The Effects of Ozone Sterilization on the Chemical and Mechanical Properties of 3D-Printed Biocompatible PMMA
Abstract
1. Introduction
2. Materials and Methods
2.1. Sterilization Process
2.2. Spark-Discharge Optical Emission Spectroscopy (SD-OES)
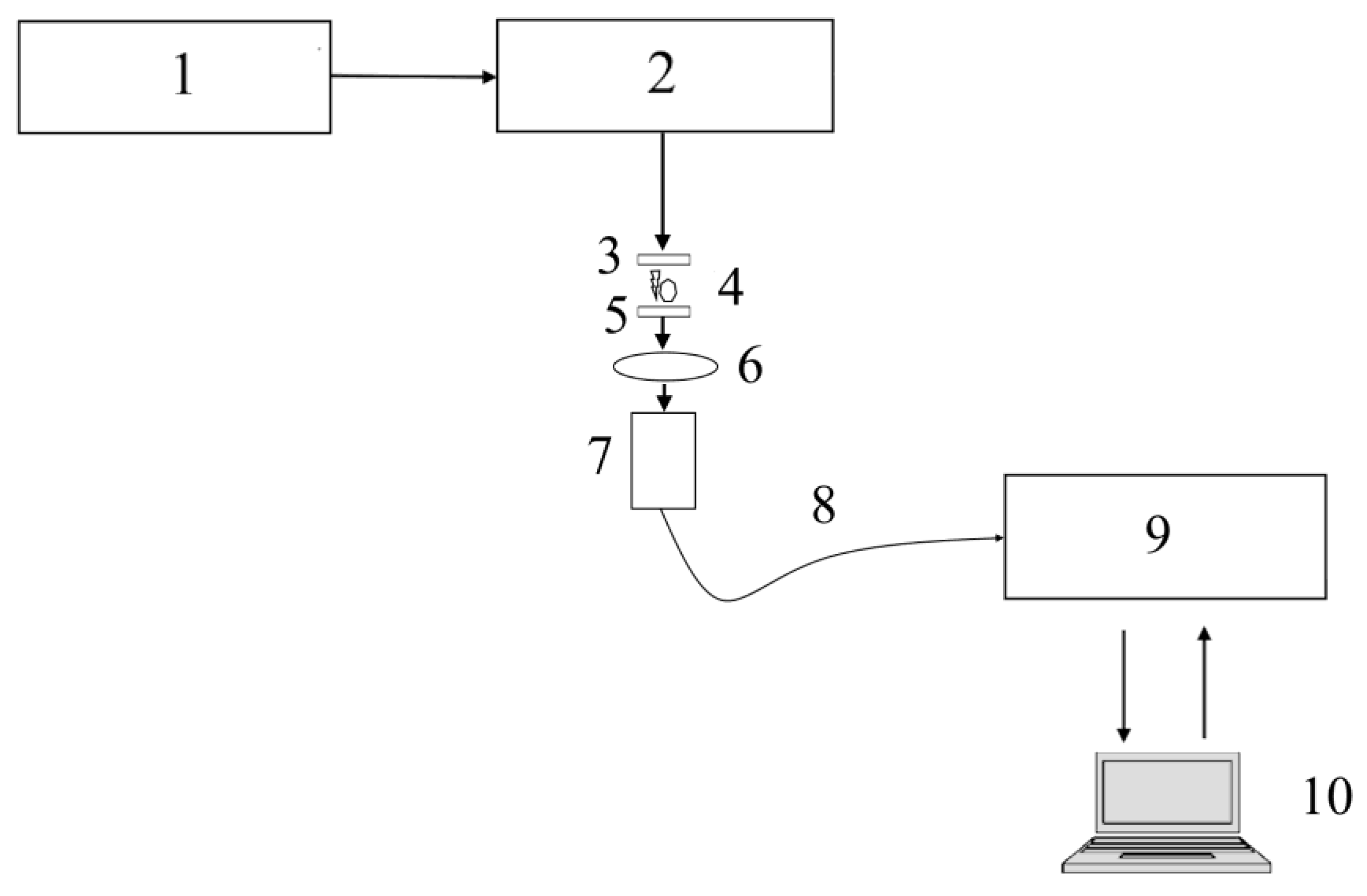
2.3. Laser-Induced Fluorescence (LIF)
2.4. Surface Morphology
2.5. Tensile Strength
3. Results
3.1. Surface Morphology
3.2. SD-OES
3.3. Laser-Induced Fluorescence
3.4. Mechanical Properties
4. Discussion
5. Conclusions
Author Contributions
Funding
Data Availability Statement
Acknowledgments
Conflicts of Interest
References
- Zanotti, B.; Zingaretti, N.; Verlicchi, A.; Robiony, M.; Alfieri, A.; Parodi, P.C. Cranioplasty: Review of Materials. J. Craniofacial Surg. 2016, 27, 2061–2072. [Google Scholar] [CrossRef] [PubMed]
- Aydin, S.; Kucukyuruk, B.; Abuzayed, B.; Aydin, S.; Sanus, G.Z. Cranioplasty: Review of materials and techniques. J. Neurosci. Rural. Pract. 2011, 2, 162–167. [Google Scholar] [CrossRef]
- Münker, T.J.A.G.; van de Vijfeijken, S.E.C.M.; Mulder, C.S.; Vespasiano, V.; Becking, A.G.; Kleverlaan, C.J.; CranioSafe Group; CranioSafe Group; Becking, A.G.; Dubois, L.; et al. Effects of sterilization on the mechanical properties of poly(methyl methacrylate) based personalized medical devices. J. Mech. Behav. Biomed. Mater. 2018, 81, 168–172. [Google Scholar] [CrossRef] [PubMed]
- Zeng, G.; Zhang, Q.; Wang, X.; Wu, K.H. Association between blood ethylene oxide levels and the risk of cardiovascular diseases in the general population. Environ. Sci. Pollut. Res. 2021, 28, 64921–64928. [Google Scholar] [CrossRef] [PubMed]
- Vincent, M.J.; Kozal, J.S.; Thompson, W.J.; Maier, A.; Dotson, G.S.; Best, E.A.; Mundt, K.A. Ethylene Oxide: Cancer Evidence Integration and Dose-Response Implications. Dose Response 2019, 17, 1559325819888317. [Google Scholar] [CrossRef] [PubMed]
- Epelle, E.I.; Macfarlane, A.; Cusack, M.; Burns, A.; Thissera, B.; Mackay, W.; Rateb, M.E.; Yaseen, M. Bacterial and fungal disinfection via ozonation in air. Microbiol. Methods 2022, 194, 106431. [Google Scholar] [CrossRef] [PubMed]
- Sharma, M.; Hudson, J.B. Ozone gas is an effective and practical antibacterial agent. Am. J. Infect. Control. 2008, 36, 559–563. [Google Scholar] [CrossRef] [PubMed]
- Yano, H.; Nakano, R.; Suzuki, Y.; Nakano, A.; Kasahara, K.; Hosoi, H. Inactivation of severe acute respiratory syndrome coronavirus (SARS-CoV-2) by gaseous ozone treatment. J. Hosp. Infect. 2020, 106, 837–838. [Google Scholar] [CrossRef] [PubMed]
- Bayarri, B.; Cruz-Alcalde, A.; López-Vinent, N.; Micó, M.M.; Sans, C. Can ozone inactivate SARS-CoV-2? A review of mechanisms and performance on viruses. J. Hazard. Mater. 2021, 415, 125658. [Google Scholar] [CrossRef]
- Di Paolo, N.; Bocci, V.; Cappelletti, F.; Petrini, G.; Gaggiotti, E. Necrotizing Fasciitis Successfully Treated with Extracorporeal Blood Oxygenation and Ozonization (EBOO). Int. J. Artif. Organs 2002, 25, 1194–1198. [Google Scholar] [CrossRef]
- Di Paolo, N.; Bocci, V.; Gaggiotti, E. Ozone Therapy. Int. J. Artif. Organs 2004, 27, 168–175. [Google Scholar] [CrossRef] [PubMed]
- Garud, S.; Negi, P.; Rastogi, N. Improving the Efficacy of Ozone Treatment in Food Preservation. In Non-Thermal Processing of Foods; CRC Press: Boca Raton, FL, USA, 2018. [Google Scholar] [CrossRef]
- ISO 527-2:2012(E); Standardization, International Standard ISO 527-2, Plastics–Determination of Tensile Properties—Part 2: Test Conditions for Moulding and Extrusion Plastics, Second Edition. ISO: Geneva, Switzerland, 2012.
- EN 10088-3; Stainless Steels—Part 3: Technical Delivery Conditions for Semi-Finished Products, Bars, Rods, Wire, Sections and Bright Products of Corrosion Resisting Steels for General Purposes. European Standard: Maastricht, The Netherlands, 2024.
- Farhadian, A.H.; Tehrani, M.K.; Keshavarz, M.H.; Karimi, M.; Darbani, S.M.R.; Rezayi, A.H. A novel approach for investigation of chemical aging in composite propellants through laser-induced breakdown spectroscopy (LIBS). Therm. Anal. Calorim. 2016, 124, 279–286. [Google Scholar] [CrossRef]
- Liang, D.; Du, C.; Ma, F.; Shen, Y.; Wu, K.; Zhou, J. Degradation of Polyacrylate in the Outdoor Agricultural Soil Measured by FTIR-PAS and LIBS. Polymers 2018, 10, 1296. [Google Scholar] [CrossRef] [PubMed]
- Brunnbauer, L.; Mayr, M.; Larisegger, S.; Nelhiebel, M.; Pagnin, L.; Wiesinger, R.; Schreiner, M.; Limbeck, A. Combined LA-ICP-MS/LIBS: Powerful analytical tools for the investigation of polymer alteration after treatment under corrosive conditions. Sci. Rep. 2020, 10, 12513. [Google Scholar] [CrossRef] [PubMed]
- Chamradova, I.; Pořízka, P.; Kaiser, J. Laser-Induced Breakdown Spectroscopy analysis of polymers in three different atmospheres. Polym. Test. 2021, 96, 107079. [Google Scholar] [CrossRef]
- Shaw, P.S.; Li, Z.; Arp, U.; Lykke, K.R. Ultraviolet characterization of integrating spheres. Appl. Opt. 2007, 46, 5119–5128. [Google Scholar] [CrossRef] [PubMed]
- Shadpour, H.; Musyimi, H.; Chen, J.; Soper, S.A. Physiochemical properties of various polymer substrates and their effects on microchip electrophoresis performance. J. Chromatogr. A 2006, 1111, 238–251. [Google Scholar] [CrossRef] [PubMed]
- Hawkins, R.K.; Yager, P. Nonlinear decrease of background fluorescence in polymer thin-films—A survey of materials and how they can complicate fluorescence detection in mTAS. Lab Chip 2003, 3, 248–252. [Google Scholar] [CrossRef] [PubMed]
- ISO 527-1:2019(en); Standardization, International Standard ISO 527-1, Plastics–Determination of Tensile Properties—Part 1: General Principles, Third Edition. ISO: Geneva, Switzerland, 2019.
- Willis, H.A.; Zichy, V.; Hendra, P.J. The laser-Raman and infra-red spectra of poly(methyl methacrylate). Polymer 1969, 10, 737–746. [Google Scholar] [CrossRef]
- Xu, X.; Hai, M.; Qijing, Z.; Yunsheng, Z. Properties of Raman spectra and laser-induced birefringence in polymethyl methacrylate optical fibers. J. Opt. A: Pure Appl. Opt. 2002, 4, 237–242. [Google Scholar] [CrossRef]
- Radojičić, S.; Konjatić, P.; Katinić, M.; Kačmarčik, J. The Influence of Material Storage on Mechanical Properties and Deterioration of Composite Materials. Teh. Vjesn. Tech. Gaz. 2023, 30, 1645–1651. [Google Scholar] [CrossRef]
- Abdel-Wahab, A.A.; Sabbah, A.; Silberschmidt, V. Temperature-dependent mechanical behaviour of PMMA: Experimental analysis and modelling. Polym. Test. 2016, 58, 86–95. [Google Scholar] [CrossRef]
- Sonelastic: Modulus of Elasticity and Poisson’s Coefficient of Polymeric Materials. Available online: https://sonelastic.com/ (accessed on 17 January 2024).
















| Parameter | Unit | Value |
|---|---|---|
| Bed temperature | °C | 90 |
| Print speed | mm/s | 50 |
| Nozzle diameter | mm | 0.4 |
| Nozzle temperature | °C | 245 |
| Layer height | mm | 0.2 |
| Fill pattern | - | Lines |
| Print direction | - | Horizontal |
| Infill | % | 100 |
| Wall thickness | mm | 0.8 |
| Filament diameter | mm | 1.75 |
| Wall line count | - | 3 |
| Specimen Group | SG0 | SG1 | SG2 | SG3 |
|---|---|---|---|---|
| E (GPa) | 2.97 | 3.69 | 3.17 | 3.09 |
| σT11 (Mpa) | 57.33 | 63.07 | 59.08 | 59.90 |
| A (%) | 1.91 | 2.18 | 2.22 | 1.97 |
Disclaimer/Publisher’s Note: The statements, opinions and data contained in all publications are solely those of the individual author(s) and contributor(s) and not of MDPI and/or the editor(s). MDPI and/or the editor(s) disclaim responsibility for any injury to people or property resulting from any ideas, methods, instructions or products referred to in the content. |
© 2024 by the authors. Licensee MDPI, Basel, Switzerland. This article is an open access article distributed under the terms and conditions of the Creative Commons Attribution (CC BY) license (https://creativecommons.org/licenses/by/4.0/).
Share and Cite
Morosavljević, I.; Kozak, D.; Kosor, T.; Morosavljević, J.; Ferlič, L.; Gubeljak, N. The Effects of Ozone Sterilization on the Chemical and Mechanical Properties of 3D-Printed Biocompatible PMMA. Micromachines 2024, 15, 472. https://doi.org/10.3390/mi15040472
Morosavljević I, Kozak D, Kosor T, Morosavljević J, Ferlič L, Gubeljak N. The Effects of Ozone Sterilization on the Chemical and Mechanical Properties of 3D-Printed Biocompatible PMMA. Micromachines. 2024; 15(4):472. https://doi.org/10.3390/mi15040472
Chicago/Turabian StyleMorosavljević, Ivan, Dražan Kozak, Tihomir Kosor, Janko Morosavljević, Luka Ferlič, and Nenad Gubeljak. 2024. "The Effects of Ozone Sterilization on the Chemical and Mechanical Properties of 3D-Printed Biocompatible PMMA" Micromachines 15, no. 4: 472. https://doi.org/10.3390/mi15040472
APA StyleMorosavljević, I., Kozak, D., Kosor, T., Morosavljević, J., Ferlič, L., & Gubeljak, N. (2024). The Effects of Ozone Sterilization on the Chemical and Mechanical Properties of 3D-Printed Biocompatible PMMA. Micromachines, 15(4), 472. https://doi.org/10.3390/mi15040472

