. J. 2000, 43, 190–198. [Google Scholar]
- Le, T.T.; Kim, Y.-D.; Yun, T.-Y. All-textile enhanced-bandwidth polarization-conversion antenna using a nonuniform metasurface. IEEE Antennas Wirel. Propag. Lett. 2023, 22, 2432–2436. [Google Scholar]
- Le, T.T.; Kim, Y.-D.; Yun, T.-Y. A triple-band dual-open-ring high-gain high-efficiency antenna for wearable applications. IEEE Access 2021, 9, 118435–118442. [Google Scholar]
- Chaouche, Y.B.; Nedil, M.; Mabrouk, I.B.; Ramahi, O.M. A wearable circularly polarized antenna backed by AMC reflector for WBAN communications. IEEE Access 2022, 10, 12838–12852. [Google Scholar]
- Joshi, R.; Hussin, E.F.N.M.; Soh, P.J.; Jamlos, M.F.; Lago, H.; Al-Hadi, A.A.; Podilchak, S.K. Dual-band, dual-sense textile antenna with AMC backing for localization using GPS and WBAN/WLAN. IEEE Access 2020, 8, 89468–89478. [Google Scholar]
- Jiang, Z.H.; Cui, Z.; Yue, T.; Zhu, Y.; Werner, D.H. Compact, highly efficient, and fully flexible circularly polarized antenna enabled by silver nanowires for wireless body-area networks. IEEE Trans. Biomed. Circuits Syst. 2017, 11, 920–932. [Google Scholar]
- Hu, X.; Yan, S.; Vandenbosch, G.A.E. Compact circularly polarized wearable button antenna with broadside pattern for U-NII worldwide band applications. IEEE Trans. Antennas Propag. 2019, 67, 1341–1345. [Google Scholar]




















| Ref. | [28] | [29] | [30] | [31] | [32] | This Work |
|---|---|---|---|---|---|---|
| IBW (%) | 18.3 | 11.44 | 7.6 | 15.9 | 14 | 36.3 |
| ARBW (%) | 18.3 | 18.18 | 10.3 | 2.72 | 7 | 18 |
| Eff. (%) | 90 | 94.69 | 83 | 79 | 70.8 | 64.7 |
| Gain (dBic) | 6.2 | 7.6 | 1.98 | 5.2 | 3.5 | 6.39 |
| SAR (W/kg) * | 0.29 | 0.02 | N.A | 0.18 | N.A | 0.44 |
| Flexibility | Semi | Semi | Full | Full | Semi | Full |
| Bending ** | x-/y- | x- | x-/y- | y- | NA | x-/y-/x = y/x = −y |
| 0.5 × 0.5 × 0.06 | 0.62 × 0.62 × 0.007 | 0.7 × 0.7 × 0.04 | 0.4 × 0.4 × 0.04 | 1.8 × 1.8 × 0.22 | 0.56 × 0.56 × 0.09 |
Disclaimer/Publisher’s Note: The statements, opinions and data contained in all publications are solely those of the individual author(s) and contributor(s) and not of MDPI and/or the editor(s). MDPI and/or the editor(s) disclaim responsibility for any injury to people or property resulting from any ideas, methods, instructions or products referred to in the content. |
© 2025 by the authors. Licensee MDPI, Basel, Switzerland. This article is an open access article distributed under the terms and conditions of the Creative Commons Attribution (CC BY) license (https://creativecommons.org/licenses/by/4.0/).
Share and Cite
Kim, Y.-D.; Le, T.T.; Yun, T.-Y. An Enhanced Circularly Polarized Textile Antenna Using a Metasurface and Slot-Patterned Ground for Off-Body Communications. Micromachines 2025, 16, 799. https://doi.org/10.3390/mi16070799
Kim Y-D, Le TT, Yun T-Y. An Enhanced Circularly Polarized Textile Antenna Using a Metasurface and Slot-Patterned Ground for Off-Body Communications. Micromachines. 2025; 16(7):799. https://doi.org/10.3390/mi16070799
Chicago/Turabian StyleKim, Yong-Deok, Tu Tuan Le, and Tae-Yeoul Yun. 2025. "An Enhanced Circularly Polarized Textile Antenna Using a Metasurface and Slot-Patterned Ground for Off-Body Communications" Micromachines 16, no. 7: 799. https://doi.org/10.3390/mi16070799
APA StyleKim, Y.-D., Le, T. T., & Yun, T.-Y. (2025). An Enhanced Circularly Polarized Textile Antenna Using a Metasurface and Slot-Patterned Ground for Off-Body Communications. Micromachines, 16(7), 799. https://doi.org/10.3390/mi16070799

