Abstract
As the most common energy source of spacecraft, photovoltaic (PV) power generation has become one of the hottest research fields. During the on-orbit operation of spacecraft, the influence of various uncertain factors and the unbalanced inertial force will make the solar PV wing vibrate and degrade its performance. In this study, we investigated the influence of mechanical vibration on the output characteristics of PV array systems. Specifically, we focused on a three-segment solar panel commonly found on satellites, analyzing both its dynamic response and electrical output characteristics under mechanical vibration using numerical simulation software. The correctness of the simulation model was partly confirmed by experiments. The results showed that the maximum output power of the selected solar panel was reduced by 5.53% and its fill factor exhibited a decline from the original value of 0.8031 to 0.7587, provided that the external load applied on the panel increased to 10 N/m2, i.e., the vibration frequency and the maximal deflection angle were 0.3754 Hz and 74.9871°, respectively. These findings highlight a significant decrease in the overall energy conversion efficiency of the solar panel when operating under vibration conditions.
1. Introduction
As one of the most significant parts of renewable energy, solar energy has become a hotspot for research worldwide in recent years due to its sustainability and universality. Photovoltaic (PV) systems, which convert the light energy of the sun into electrical energy, represent the most common application of solar power [1]. For example, large-scale solar power plants and rooftop solar panels are now a common sight. And solar power-generation systems are increasingly being mounted on various types of mobile carriers, including cars, satellites, ships, and drones. Additionally, the new concept of floating PV systems on water surfaces is gaining visibility among the public.
Normally, researchers think that the efficiency of photovoltaic power generation is mainly affected by solar radiation and temperature [2,3,4]. For this reason, Cuce et al. [5] experimentally demonstrated that the photogenerated output current, short-circuit current, and other parameters of solar arrays are directly proportional to the light intensity, and the equivalent light intensity is related to the equivalent area of the array perpendicular to the direction of the light. Localized shadows often appear in PV arrays due to interference from the projected coverings of houses, plants, localized dark clouds, surface dust, etc. In this case, the PV system has multiple local maximum power points (MPPs), i.e., its power–voltage (P-V) curve exhibits a multi-peak characteristic [6,7,8]. Abdulmawjood et al. [9] analyzed the impact of different shading patterns on the P-V characteristics through performing a set of simulations with different array configurations. It was found through experiments that the power dropped significantly when the shading increased. Under localized shadows, PV arrays also produce hotspot effects, resulting in multi-peak-output P-V curves, at which time the conventional maximum power point tracking (MPPT) is prone to local extreme points and failure [10]. In addition, as the main factor affecting the performance of photovoltaic power generation, solar radiation’s own randomness and cyclical changes will make the power of photovoltaic power generation intermittent and fluctuating [11,12].
In consideration of the application environment of PV systems, it is easy to find that mechanical vibration always exists and may also have an influence. However, there has not been a lot of public interest in this. Although not particularly emphasized in engineering, some scholars have conducted research in response to such questions. Domestic large-scale photovoltaic power plants are mainly distributed in the northwest and other light-rich regions of China, where the windy climate also brings a negative impact on the efficient operation of photovoltaic power-generation systems. With the help of experiments, scholars have demonstrated that wind-induced vibration leads to oscillations of output current [13,14], and they have inferred that, in the low-frequency range, vibration-induced current transients and oscillations in the output of PV modules are the main sources of distortion. Vibrations from the carrier motion itself or from the carrier engine operation can also cause the oscillation of the PV module mounted on the carrier surface. Studies by Zhang [15] investigated PV components on a train, proving that the carrier vibration will lead to changes in the output characteristics, which will in turn lead to the failure of the original MPPT control. Vidović et al. [16] focused on ocean floating solar power-generation devices, and combined a static solar radiation energy calculation model with the dynamic swing of the float angle to determine that the radiation energy received by the float and photovoltaic cells under the influence of waves was 87.5% of the solar radiation energy received by photovoltaic cells fixedly installed at the optimal receiving angle under the same conditions.
Although mechanical vibration energy can be collected and converted into electrical energy [17,18], the power-generation reduction in PV systems does exist and strongly complicates the MPPT algorithm under vibration conditions. Moreover, as the sole power source for most satellites, solar arrays are usually large outreach structures, and their size is increasing due to their growing number of tasks and power requirements [19]. During on-orbit operation, the influence of various uncertain factors in the space environment and the unbalanced inertial force can easily cause solar arrays to vibrate and degrade their performance [20]. Therefore, to gain a deeper understanding of the impact of mechanical vibration on the output characteristics of PV systems and to meet the engineering application needs, this study takes a classical three-segment satellite solar panel as the research object and mainly calculates its dynamic response and electrical performance under mechanical vibration, and the effects are systematically discussed. This study provides new insights for future research on structural vibration suppression and the MPPT algorithm in satellite solar panels, and the research process is also applicable to the analysis of ground-based PV systems subject to vibration, especially in times of dramatic climate change.
2. Structural Dynamics and Photovoltaic Power Model of a Typical Solar Panel
2.1. Structural Dynamics Model of a Typical Solar Panel
A satellite solar panel is a large-span, highly flexible, external extension structural system, but the individual rectangular panels that constitute its basic units can be well described using a linear model [21]. Therefore, in this paper, the three-segment solar panel is represented by a typical model of three elastic rectangular thin plates connected with micro-torsion springs. As shown in Figure 1, Plate-1 was fixedly attached to the spacecraft body and connected to Plate-2 by two torsion springs k1 and k2, and Plate-2 was connected to Plate-3 by torsion springs k3 and k4. In the figure, a and b represent the side lengths of a single rectangular plate in the x and y directions, respectively, while y1 and y2 represent the connection positions of torsion springs k1, k3 and k2, k4 in the y direction, respectively. The follow-up studies were based on the above model with the following assumptions [21,22]:
Figure 1.
The schematic solar panel structure with three sub-plates.
- The solar array consisted of three rectangular plates connected by torsion springs, and the substructures, such as rectangular plates and springs, can be described by a linear model. This means that the deformation of the plates and the torsion springs was within the linear elasticity range, and the geometric and material nonlinearity of the structure’s deformation was not considered.
- The rigid-body motion of the spacecraft flight was fixed, and only the elastic vibration of the panel is discussed. The first plate was fixed to the spacecraft body, and the reference coordinate system is shown in Figure 1.
- The two plates were connected by two torsion springs, which had rotational freedom only around the y-axis. The torsion springs and joints were small, and their structures ensured the effective transmission of torque, shear force, and axial force.
- The panel formed a stable system when it was completely unfolded, meaning that the rectangular plates and the connecting torsion springs were well fixed.
- The geometry and mass of the torsion spring joints were neglected. The axial and shear deformation of the torsion springs was not considered; only the change in the torsion angle was considered.
- The longitudinal stiffness of the solar panel was very large, and the waving vibration was negligible.
2.1.1. Deflection Model of the Solar Panel
The key to determining the dynamic response of the structure is to determine the form of deflection and the deflection value of the structure. Still referring to Figure 1, it is easy to see that Plate-1 was fixed on one side, free on both sides, and connected to torsion springs on one side; two sides of Plate-2 were free and the other two were connected to torsion springs; and three sides of Plate-3 were free and the other was connected to torsion springs. The three plates represent all three possible cases with different boundary conditions in multi-plate connected structures.
As shown in Figure 2, the boundary conditions for the solidly supported edges of Plate-1 were displacement boundary conditions. w1(x,y), w2(x,y), and w3(x,y) represent the deflections at the ends of the three thin plates, and approximately satisfy the bending moment boundary conditions at the connected edges. According to the different boundary conditions, the deflection functions adopted the form of the separation of variables wi(x,y) = Ai(y)Bi(x), and the deflection function for each plate is listed below [21].
Figure 2.
The thin plate and the corresponding coordinates.
Plate-1:
Plate-2:
Plate-3:
where cm (m = 1, 2, …, 21) in the functions are coefficients to be solved, and n is the truncation term.
Based on the energy equation of the system and the constraint that the torsion spring has only one rotational degree of freedom, the coefficient cm in the selected deflection function was calculated using the Ritz method. It was assumed that the solar cell wing was combined with three square plates of the same material, which was isotropic and orthotropic. The three plates were subjected to a uniform load q. The connection positions were taken as y1 = 0.25b and y2 = 0.75b, the side lengths of a square plate as a = b = 1 m, the density as ρ = 1700 kg/m3, the modulus of elasticity as E = 1.5 × 1011 Pa, the modulus of stiffness as D2 = 0.5D1 and D3 = 1.215D1, and Poisson’s ratio as μ1 = 2μ2 = 0.3. The four micro-torsion springs had the same coefficient of elasticity, i.e., k1 = k2 = k3 = k4 = 300D1, and the truncation term n was chosen to be 15. Then, an expression for the deflection of the solar panel under an external load can be obtained.
Plate-1:
Plate-2:
Plate-3:
The result in Figure 3 was obtained by MATLAB programming. It was found that, under a uniform load q, the deflection of the panel was symmetrical about y = 0.5b and the deflection reached its maximum at y = 0.5b. Overall, the difference in the deflection of the solar panels in the y direction was quite small. Therefore, the deflection of the three-plate structure at y = 0.5b was taken as the object of study to simplify the plate structure.
Figure 3.
Deflection of the three-plate structure under a uniform load q.
The deflection of each plate was at the maximum at its end. To further simplify the study and to facilitate the application of the results to subsequent studies, the average deflection of each plate was calculated and the rotation angle of each plate was derived from the average deflection. When the uniform load q was 1 N/m2, 3 N/m2, 5 N/m2, or 10 N/m2, respectively, the deflections at each of the three plates were calculated, as shown in Figure 4. The resulting angles of rotation are listed in Table 1, at the end of this subsection.
Figure 4.
Deflection curves for three-plate structures.
Table 1.
Structural dynamics parameters of solar panel with 3 plates.
2.1.2. First-Order Resonant Frequency of the Solar Panel
Since the solar panel was characterized by a large span, a light mass, and large flexure, it was easy to produce violent and long-lasting vibrations after receiving small perturbations, and these low-frequency vibrations were mainly manifested as transverse bending and vibrations perpendicular to the panel surface.
In the selected model, the stiffness coefficient of the torsion springs between the plates was much larger than the bending stiffness coefficient of the plates. In analyzing the resonant frequency, when the panel was unfolded, if the stiffness of the locking structure was large enough, the solar panel composed of multiple plates could be approximated as a single flexural rectangular plate. Therefore, in this subsection, the three-plate model was simplified to a single plate for the analysis. The side length b in the y direction equaled 1m and the side length 3a in the x direction equaled 3m. The density of the material, the form of the external force applied to the panel, and the magnitude of the external force (uniformly distributed load q) were the same as in the previous subsection.
The vibration mode function of the solar panel was chosen as follows:
If the order of the vibration mode is determined as k = 1, the first-order mode function of the panel can be determined using the Ritz method. Subsequently, by applying the law of conservation of energy to the system, a series of frequency values can be calculated, and the smallest positive real root can be identified as the first-order resonant frequency ω of the panel. According to the above method, the first mode frequency of the solar panel was obtained as 0.3754 Hz with the help of the numerical calculation software. So far, the parameters and vibration characteristics of the three-segment solar panel are listed in Table 1.
2.2. Photovoltaic Power-Generation Model of a Typical Solar Panel
A photovoltaic module consists of solar cells connected in series and in parallel. A solar cell can usually be represented as a current source and a diode in parallel [23,24], as shown in Figure 5.
Figure 5.
Equivalent circuit of photovoltaic cell.
And there is a practical mathematical model for engineering use, as follows [25]:
Equation (8) depicts the characteristic curve of a solar cell for a standard irradiance of Sref = 1000 W/m2 and a standard temperature of Tref = 25 °C. However, the coefficients C1, C2, Voc, and Isc will vary due to the influence of the external sunlight intensity and the ambient temperature. When the irradiance and reference temperature change, the formula becomes inapplicable and needs to be adjusted to describe the new curve. The improving method is to derive Isc′, Voc′, Im′, and Vm′ under general working conditions (irradiance S and temperature T) from the Isc, Voc, Im, and Vm under the standard sunlight intensity Sref and the standard temperature Tref. Then, Equation (8) can still be utilized to perform engineering calculations of the output characteristics under non-standard working conditions.
First, the temperature difference ΔT and the relative irradiance difference ΔS between the general and standard working conditions were calculated as follows:
Then, Isc′, Voc′, Im′, and Vm′ under general working conditions were calculated using the following formulae.
The projection process assumed that the basic shape of the output curve was unchanged; the typical values of coefficients g, h, and k were 0.0025/°C, 0.5/(W/m2), and 0.00288/°C, respectively.
By replacing Isc, Voc, Im, and Vm under the standard conditions with the obtained Isc′, Voc′, Im′, and Vm′ under the new conditions, C1′ and C2′ under the new conditions can be obtained with Equations (9) and (10), thus solving the problem of calculating the output characteristics under any irradiance and temperature with Equation (8).
3. Structural Dynamics and Photovoltaic Power Modeling of a Typical Solar Panel
3.1. Parameter Validation of Photovoltaic Power-Generation Model under Dynamic Conditions
In order to obtain the output characteristic curves of the solar panel and to ascertain the influence of external environmental factors on its output characteristics, this section utilized MATLAB/Simulink(R2020a) to conduct an output simulation of the solar cell. This was based on the research content of the previous sections, and the correctness of the model was verified experimentally.
The data for the selected solar panel were provided by the manufacturer, and the solar panel’s parameters under standard conditions are shown in Table 2.
Table 2.
Solar panel parameters.
3.1.1. Simulation of Photovoltaic Power-Generation Model
Figure 6 shows the simulation model for a single solar panel. Inside the dashed box lies the external measurement circuit used to capture the panel’s output current, voltage, and power. The input ‘S’ in the model represents the solar irradiance, measured in units of W/m2. The input ‘T’ signifies the ambient temperature, measured in °C. And the input ‘Vb’ denotes the vibration, which can be adjusted based on different vibration characteristics, including the vibration form, frequency (Hz), and vibration angle (rad). It is important to note that ‘Vb’ is in the form of an angle.
Figure 6.
Single solar panel simulation.
It is worth mentioning that, in past research, it was often tacitly assumed that the angle of incidence of sunlight and the output current conform to the cosine theorem. In practice, however, when the angle of incidence exceeds 55°, the value of the output current gradually deviates from the cosine value, and when it exceeds about 85°, there is no output power from the solar cell, although theoretically, there should still be 7.5%. The output power curve of a real solar cell as a function of the angle of incidence of the sun is known as the Kelly cosine. For the sake of rigor, this paper characterizes the Kelly cosine relationship between the output current and the angle of incidence θ based on an empirical formula proposed in the literature [26]:
The threshold angle θth was set to 55°, and when the angle of incidence was less than the threshold, the experimental data conformed to the standard cosine law. When the angle of incidence exceeded the threshold, the experimental data could be more accurately modelled using the empirical Equation (17).
The model was built in Simulink according to the empirical formula, and the output results were basically consistent with the theoretical data, as shown in Figure 7.
Figure 7.
Kelly cosine applied to PV systems and its simulation result. (a) Kelly cosine simulation. (b) Kelly cosine value as a function of the angle.
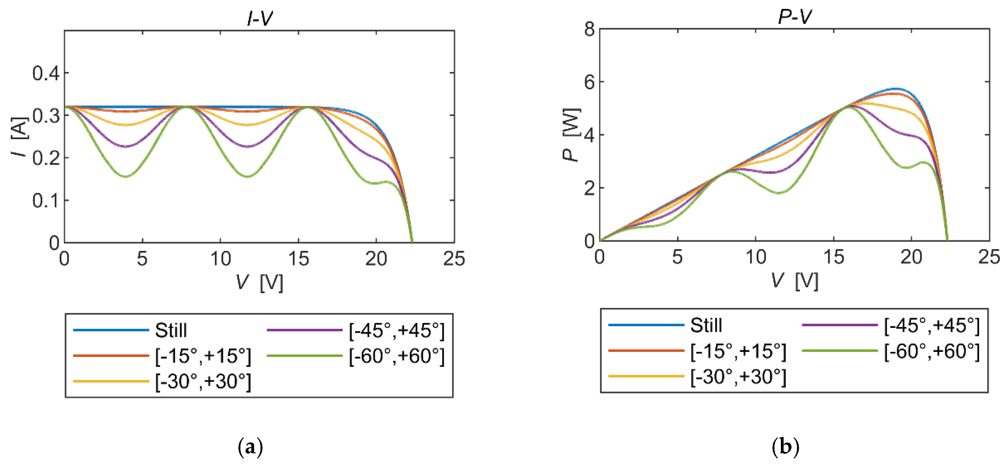
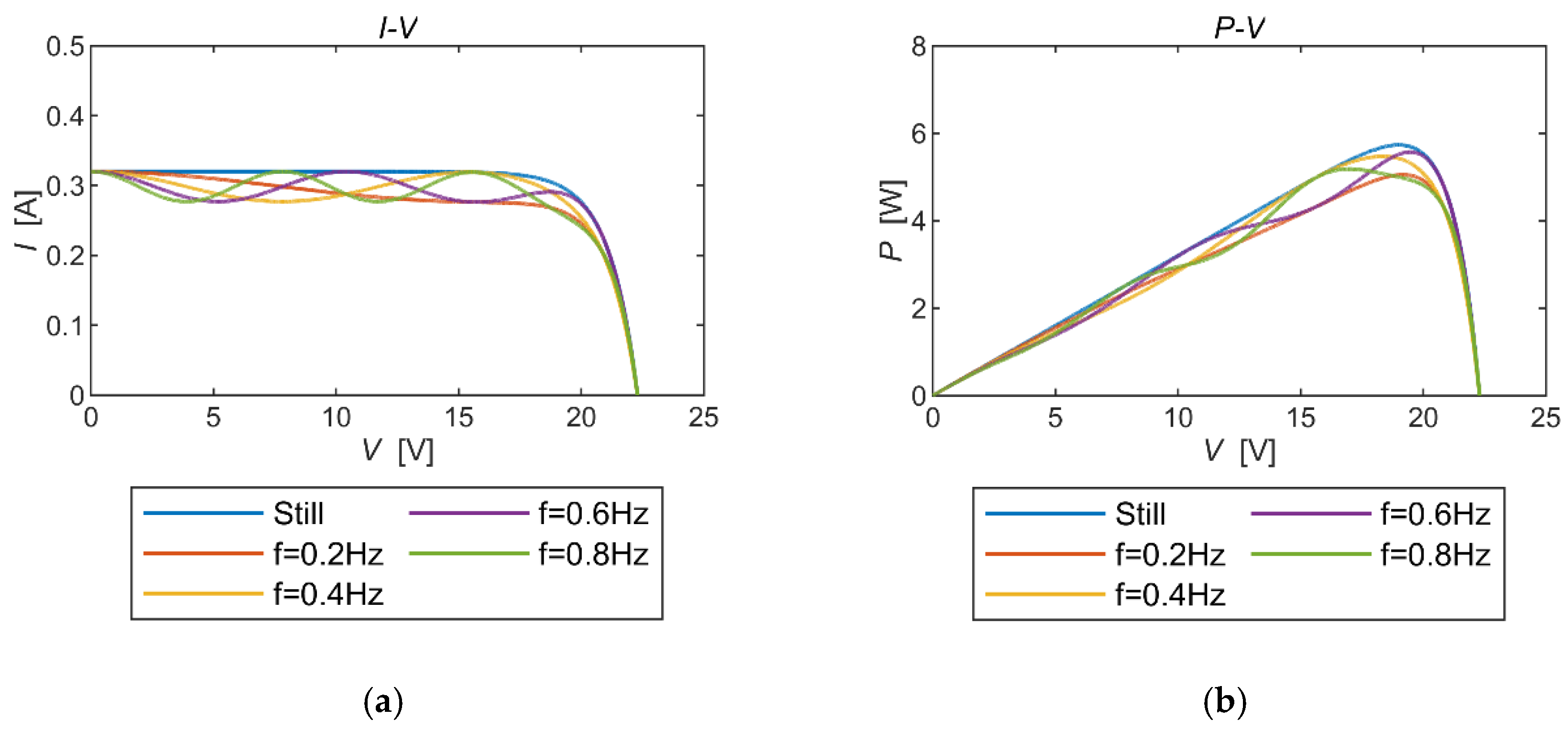
To delve into the impact of generating multiple localized poles on the maximum output power of the solar panel under dynamic conditions, two sets of simulations were conducted. These analyses aimed to compare and analyze the effects on the MPP of two significant parameters influencing mechanical vibrations: the frequency and the vibration angle. This investigation was crucial due to the multi-polar characteristics of the solar panel’s output power under dynamic conditions.
From Figure 8, it is clear that the same number of local extremes occurred at the same frequency of mechanical vibration. As the mechanical vibration angle increased, the output power showed a sudden rise-and-fall characteristic with voltage escalation, and this tendency became more pronounced with a higher vibration angle. Moreover, the maximum power output showed a decreasing trend as the vibration angle increased.
Figure 8.
PV properties of the same vibration frequency with different vibration angles. (a) The I-V curves. (b) The P-V curves.
In Figure 9, it was observed that, for the same vibration angle, the number of local extreme points increased with an increase in the vibration frequency. However, the output power curve consistently remained near the static output power curve. The maximum output power in this case showed fluctuating changes. Assuming that the instrument operates at the MPP, it is generally expected that the power loss will decrease as the frequency increases. Nevertheless, this pattern did not hold true in the low-frequency range.
Figure 9.
PV properties of the same vibration angle with different vibration frequencies. (a) The I-V curves. (b) The P-V curves.
3.1.2. Validation of Photovoltaic Power-Generation Model
A solar panel photovoltaic characterization experiment was carried out to verify the correctness of the simulation model. The equipment mainly included an oscilloscope, a resistance box, a solar power meter, a signal generator, and a solar panel. Figure 10 illustrates a schematic diagram of the connection of the experimental setup.
Figure 10.
Schematic diagram of the experimental setup.
Additionally, a motion mechanism was employed to simulate the vibration of the solar panel and its mechanical sketch is presented in Figure 11. The angles β1 and β2 satisfy the following system of equations:
Figure 11.
Mechanical sketch and calculations of the motion mechanism. (a) Mechanical sketch. (b) Calculations of the angle between the solar panel and the ground.
Taking e as 350 mm, r as 80 mm, and l as 600 mm, the relationship between the angles β1 and β2 can be represented as follows:
According to the calculated results, the variation interval of the angle between the solar panel and the ground was [26.7440°, 45.7800°]. In addition to this, the actual solar incidence angle, which was used in the simulation model, needed to be calculated based on the local latitude of the experiment, the solar time angle, the solar declination angle, and the panel azimuth angle [27,28].
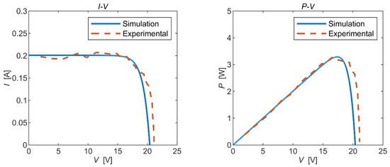
Static and dynamic experiments were conducted, respectively, and the experimental results were compared with the simulation results as follows:
It can be seen from Figure 12 and Figure 13 that the trends in the experimental curves closely aligned with the simulation curves, providing evidence of the feasibility of the simulation model. However, there were some discrepancies between certain experimental data points and the simulation results, indicating a degree of deviation. Upon analysis, potential sources of error in the experimental results included the following: (1) Natural sunlight is unstable and the irradiation is in real-time fluctuation; hence, there existed a large error when reading the output voltage under a specific irradiance. (2) In order to read the test data under a specific irradiance, the time span of the experiment was large, and the solar time angle changed slowly during the process, while the solar incident angle was calculated at a certain moment in the experimental time, which affected the accuracy of the data results. (3) Compared with the theoretical results, the open-circuit voltage obtained from the static experiments was large because the internal resistance of the solar panel varied with changes in the light intensity, cell temperature, and output voltage. In addition, the factory parameters of solar panels provided by the manufacturer are the data for the same batch of panels, and the actual parameters of the panels may not be completely consistent with the standard parameters.
Figure 12.
Static experimental results.
Figure 13.
Dynamic experimental results.
3.2. Power-Generation Characterization of a Typical Solar Panel under Dynamic Conditions
From the above experimental results, the simulation model was constructed with a certain correctness and feasibility. In this subsection, the model of this single solar panel was utilized to form a solar cell array in series, which was used to simulate the output of a solar panel with a three-plate structure under vibration conditions.
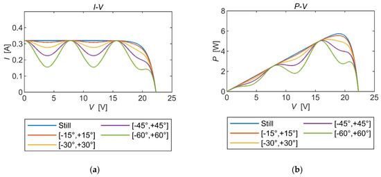
When solar panels are connected in series, the vibration condition of each plate is generally different. In general, the amplitude of the plate solidly connected to the spacecraft body is the smallest, and the plates farther away from the body have larger vibration amplitudes. From the output characteristics of a single panel, it can be hypothesized that, under vibration conditions, the output power of the solar array when multiple panels are connected in series also exhibits multipolar characteristics. The vibration frequency of the solar cell wing and the average rotation angle of each plate under different uniform loads were obtained through the kinetic calculation of the solar cell wing in Section 2. By inputting each set of data into the simulation model separately, the output characteristics of the solar cell wing under specific vibration conditions were obtained.
According to Figure 14, there were few cases of localized extreme points in the P-V curve when the external uniform load was small. As the external load increased, the vibration of the solar panel became more intense, the indentation of the curve was more pronounced, and its loss of output power increased. When the vibration frequency and the maximal deflection angle were 0.3754 Hz and 74.9871°, the maximum output power of the selected solar PV wing was reduced by 5.53%, which is quite considerable. The magnitude of maximum power reduction seemed to decrease with an increasing load, as shown in Figure 15.
Figure 14.
Power-generation characterization. (a) The I-V curves. (b) The P-V curves.
Figure 15.
Loss of output power of the solar panel under a uniform load.
It is noteworthy that the fill factor (FF) is an important performance indicator when analyzing the performance of solar cells. It is the ratio of the maximum output power of the battery to the product of the maximum value of the short-circuit current and open-circuit voltage, as shown in Equation (20). The FF reflects the ability and efficiency of a solar cell to use light energy during operation. It is a key parameter that is used to measure the performance of solar cells, with a typical range of 0.5 to 0.9, and the closer it is to 1, the better the performance. Still referring to Figure 15, obviously, as the external load increased to 10 N/m2, the FF of the solar panel exhibited a decline from its original value of 0.8031 to 0.7587, which indicates that the overall energy conversion efficiency of the solar panel decreased significantly under vibration conditions.
4. Conclusions
This paper analyzed the mechanical oscillation characteristics of the solar panel of a spacecraft, which is a typical application scenario of PV modules. By integrating a solar cell simulation model, this study established the output behavior of solar arrays under mechanical vibration conditions and experimentally verified its correctness using a PV testing platform. While the impact of mechanical vibration on the output characteristics of the solar panel may seem like a minor detail, it holds significant importance for spacecraft operations. And as solar arrays become even larger, the seemingly acceptable power loss on each solar panel will add up to a huge waste.
By examining the power-generation quality of solar arrays and evaluating the output voltage, power, and other parameters affected by mechanical vibration, we can identify performance improvement indices after the stabilization of the structure. This offers new insights for optimizing spacecraft structure and power supply systems, ultimately forming an evaluation model for enhancing the power supply efficiency and providing guidelines for structural optimization.
However, it is important to note that this study only considered the vibration characteristics under a uniform load in the mechanical analysis of a solar cell wing. In actual scenarios, spacecraft motion involves attitude adjustments, re-orbiting motion, and the extension and retraction of the battery wing, resulting in a highly complex and variable force situation. Further research and improvement efforts are required to comprehensively address these challenges.
Author Contributions
Conceptualization, X.S. and Y.W.; methodology, Y.W.; validation, X.S., Q.Y. and J.H.; investigation, X.S. and Q.Y.; data curation, C.Z. and J.S.; writing—original draft preparation, X.S.; writing—review and editing, Y.W.; supervision, Y.W. and C.Z.; funding acquisition, Y.W., C.Z. and J.S. All authors have read and agreed to the published version of the manuscript.
Funding
This research was funded by the Industry University Research Cooperation Fund of the Eighth Research Institute of China Aerospace Science and Technology Corporation under grant number SAST2023-041 and the Fund of Prospective Layout of Scientific Research for NUAA (Nanjing University of Aeronautics and Astronautics).
Data Availability Statement
Data is contained within the article.
Conflicts of Interest
The authors declare no conflicts of interest.
References
- Xia, L.; Ma, S.; Tao, P.; Pei, W.; Liu, Y.; Tao, L.; Wu, Y. A wind-solar hybrid energy harvesting approach based on wind-induced vibration structure applied in smart agriculture. Micromachines 2022, 14, 58. [Google Scholar] [CrossRef] [PubMed]
- Dubey, S.; Sarvaiya, J.N.; Seshadri, B. Temperature Dependent Photovoltaic (PV) Efficiency and Its Effect on PV Production in the World—A Review. Energy Procedia 2013, 33, 311–321. [Google Scholar] [CrossRef]
- Glick, A.; Smith, S.E.; Ali, N.; Bossuyt, J.; Recktenwald, G.; Calaf, M.; Cal, R.B. Influence of flow direction and turbulence intensity on heat transfer of utility-scale photovoltaic solar farms. Sol. Energy 2020, 207, 173–182. [Google Scholar] [CrossRef]
- Huang, L.; Song, Z.; Dong, Q.; Song, Y.; Zhao, X.; Qi, J.; Shi, L. Surface temperature and power generation efficiency of PV arrays with various row spacings: A full-scale outdoor experimental study. Appl. Energy 2024, 367, 123362. [Google Scholar] [CrossRef]
- Cuce, E.; Cuce, P.M.; Bali, T. An experimental analysis of illumination intensity and temperature dependency of photovoltaic cell parameters. Appl. Energy 2013, 111, 374–382. [Google Scholar] [CrossRef]
- Hasan, K.; Yousuf, S.B.; Tushar, M.S.H.K.; Das, B.K.; Das, P.; Islam, S. Effects of different environmental and operational factors on the PV performance: A comprehensive review. Energy Sci. Eng. 2021, 10, 656–675. [Google Scholar] [CrossRef]
- Mohammed, H.; Kumar, M.; Gupta, R. Bypass diode effect on temperature distribution in crystalline silicon photovoltaic module under partial shading. Sol. Energy 2020, 208, 182–194. [Google Scholar] [CrossRef]
- Vieira, R.G.; de Araújo, F.M.U.; Dhimish, M.; Guerra, M.I.S. A comprehensive review on bypass diode application on photovoltaic modules. Energies 2020, 13, 2472. [Google Scholar] [CrossRef]
- Abdulmawjood, K.; Alsadi, S.; Refaat, S.S.; Morsi, W.G. Characteristic study of solar photovoltaic array under different partial shading conditions. IEEE Access 2022, 10, 6856–6866. [Google Scholar] [CrossRef]
- Bakker, K.; Weeber, A.; Theelen, M. Reliability implications of partial shading on CIGS photovoltaic devices: A literature review. J. Mater. Res. 2019, 34, 3977–3987. [Google Scholar] [CrossRef]
- Osmani, K.; Haddad, A.; Alkhedher, M.; Lemenand, T.; Castanier, B.; Ramadan, M. Anovel MPPT-Based ithium-Ion battery solar charger for operation under fluctuating irradiance conditions. Sustainability 2023, 15, 9839. [Google Scholar] [CrossRef]
- Ali, A.I.M.; Mohamed, H.R.A. Improved P&O MPPT algorithm with efficient open-circuit voltage estimation for two-stage grid-integrated PV system under realistic solar radiation. Int. J. Electr. Power Energy Syst. 2022, 137, 107805. [Google Scholar]
- Schmid, J.; Drapalik, M.; Kancsar, E.; Schlosser, V.; Klinger, G. A study of power quality loss in PV modules caused by wind induced vibration located in Vienna. Sol. Energy 2011, 85, 1530–1536. [Google Scholar] [CrossRef]
- Saygin, D.; Kempener, R.; Wagner, N.; Ayuso, M.; Gielen, D. The implications for renewable energy innovation of doubling the share of renewables in the global energy mix between 2010 and 2030. Energies 2015, 8, 5828–5865. [Google Scholar] [CrossRef]
- Zhang, Y.; Yuan, C. Effects of vibration on output characteristics of shipboard PV modules. Reg. Stud. Mar. Sci. 2021, 47, 101989. [Google Scholar] [CrossRef]
- Vidović, V.; Krajačić, G.; Matak, N.; Stunjek, G.; Mimica, M. Review of the potentials for implementation of floating solar panels on lakes and water reservoirs. Renew. Sustain. Energy Rev. 2023, 178, 113237. [Google Scholar] [CrossRef]
- Shen, X.; Wang, X.; Yu, M.; Wang, H.; Xu, F.; Zhang, Q. Crumpled Nanogenerator Based on Elastic Modulus Design for Fully Self-Powered High-Speed Rail Speed Measurement. ACS Appl. Nano Mater. 2024, 7, 15478–15487. [Google Scholar] [CrossRef]
- Wu, Y.; Yuan, Q.; Ren, K.; Shen, X.; Shen, H.; Badel, A.; Qiu, J. Bidirectional energy-controlled piezoelectric shunt damping technology and its vibration attenuation performance. Int. J. Mech. Syst. Dyn. 2024, 4, 63–76. [Google Scholar] [CrossRef]
- Patel, M.R. Spacecraft Power Systems, 1st ed.; CRC Press: Boca Raton, FL, USA, 2004; 732p. [Google Scholar]
- Xu, R.; Li, D.; Jiang, J. An online learning-based fuzzy control method for vibration control of smart solar panel. J. Intell. Mater. Syst. Struct. 2015, 26, 2547–2555. [Google Scholar] [CrossRef]
- Li, D.; Liu, W. Vibration control for the solar panels of spacecraft: Innovation methods and potential approaches. Int. J. Mech. Syst. Dyn. 2023, 3, 300–330. [Google Scholar] [CrossRef]
- Li, D.; Deng, Z.; Chen, G. Free vibration of functionally graded sandwich plates in thermal environments. Int. J. Mech. Syst. Dyn. 2023, 3, 39–47. [Google Scholar] [CrossRef]
- Tsai, H.L.; Tu, C.S.; Su, Y.J. Development of generalized photovoltaic model using MATLAB/SIMULINK. Lect. Notes Eng. Comput. Sci. 2008, 2008, 2173. [Google Scholar]
- Gow, J.; Manning, C. Development of a photovoltaic array model for use in power-electronics simulation studies. IEE Proc. Electr. Power Appl. 1999, 146, 193–200. [Google Scholar] [CrossRef]
- Singer, S.; Rozenshtein, B.; Surazi, S. Characterization of PV array output using a small number of measured parameters. Sol. Energy 1984, 32, 603–607. [Google Scholar] [CrossRef]
- Zhang, Q.; Zhang, Y. Design and verification of an integrated panoramic sun sensor atop a small spherical satellite. Sensors 2022, 22, 8130. [Google Scholar] [CrossRef]
- Wu, Y.; Li, S.; Fan, K.; Ji, H.; Qiu, J. Investigation of an ultra-low frequency piezoelectric energy harvester with high frequency up-conversion factor caused by internal resonance mechanism. Mech. Syst. Signal Process. 2022, 162, 108038. [Google Scholar] [CrossRef]
- Stanciu, C.; Stanciu, D. Optimum tilt angle for flat plate collectors all over the world—A declination dependence formula and comparisons of three solar radiation models. Energy Convers. Manag. 2014, 81, 133–143. [Google Scholar] [CrossRef]
Disclaimer/Publisher’s Note: The statements, opinions and data contained in all publications are solely those of the individual author(s) and contributor(s) and not of MDPI and/or the editor(s). MDPI and/or the editor(s) disclaim responsibility for any injury to people or property resulting from any ideas, methods, instructions or products referred to in the content. |
© 2024 by the authors. Licensee MDPI, Basel, Switzerland. This article is an open access article distributed under the terms and conditions of the Creative Commons Attribution (CC BY) license (https://creativecommons.org/licenses/by/4.0/).














