Transparent Structures for ZnO Thin Film Paper Transistors Fabricated by Pulsed Electron Beam Deposition
Abstract
1. Introduction
2. Materials and Methods
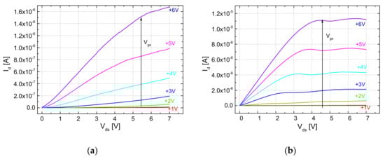
3. Results and Discussion
4. Conclusions
Author Contributions
Funding
Data Availability Statement
Acknowledgments
Conflicts of Interest
References
- De Amorim, J.D.P.; De Souza, K.C.; Duarte, C.R.; Da Silva Duarte, I.; De Assis Sales Ribeiro, F.; Silva, G.S.; De Farias, P.M.A.; Stingl, A.; Costa, A.F.S.; Vinhas, G.M.; et al. Plant and Bacterial Nanocellulose: Production, Properties and Applications in Medicine, Food, Cosmetics, Electronics and Engineering. A Review. Environ. Chem. Lett. 2020, 18, 851–869. [Google Scholar] [CrossRef]
- Luo, Q.; Shen, H.; Zhou, G.; Xu, X. A Mini-Review on the Dielectric Properties of Cellulose and Nanocellulose-Based Materials as Electronic Components. Carbohydr. Polym. 2023, 303, 120449. [Google Scholar] [CrossRef]
- Nandy, S.; Goswami, S.; Marques, A.; Gaspar, D.; Grey, P.; Cunha, I.; Nunes, D.; Pimentel, A.; Igreja, R.; Barquinha, P.; et al. Cellulose: A Contribution for the Zero e-Waste Challenge. Adv. Mater. Technol. 2021, 6, 2000994. [Google Scholar] [CrossRef]
- Thimont, Y.; Clatot, J.; Nistor, M.; Labrugère, C.; Rougier, A. From ZnF2 to ZnO Thin Films Using Pulsed Laser Deposition: Optical and Electrical Properties. Sol. Energy Mater. Sol. Cells 2012, 107, 136–141. [Google Scholar] [CrossRef]
- Nistor, M.; Gherendi, F.; Perrière, J. Tailorable Properties of Nd-Doped ZnO Epitaxial Thin Films for Optoelectronic and Plasmonic Devices. Opt. Mater. 2022, 126, 112154. [Google Scholar] [CrossRef]
- Carcia, P.F.; McLean, R.S.; Reilly, M.H.; Nunes, G. Transparent ZnO Thin-Film Transistor Fabricated by Rf Magnetron Sputtering. Appl. Phys. Lett. 2003, 82, 1117–1119. [Google Scholar] [CrossRef]
- Fortunato, E.M.C.; Barquinha, P.M.C.; Pimentel, A.C.M.B.G.; Goncalves, A.M.F.; Marques, A.J.S.; Martins, R.F.P.; Pereira, L.M.N. Wide-bandgap high-mobility ZnO thin-film transistors produced at room temperature. Appl. Phys. Lett. 2004, 85, 2541–2543. [Google Scholar] [CrossRef]
- Rogers, D.J.; Sandana, V.E.; Teherani, F.H.; Razeghi, M. Thin Film Transistors with Wurtzite ZnO Channels Grown on Si3N4/SiO2/Si (111) Substrates by Pulsed Laser Deposition; Teherani, F.H., Look, D.C., Litton, C.W., Rogers, D.J., Eds.; SPIE: San Francisco, CA, USA, 2010; p. 760318. [Google Scholar] [CrossRef]
- Gherendi, F.; Nistor, M.; Antohe, S.; Ion, L.; Enculescu, I.; Mandache, N.B. Self-assembled Homojunction In2O3 Thin Film Transistors. Semicond. Sci. Technol. 2013, 28, 085002. [Google Scholar] [CrossRef]
- Bushra, K.A.; Prasad, K.S. Paper-Based Field-Effect Transistor Sensors. Talanta 2022, 239, 123085. [Google Scholar] [CrossRef] [PubMed]
- Nomura, K.; Ohta, H.; Takagi, A.; Kamiya, T.; Hirano, M.; Hosono, H. Room-Temperature Fabrication of Transparent Flexible Thin-Film Transistors Using Amorphous Oxide Semiconductors. Nature 2004, 432, 488–492. [Google Scholar] [CrossRef] [PubMed]
- Hosono, H.; Kumomi, H. (Eds.) Amorphous Oxide Semiconductors: IGZO and Related Materials for Display and Memory, 1st ed.; Wiley: Hoboken, NJ, USA, 2022. [Google Scholar] [CrossRef]
- Mativenga, M.; Haque, F.; Billah, M.M.; Um, J.G. Origin of light instability in amorphous IGZO thin-film transistors and its suppression. Sci. Rep. 2021, 11, 14618. [Google Scholar] [CrossRef] [PubMed]
- Toledo, P.; Hernandez Luna, I.S.; Hernandez-Cuevas, F.; Hernandez-Como, N. Electrical instabilities of a-IGZO TFTs under different conditions of bias and illumination stress. Microelectron. Reliab. 2023, 148, 115186. [Google Scholar] [CrossRef]
- Tang, H.-C.; Kim, J.; Hiramatsu, H.; Hosono, H.; Kamiya, T. Fabrication and Opto-Electrical Properties of Amorphous (Zn,B)O Thin Film by Pulsed Laser Deposition. J. Ceram. Soc. Japan 2015, 123, 523–526. [Google Scholar] [CrossRef][Green Version]
- Zubkins, M.; Gabrusenoks, J.; Chikvaidze, G.; Aulika, I.; Butikova, J.; Kalendarev, R.; Bikse, L. Amorphous Ultra-Wide Bandgap ZnOx Thin Films Deposited at Cryogenic Temperatures. J. Appl. Phys. 2020, 128, 215303. [Google Scholar] [CrossRef]
- Bruncko, J.; Vincze, A.; Netrvalova, M.; Šutta, P.; Hasko, D.; Michalka, M. Annealing and Recrystallization of Amorphous ZnO Thin Films Deposited under Cryogenic Conditions by Pulsed Laser Deposition. Thin Solid Films 2011, 520, 866–870. [Google Scholar] [CrossRef]
- Asakuma, N.; Hirashima, H.; Fukui, T.; Toki, M.; Awazu, K.; Imai, H. Photoreduction of Amorphous and Crystalline ZnO Films. Jpn. J. Appl. Phys. 2002, 41 Pt 1, 3909–3915. [Google Scholar] [CrossRef]
- Tellier, J.; Kuščer, D.; Malič, B.; Cilenšek, J.; Škarabot, M.; Kovač, J.; Gonçalves, G.; Muševič, I.; Kosec, M. Transparent, Amorphous and Organics-Free ZnO Thin Films Produced by Chemical Solution Deposition at 150 °C. Thin Solid Films 2010, 518, 5134–5139. [Google Scholar] [CrossRef]
- Nistor, M.; Gherendi, F.; Dobrin, D.; Perrière, J. From Transparent to Black Amorphous Zinc Oxide Thin Films through Oxygen Deficiency Control. J. Appl. Phys. 2022, 132, 225705. [Google Scholar] [CrossRef]
- Rogers, D.J.; Sandana, V.E.; Teherani, F.H.; McClintock, R.; Razeghi, M.; Drouhin, H.-J. Amorphous ZnO Films Grown by Room Temperature Pulsed Laser Deposition on Paper and Mylar for Transparent Electronics Applications; Teherani, F.H., Look, D.C., Rogers, D.J., Eds.; SPIE: San Francisco, CA, USA, 2011; p. 79401K. [Google Scholar] [CrossRef]
- Fortunato, E.; Correia, N.; Barquinha, P.; Pereira, L.; Gonçalves, G.; Martins, R. High-performance flexible hybrid field-effect transistors based on cellulose fiber paper. IEEE Electron. Dev. Lett. 2008, 29, 988–990. [Google Scholar] [CrossRef]
- Martins, R.; Barquinha, P.; Pereira, L.; Correia, N.; Gonçalves, G.; Ferreira, I.; Fortunato, E. Write-Erase and Read Paper Memory Transistor. Appl. Phys. Lett. 2008, 93, 203501. [Google Scholar] [CrossRef]
- Huang, J.; Zhu, H.; Chen, Y.; Preston, C.; Rohrbach, K.; Cumings, J.; Hu, L. Highly Transparent and Flexible Nanopaper Transistors. ACS Nano 2013, 7, 2106–2113. [Google Scholar] [CrossRef]
- Petritz, A.; Wolfberger, A.; Fian, A.; Irimia-Vladu, M.; Haase, A.; Gold, H.; Rothländer, T.; Griesser, T.; Stadlober, B. Cellulose as Biodegradable High-k Dielectric Layer in Organic Complementary Inverters. Appl. Phys. Lett. 2013, 103, 153303. [Google Scholar] [CrossRef]
- Dai, S.; Chu, Y.; Liu, D.; Cao, F.; Wu, X.; Zhou, J.; Zhou, B.; Chen, Y.; Huang, J. Intrinsically Ionic Conductive Cellulose Nanopapers Applied as All Solid Dielectrics for Low Voltage Organic Transistors. Nat. Commun. 2018, 9, 2737. [Google Scholar] [CrossRef]
- Lim, W.; Douglas, E.A.; Kim, S.-H.; Norton, D.P.; Pearton, S.J.; Ren, F.; Shen, H.; Chang, W.H. High Mobility InGaZnO4 Thin-Film Transistors on Paper. Appl. Phys. Lett. 2009, 94, 072103. [Google Scholar] [CrossRef]
- Lim, W.; Douglas, E.A.; Norton, D.P.; Pearton, S.J.; Ren, F.; Heo, Y.-W.; Son, S.Y.; Yuh, J.H. Low-Voltage Indium Gallium Zinc Oxide Thin Film Transistors on Paper Substrates. Appl. Phys. Lett. 2010, 96, 053510. [Google Scholar] [CrossRef]
- Gherendi, F. The influence of an obstacle placed in the ablation plasma on the properties of oxide thin films. J. Optoel. Adv. Mater. 2013, 15, 1463–1469. [Google Scholar]
- Gherendi, F.; Nistor, M.; Mandache, N.B. In2O3 Thin Film Paper Transistors. J. Displ. Technol. 2013, 9, 760–763. [Google Scholar] [CrossRef]
- Chen, J.; Döbeli, M.; Stender, D.; Lee, M.M.; Conder, K.; Schneider, C.W.; Wokaun, A.; Lippert, T. Tracing the Origin of Oxygen for La0.6Sr0.4MnO3 Thin Film Growth by Pulsed Laser Deposition. J. Phys. D Appl. Phys. 2016, 49, 045201. [Google Scholar] [CrossRef]
- Gomez-San Roman, R.; Pérez Casero, R.; Marechal, C.; Enard, J.P.; Perriere, J. 18O isotopic tracer studies of the laser ablation of Bi2Sr2Ca1Cu2O8. J. Appl. Phys. 1996, 80, 1787–1793. [Google Scholar] [CrossRef]
- Sze, S.M.; Ng, K.K. Physics of Semiconductor Devices, 3rd ed.; John Wiley & Sons: Hoboken, NJ, USA, 2006; ISBN 978-0-471-14323-9. [Google Scholar]
- Wager, J.F.; Keszler, D.A.; Presley, R.E. Transparent Electronics; Springer: New York, NY, USA, 2008; ISBN 978-0-387-72341-9. [Google Scholar]
- Nistor, M.; Gherendi, F.; Perriere, J. Degenerate and nondegenerate In2O3 thin films by pulsed electron beam deposition. Mater. Sci. Semicond. Proc. 2018, 88, 45–50. [Google Scholar] [CrossRef]
- Faure, C.; Clatot, J.; Teulé-Gay, L.; Campet, G.; Labrugère, C.; Nistor, M.; Rougier, A. Co-Sputtered ZnO:Si Thin Films as Transparent Conductive Oxides. Thin Solid Films 2012, 524, 151–156. [Google Scholar] [CrossRef]
- Kinoshita, K.; Hiroshige Ishibashi, H.I.; Takeshi Kobayashi, T.K. Improved Surface Smoothness of YBa2Cu3Oy Films and Related Multilayers by ArF Excimer Laser Deposition with Shadow Mask “Eclipse Method”. Jpn. J. Appl. Phys. 1994, 33, L417. [Google Scholar] [CrossRef]
- Trajanovic, Z.; Choopun, S.; Sharma, R.P.; Venkatesan, T. Stoichiometry and Thickness Variation of YBa2Cu3O7−x in Pulsed Laser Deposition with a Shadow Mask. Appl. Phys. Lett. 1997, 70, 3461–3463. [Google Scholar] [CrossRef]
- Marcu, A.; Grigoriu, C.; Jiang, W.; Yatsui, K. Pulsed Laser Deposition of YBCO Thin Films in a Shadow Mask Configuration. Thin Solid Films 2000, 360, 166–172. [Google Scholar] [CrossRef]
- Martins, R.; Barquinha, P.; Pereira, L.; Correia, N.; Gonçalves, G.; Ferreira, I.; Fortunato, E. Selective Floating Gate Non-volatile Paper Memory Transistor. Rapid Res. Lett. 2009, 3, 308–310. [Google Scholar] [CrossRef]
- Martins, R.F.P.; Ahnood, A.; Correia, N.; Pereira, L.M.N.P.; Barros, R.; Barquinha, P.M.C.B.; Costa, R.; Ferreira, I.M.M.; Nathan, A.; Fortunato, E.E.M.C. Recyclable, Flexible, Low-Power Oxide Electronics. Adv. Funct. Mater. 2013, 23, 2153–2161. [Google Scholar] [CrossRef]
- Martins, R.; Ferreira, I.; Fortunato, E. Electronics with and on Paper. Rapid Res. Lett. 2011, 5, 332–335. [Google Scholar] [CrossRef]
- Martins, R.; Nathan, A.; Barros, R.; Pereira, L.; Barquinha, P.; Correia, N.; Costa, R.; Ahnood, A.; Ferreira, I.; Fortunato, E. Complementary Metal Oxide Semiconductor Technology With and On Paper. Adv. Mater. 2011, 23, 4491–4496. [Google Scholar] [CrossRef]
- Martins, R.; Gaspar, D.; Mendes, M.J.; Pereira, L.; Martins, J.; Bahubalindruni, P.; Barquinha, P.; Fortunato, E. Papertronics: Multigate Paper Transistor for Multifunction Applications. Appl. Mater. Today 2018, 12, 402–414. [Google Scholar] [CrossRef]
- Martins, R.; Pereira, L.; Barquinha, P.; Correia, N.; Gonçalves, G.; Ferreira, I.; Dias, C.; Correia, N.; Dionísio, M.; Silva, M.; et al. Self-sustained N-type Memory Transistor Devices Based on Natural Cellulose Paper Fibers. J. Inf. Disp. 2009, 10, 149–157. [Google Scholar] [CrossRef]
- Liang, X.; Luo, Y.; Pei, Y.; Wang, M.; Liu, C. Multimode Transistors and Neural Networks Based on Ion-Dynamic Capacitance. Nat. Electron. 2022, 5, 859–869. [Google Scholar] [CrossRef]
- Zhu, J.; Yang, Y.; Jia, R.; Liang, Z.; Zhu, W.; Rehman, Z.U.; Bao, L.; Zhang, X.; Cai, Y.; Song, L.; et al. Ion Gated Synaptic Transistors Based on 2D van Der Waals Crystals with Tunable Diffusive Dynamics. Adv. Mater. 2018, 30, 1800195. [Google Scholar] [CrossRef]
- Bak, J.Y.; Ryu, M.-K.; Park, S.H.K.; Hwang, C.-S.; Yoon, S.M. Impact of Charge-Trap Layer Conductivity Control on Device Performances of Top-Gate Memory Thin-Film Transistors Using IGZO Channel and ZnO Charge-Trap Layer. IEEE Trans. Electron. Devices 2014, 61, 2404–2411. [Google Scholar] [CrossRef]
- Kim, H.-R.; Kang, C.-S.; Kim, S.-K.; Byun, C.-W.; Yoon, S.-M. Characterization on the Operation Stability of Mechanically Flexible Memory Thin-Film Transistors Using Engineered ZnO Charge-Trap Layers. J. Phys. D Appl. Phys. 2019, 52, 325106. [Google Scholar] [CrossRef]
- Zhang, N.; Zhao, W.; Zhang, X.; Liu, Y.; Dong, S.; Luo, J.; Ye, Z. Transparent Floating Gate Memory Based on ZnO Thin Film Transistor with Controllable Memory Window. IEEE J. Electron. Devices Soc. 2022, 10, 275–280. [Google Scholar] [CrossRef]
- Yun, D.-J.; Bak, J.-Y.; Byun, C.-W.; Yoon, S.-M. Areal Geometric Effects of a ZnO Charge-Trap Layer on Memory Transistor Operations for Embedded-Memory Circuit Applications. IEEE Electron Device Lett. 2017, 38, 1263–1265. [Google Scholar] [CrossRef]
- Bae, S.-H.; Ryoo, H.-J.; Yang, J.-H.; Kim, Y.-H.; Hwang, C.-S.; Yoon, S.-M. Influence of Reduction in Effective Channel Length on Device Operations of In-Ga-Zn-O Thin-Film Transistors With Variations in Channel Compositions. IEEE Trans. Electron. Devices 2021, 68, 6159–6165. [Google Scholar] [CrossRef]
- Noh, S.-H.; Kim, H.-E.; Yang, J.-H.; Kim, Y.-H.; Kwon, Y.-H.; Seong, N.-J.; Hwang, C.-S.; Choi, K.-J.; Yoon, S.-M. Improvement in Short-Channel Effects of the Thin-Film Transistors Using Atomic-Layer Deposited In–Ga–Sn–O Channels With Various Channel Compositions. IEEE Trans. Electron. Devices 2022, 69, 5542–5548. [Google Scholar] [CrossRef]
- Yun, D.-J.; Kang, H.-B.; Yoon, S.-M. Process Optimization and Device Characterization of Nonvolatile Charge Trap Memory Transistors Using In–Ga–ZnO Thin Films as Both Charge Trap and Active Channel Layers. IEEE Trans. Electron Devices 2016, 63, 3128–3134. [Google Scholar] [CrossRef]
- Kim, S.-J.; Park, M.-J.; Yun, D.-J.; Lee, W.-H.; Kim, G.-H.; Yoon, S.-M. High Performance and Stable Flexible Memory Thin-Film Transistors Using In–Ga–Zn–O Channel and ZnO Charge-Trap Layers on Poly(Ethylene Naphthalate) Substrate. IEEE Trans. Electron Devices 2016, 63, 1557–1564. [Google Scholar] [CrossRef]
- Gaspar, D.; Fernandes, S.N.; De Oliveira, A.G.; Fernandes, J.G.; Grey, P.; Pontes, R.V.; Pereira, L.; Martins, R.; Godinho, M.H.; Fortunato, E. Nanocrystalline Cellulose Applied Simultaneously as the Gate Dielectric and the Substrate in Flexible Field Effect Transistors. Nanotechnology 2014, 25, 094008. [Google Scholar] [CrossRef]
- Morais, R.; Vieira, D.H.; Gaspar, C.; Pereira, L.; Martins, R.; Alves, E.N. Influence of Paper Surface Characteristics on Fully Inkjet Printed PEDOT:PSS-Based Electrochemical Transistors. Semicond. Sci. Technol. 2021, 36, 125005. [Google Scholar] [CrossRef]
- Pereira, L.; Gaspar, D.; Guerin, D.; Delattre, A.; Fortunato, E.; Martins, R. The Influence of Fibril Composition and Dimension on the Performance of Paper Gated Oxide Transistors. Nanotechnology 2014, 25, 094007. [Google Scholar] [CrossRef]
- Jiang, J.; Sun, J.; Dou, W.; Zhou, B.; Wan, Q. In-Plane-Gate Indium-Tin-Oxide Thin-Film Transistors Self-Assembled on Paper Substrates. Appl. Phys. Lett. 2011, 98, 113507. [Google Scholar] [CrossRef]
- Jiang, J.; Sun, J.; Dou, W.; Wan, Q. Junctionless Flexible Oxide-Based Thin-Film Transistors on Paper Substrates. IEEE Electron. Device Lett. 2012, 33, 65–67. [Google Scholar] [CrossRef]
- Dou, W.; Jiang, J.; Sun, J.; Zhou, B.; Wan, Q. Low-Voltage Electric-Double-Layer TFTs on SiO2-Covered Paper Substrates. IEEE Electron. Device Lett. 2011, 32, 1543–1545. [Google Scholar] [CrossRef]
- Dou, W.; Tan, Y. Junctionless Dual In-Plane-Gate Thin-Film Transistors with AND Logic Function on Paper Substrates. ACS Omega 2019, 4, 21417–21420. [Google Scholar] [CrossRef] [PubMed]
- Wang, X.; Yu, C. Flexible Low-Voltage Paper Transistors Harnessing Ion Gel/Cellulose Fiber Composites. J. Mater. Res. 2020, 35, 940–948. [Google Scholar] [CrossRef]
- Yuan, X.; Tan, Y.; Lei, L.; Dou, W.; Zhang, J.; Wang, Y.; Zeng, S.; Deng, S.; Guo, H.; Zhou, W.; et al. Junctionless Electric-Double-Layer TFTs on Paper Substrate. ECS J. Solid State Sci. Technol. 2021, 10, 045004. [Google Scholar] [CrossRef]
- Jiang, S.; Feng, P.; Yang, Y.; Du, P.; Shi, Y.; Wan, Q. Flexible Low-Voltage In–Zn–O Homojunction TFTs with Beeswax Gate Dielectric on Paper Substrates. IEEE Electron. Device Lett. 2016, 37, 287–290. [Google Scholar] [CrossRef]
- Trifunovic, M.; Sberna, P.M.; Shimoda, T.; Ishihara, R. Solution-Based Polycrystalline Silicon Transistors Produced on a Paper Substrate. NPJ Flex. Electron. 2017, 1, 12. [Google Scholar] [CrossRef]
- Tobjörk, D.; Österbacka, R. Paper Electronics. Adv. Mater. 2011, 23, 1935–1961. [Google Scholar] [CrossRef] [PubMed]
- Dai, S.; Wang, Y.; Zhang, J.; Zhao, Y.; Xiao, F.; Liu, D.; Wang, T.; Huang, J. Wood-Derived Nanopaper Dielectrics for Organic Synaptic Transistors. ACS Appl. Mater. Interfaces 2018, 10, 39983–39991. [Google Scholar] [CrossRef] [PubMed]
- Balakrishna Pillai, P.; De Souza, M.M. Nanoionics-Based Three-Terminal Synaptic Device Using Zinc Oxide. ACS Appl. Mater. Interfaces 2017, 9, 1609–1618. [Google Scholar] [CrossRef]
- Hasan Mohd, R.; Sharma, P.; Suleman, S.; Mukherjee, S.; Celik, E.G.; Timur, S.; Pilloton, R.; Narang, J. Papertronics: Marriage between Paper and Electronics Becoming a Real Scenario in Resource-Limited Settings. ACS Appl. Bio Mater. 2023, 6, 1368–1379. [Google Scholar] [CrossRef]






Disclaimer/Publisher’s Note: The statements, opinions and data contained in all publications are solely those of the individual author(s) and contributor(s) and not of MDPI and/or the editor(s). MDPI and/or the editor(s) disclaim responsibility for any injury to people or property resulting from any ideas, methods, instructions or products referred to in the content. |
© 2024 by the authors. Licensee MDPI, Basel, Switzerland. This article is an open access article distributed under the terms and conditions of the Creative Commons Attribution (CC BY) license (https://creativecommons.org/licenses/by/4.0/).
Share and Cite
Gherendi, F.; Dobrin, D.; Nistor, M. Transparent Structures for ZnO Thin Film Paper Transistors Fabricated by Pulsed Electron Beam Deposition. Micromachines 2024, 15, 265. https://doi.org/10.3390/mi15020265
Gherendi F, Dobrin D, Nistor M. Transparent Structures for ZnO Thin Film Paper Transistors Fabricated by Pulsed Electron Beam Deposition. Micromachines. 2024; 15(2):265. https://doi.org/10.3390/mi15020265
Chicago/Turabian StyleGherendi, Florin, Daniela Dobrin, and Magdalena Nistor. 2024. "Transparent Structures for ZnO Thin Film Paper Transistors Fabricated by Pulsed Electron Beam Deposition" Micromachines 15, no. 2: 265. https://doi.org/10.3390/mi15020265
APA StyleGherendi, F., Dobrin, D., & Nistor, M. (2024). Transparent Structures for ZnO Thin Film Paper Transistors Fabricated by Pulsed Electron Beam Deposition. Micromachines, 15(2), 265. https://doi.org/10.3390/mi15020265

