Polarization-Insensitive Lithium Niobate-on-Insulator Interferometer
Abstract
1. Introduction
2. Design of the Polarization-Independent LN EO Interferometer
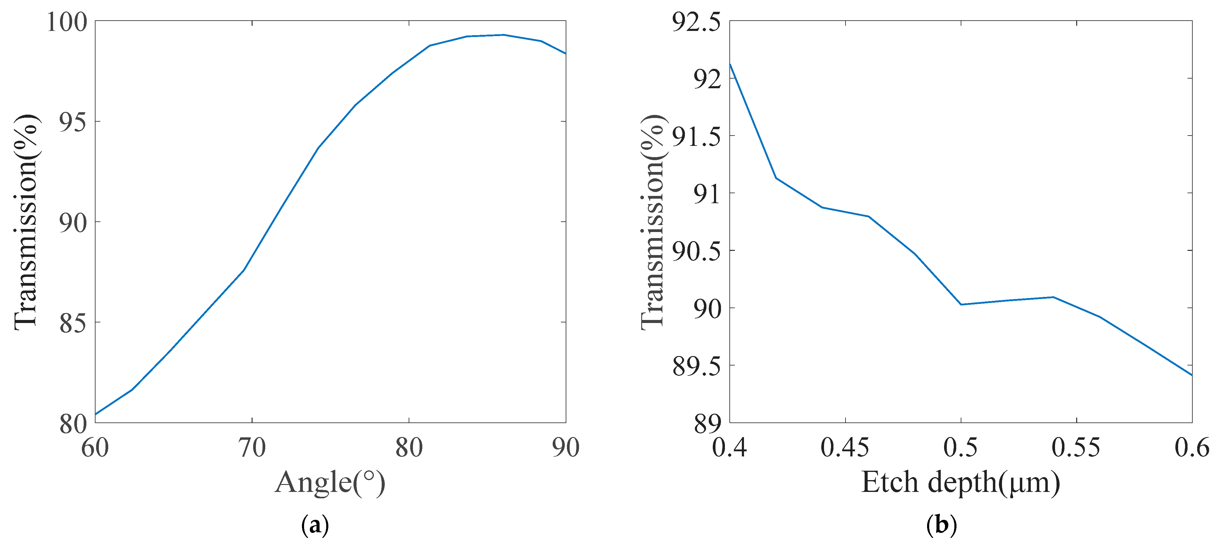
2.1. Mode Converter
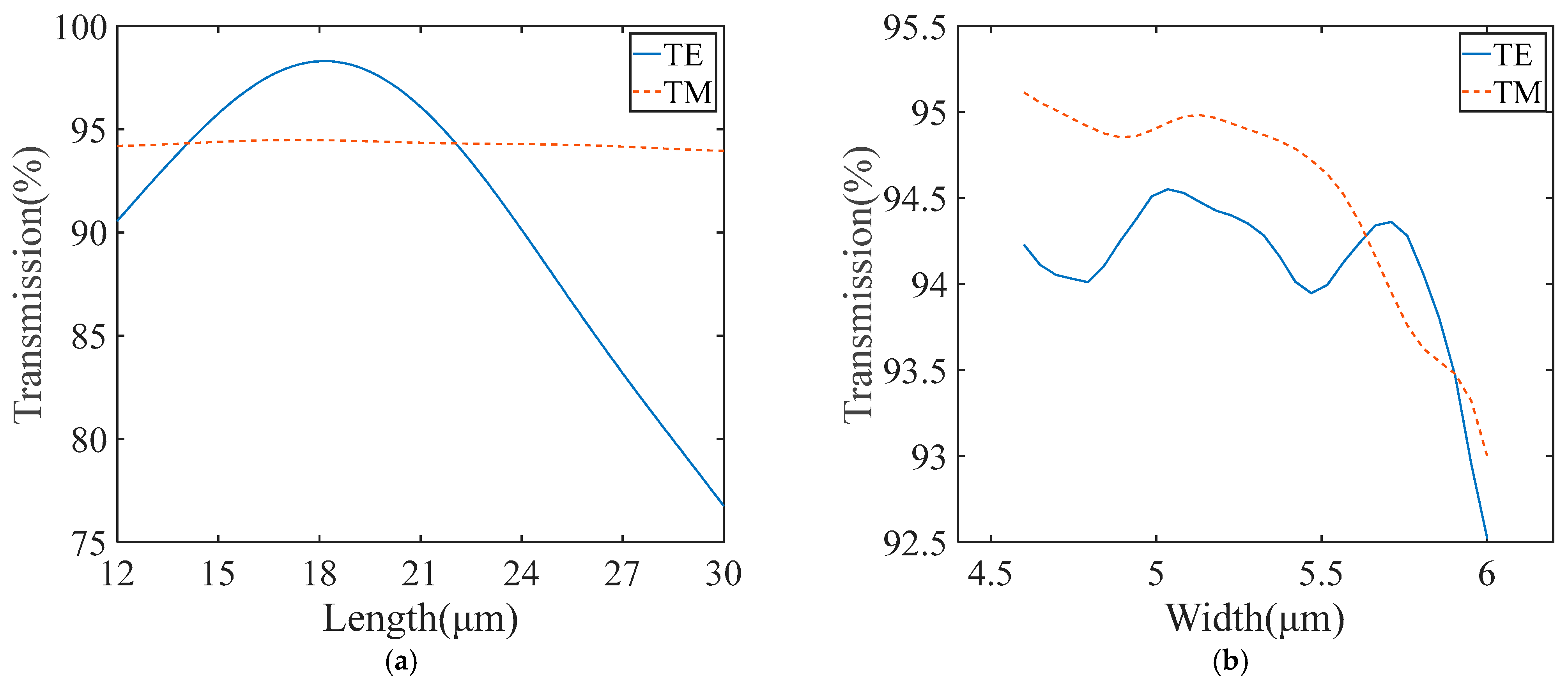
2.2. Multimode Interference Coupler
3. Performance of the Designed Polarization-Independent Interferometer
4. Conclusions
Author Contributions
Funding
Data Availability Statement
Conflicts of Interest
References
- Comellas, J.; Junyent, G. In Optical Interconnection for Datacenters: To Switch or Not to Switch. In Proceedings of the 2023 23rd International Conference on Transparent Optical Networks (ICTON), Bucharest, Romania, 2–6 July 2023; pp. 1–4. [Google Scholar]
- Goodman, J.W.; Leonberger, F.J.; Sun-Yuan, K.; Athale, R.A. Optical interconnections for VLSI systems. Proc. IEEE 1984, 72, 850–866. [Google Scholar] [CrossRef]
- Haurylau, M.; Chen, G.; Chen, H.; Zhang, J.; Nelson, N.A.; Albonesi, D.H.; Friedman, E.G.; Fauchet, P.M. On-Chip Optical Interconnect Roadmap: Challenges and Critical Directions. IEEE J. Sel. Top. Quantum Electron. 2006, 12, 1699–1705. [Google Scholar] [CrossRef]
- Kahn, J.; Kazovsky, L. Coherent Optical Communications: Fundamentals and Future Prospects, Frontiers in Optics, Rochester, New York, 2006/10/10; Optica Publishing Group: Rochester, NY, USA, 2006; p. FThI1. [Google Scholar]
- Miller, D.A.B. Device Requirements for Optical Interconnects to Silicon Chips. Proc. IEEE 2009, 97, 1166–1185. [Google Scholar] [CrossRef]
- Reed, G.T.; Mashanovich, G.; Gardes, F.Y.; Thomson, D.J. Silicon optical modulators. Nat. Photon. 2010, 4, 518–526. [Google Scholar] [CrossRef]
- Shinya, A.; Kida, K.; Sato, H.; Lu, G.W.; Yokoyama, S.; Fujikata, J. In High-Speed Optical Convolutional Neural Network Accelerator with 100 Gbaud EO-polymer/Si Hybrid Optical Modulator. In Proceedings of the 2023 Opto-Electronics and Communications Conference (OECC), Shanghai, China, 2–6 July 2023; pp. 1–4. [Google Scholar]
- Xu, Q.; Schmidt, B.; Pradhan, S.; Lipson, M. Micrometre-scale silicon electro-optic modulator. Nature 2005, 435, 325–327. [Google Scholar] [CrossRef] [PubMed]
- Gupta, S.; Sharma, S.; Ahmad, T.; Kaushik, A.S.; Jha, P.K.; Gupta, V.; Tomar, M. Demonstration of efficient SBN thin film based miniaturized Mach Zehnder EO modulator. Mater. Chem. Phys. 2021, 262, 124300. [Google Scholar] [CrossRef]
- Li, C.; Zheng, W.; Dang, P.; Zheng, C.; Zhang, D. Investigation of a low-voltage polymeric 2×2 Mach-Zehnder interferometer optical switch using five-serial-coupled electro-optic microrings. Optik 2017, 137, 313–326. [Google Scholar] [CrossRef]
- Thomas, R.; Ikonic, Z.; Kelsall, R.W. Electro-optic metal–insulator–semiconductor–insulator–metal Mach-Zehnder plasmonic modulator. Photon. Nanostruct. Fundam. Appl. 2012, 10, 183–189. [Google Scholar] [CrossRef]
- Kieninger, C.; Kutuvantavida, Y.; Elder, D.L.; Wolf, S.; Zwickel, H.; Blaicher, M.; Kemal, J.N.; Lauermann, M.; Randel, S.; Freude, W.; et al. Ultra-high electro-optic activity demonstrated in a silicon-organic hybrid modulator. Optica 2018, 5, 739–748. [Google Scholar] [CrossRef]
- Tang, Y.; Peters, J.D.; Bowers, J.E. Over 67 GHz bandwidth hybrid silicon electroabsorption modulator with asymmetric segmented electrode for 1.3 μm transmission. Opt. Express 2012, 20, 11529–11535. [Google Scholar] [CrossRef]
- Bazzan, M.; Sada, C. Optical waveguides in lithium niobate: Recent developments and applications. Appl. Phys. Rev. 2015, 2, 040603. [Google Scholar] [CrossRef]
- Li, X.; Zhao, Y.; Tao, J.; Li, R.; Liu, J.; Li, J. Linearity-Enhanced integrated lithium niobate modulator based on carrier separated asymmetric Mach−Zehnder structure. Opt. Laser Technol. 2024, 176, 110895. [Google Scholar] [CrossRef]
- Albota, M.A.; Wong, F.N.C.; Shapiro, J.H. Polarization-independent frequency conversion for quantum optical communication. J. Opt. Soc. Am. B 2006, 23, 918–924. [Google Scholar] [CrossRef]
- Jignesh, J.; Corcoran, B.; Schröder, J.; Lowery, A. Polarization independent optical injection locking for carrier recovery in optical communication systems. Opt. Express 2017, 25, 21216–21228. [Google Scholar] [CrossRef] [PubMed]
- Chen, D.; Zhang, X.; Fan, K.; Wang, J.; Lu, H.; Wang, Q.; Wu, S.; Hao, R.; Li, Z.; Jin, J. Experimental demonstration of a hybrid OFDMA/NOMA scheme for multi-user underwater wireless optical communication systems. Opt. Commun. 2023, 548, 129823. [Google Scholar] [CrossRef]
- Saxena, A. On the role of optical materials in the realization of schemes for secure quantum communication. Mater. Today Proc. 2023. [Google Scholar] [CrossRef]
- Pan, S.; Zhang, Y. Tunable and wideband microwave photonic phase shifter based on a single-sideband polarization modulator and a polarizer. Opt. Lett. 2012, 37, 4483–4485. [Google Scholar] [CrossRef] [PubMed]
- Ganjali, M.; Esmail Hosseini, S. Effects of frequency chirping and finite extinction ratio of optical modulators in microwave photonic IFM receivers. Opt. Commun. 2019, 452, 380–386. [Google Scholar] [CrossRef]
- Hsu, C.W.; Huang, C.F.; Tsai, W.S.; Wang, W.S. Lithium Niobate Polarization-Independent Modulator Using Integrated Polarization Splitters and Mode Converters. J. Lightw. Technol. 2017, 35, 1663–1669. [Google Scholar] [CrossRef]
- Song, L.; Liu, W.; Guo, Z.; Li, H.; Xie, Y.; Yu, Z.; Li, H.; Shi, Y.; Dai, D. Anisotropic Thermo-Optic Mach–Zehnder Interferometer on LNOI for Polarization Handling and Multiplexing. Laser Photon. Rev. 2023, 17, 1863–8880. [Google Scholar] [CrossRef]
- He, M.; Xu, M.; Ren, Y.; Jian, J.; Ruan, Z.; Xu, Y.; Gao, S.; Sun, S.; Wen, X.; Zhou, L.; et al. High-performance hybrid silicon and lithium niobate Mach–Zehnder modulators for 100 Gbit s−1 and beyond. Nat. Photon. 2019, 13, 359–364. [Google Scholar] [CrossRef]
- Dai, D.; Tang, Y.; Bowers, J.E. Mode conversion in tapered submicron silicon ridge optical waveguides. Opt. Express 2012, 20, 13425–13439. [Google Scholar] [CrossRef] [PubMed]
- Daoxin, D.; Sailing, H.; Hon-Ki, T. Bilevel mode converter between a silicon nanowire waveguide and a larger waveguide. J. Lightw. Technol. 2006, 24, 2428–2433. [Google Scholar] [CrossRef]
- Zhang, J.; Qiu, P.; He, R.; Song, X.; Dai, Z.; Liu, Y.; Pan, D.; Yang, J.; Guo, K. Compact mode converters in thin-film lithium niobate integrated platforms. Opt. Lett. 2024, 49, 2958–2961. [Google Scholar] [CrossRef] [PubMed]
- Calò, G.; Bellanca, G.; Fuschini, F.; Barbiroli, M.; Bertozzi, D.; Tralli, V.; Petruzzelli, V. 4 × 4 Integrated Switches Based on On-Chip Wireless Connection through Optical Phased Arrays Photonics. Photonics 2023, 10, 367. [Google Scholar] [CrossRef]
- Liu, X.; Zhao, Y.; Zhu, Z.; Liu, H.; Gan, F. Particle Swarm Optimized Compact, Low Loss 3-dB Power Splitter Enabled by Silicon Columns in Silicon-on-Insulator Photonics. Photonics 2023, 10, 419. [Google Scholar] [CrossRef]














Disclaimer/Publisher’s Note: The statements, opinions and data contained in all publications are solely those of the individual author(s) and contributor(s) and not of MDPI and/or the editor(s). MDPI and/or the editor(s) disclaim responsibility for any injury to people or property resulting from any ideas, methods, instructions or products referred to in the content. |
© 2024 by the authors. Licensee MDPI, Basel, Switzerland. This article is an open access article distributed under the terms and conditions of the Creative Commons Attribution (CC BY) license (https://creativecommons.org/licenses/by/4.0/).
Share and Cite
Liao, J.; Liu, L.; Sun, Y.; Wang, Z.; Li, W.; Lan, J.; Ma, L.; Lu, Z. Polarization-Insensitive Lithium Niobate-on-Insulator Interferometer. Micromachines 2024, 15, 983. https://doi.org/10.3390/mi15080983
Liao J, Liu L, Sun Y, Wang Z, Li W, Lan J, Ma L, Lu Z. Polarization-Insensitive Lithium Niobate-on-Insulator Interferometer. Micromachines. 2024; 15(8):983. https://doi.org/10.3390/mi15080983
Chicago/Turabian StyleLiao, Jiali, Linke Liu, Yanling Sun, Zihao Wang, Wei Li, Jinrong Lan, Lin Ma, and Zhenzhong Lu. 2024. "Polarization-Insensitive Lithium Niobate-on-Insulator Interferometer" Micromachines 15, no. 8: 983. https://doi.org/10.3390/mi15080983
APA StyleLiao, J., Liu, L., Sun, Y., Wang, Z., Li, W., Lan, J., Ma, L., & Lu, Z. (2024). Polarization-Insensitive Lithium Niobate-on-Insulator Interferometer. Micromachines, 15(8), 983. https://doi.org/10.3390/mi15080983

