Research on IMU-Assisted UWB-Based Positioning Algorithm in Underground Coal Mines
Abstract
1. Introduction
2. IMU-Assisted UWB Positioning System Architecture Analysis
2.1. The Principle of UWB Ranging
2.1.1. Single-Sided Two-Way Ranging
2.1.2. Double-Sided Two-Way Ranging
2.2. UWB Positioning Principle
2.3. UWB Positioning System Error Analysis
2.4. UWB Positioning System Base Station Layout
2.5. IMU System Error Analysis
3. Combined Positioning System Model
3.1. System Coordinate System
3.2. Equation of State
3.3. Observation Equation
3.4. ESKF Data Fusion
3.5. Combined Positioning Model Optimization Processing
3.5.1. Non-Line-of-Sight Processing
3.5.2. Adaptive Estimation
4. Experiments
4.1. Experimental Platform
4.2. Simulation Experiment of Header Working Face
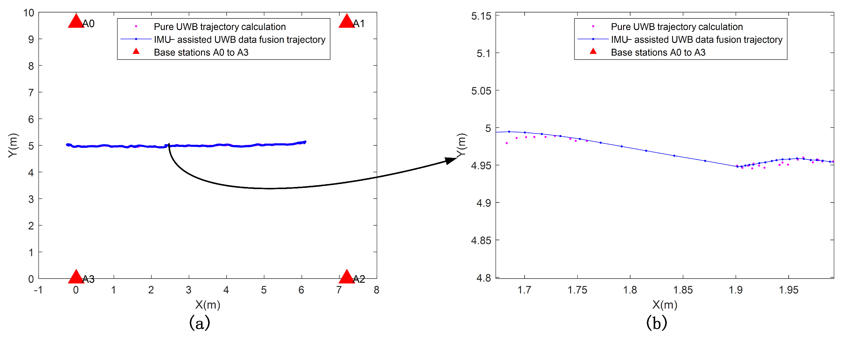
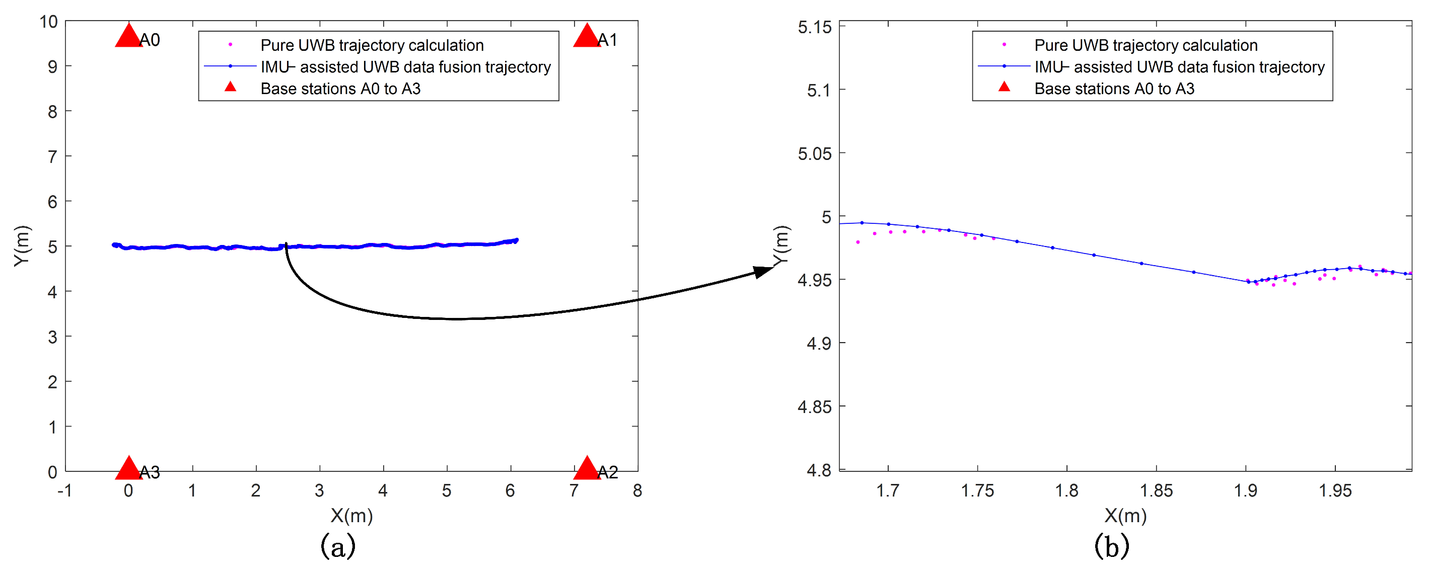
4.3. Analysis of Experimental Results
5. Conclusions
Author Contributions
Funding
Data Availability Statement
Conflicts of Interest
References
- Wang, C.; Cheng, Y. Role of coal deformation energy in coal and gas outburst: A review. Fuel 2023, 332, 126019. [Google Scholar] [CrossRef]
- Zhang, K.; Kang, L.; Chen, X.; He, M.; Zhu, C.; Li, D. A Review of Intelligent Unmanned Mining Current Situation and Development Trend. Energies 2022, 15, 513. [Google Scholar] [CrossRef]
- Wang, M.; Bao, J.; Yuan, X.; Yin, Y.; Khalid, S. Research Status and Development Trend of Unmanned Driving Technology in Coal Mine Transportation. Energies 2022, 15, 9133. [Google Scholar] [CrossRef]
- Wang, J.; Huang, Z. The Recent Technological Development of Intelligent Mining in China. Engineering 2017, 3, 439–444. [Google Scholar] [CrossRef]
- Guo, H.; Zhou, M.; Li, P.; Lv, M.; Zhang, Y. Prospects of carbon fiber composites applications in hydraulic supports. Front. Mater. 2022, 9, 997258. [Google Scholar] [CrossRef]
- Xia, D.; Xu, L. Coupling Mechanism Analysis and Fabrication of Triaxial Gyroscopes in Monolithic MIMU. Micromachines 2017, 8, 310. [Google Scholar] [CrossRef]
- Li, Z.; Xu, X.; Wang, J.; Zhang, C. Prior Kinematic Information Fusion for Pedestrian Localization with Toe-Heel-Shank MIMUs. IEEE Trans. Ind. Electron. 2023, 70, 7498–7506. [Google Scholar] [CrossRef]
- Zhou, X.; Xu, X.; Yao, Y.; Zhao, H. A Robust Quaternion Kalman Filter Method for MIMU/GPS In-Motion Alignment. IEEE Trans. Instrum. Meas. 2021, 70, 1–9. [Google Scholar] [CrossRef]
- Canales, J. Navigating the history of GPS. Nat. Electron. 2018, 1, 610–611. [Google Scholar] [CrossRef]
- Cui, Y.; Liu, S.; Li, H.; Gu, C.; Jiang, H.; Meng, D. Accurate integrated position measurement system for mobile applications in GPS-denied coal mine. ISA Trans. 2023. [Google Scholar] [CrossRef]
- Lv, Z.; Zhang, X.; Chen, D.; Li, D.; Wang, X.; Zhao, T.; Yang, Y.; Zhao, Y.; Zhang, X. The Development and Progress of the UWB Physical Layer. Micromachines 2022, 14, 8. [Google Scholar] [CrossRef] [PubMed]
- Shome, P.P.; Khan, T.; Koul, S.K.; Antar, Y.M.M. Two Decades of UWB Filter Technology: Advances and Emerging Challenges in the Design of UWB Bandpass Filters. IEEE Microw. Mag. 2021, 22, 32–51. [Google Scholar] [CrossRef]
- Wu, G.; Fang, X.; Song, Y.; Chen, N.; Liang, M.; Li, J.; Qiao, F. Simulation Optimization and Application of Shearer Strapdown Inertial Navigation System Modulation Scheme. Sensors 2023, 23, 4290. [Google Scholar] [CrossRef] [PubMed]
- Chen, Y.; Li, W.; Yang, H.; Xia, T. Research on the Compensation Strategy of the Initial Alignment of the SINS Based on the Dynamic Model of the Shearer. IEEE Access 2019, 7, 36736–36747. [Google Scholar] [CrossRef]
- Yang, H.; Li, W.; Luo, C.; Zhang, J.; Si, Z. Research on Error Compensation Property of Strapdown Inertial Navigation System Using Dynamic Model of Shearer. IEEE Access 2016, 4, 2045–2055. [Google Scholar] [CrossRef]
- Shibo, W.; Boyuan, Z.; Shijia, W.; Shirong, G. Dynamic Precise Positioning Method of Shearer Based on Closing Path Optimal Estimation Model. IEEE Trans. Autom. Sci. Eng. 2019, 16, 1468–1475. [Google Scholar] [CrossRef]
- Wang, S.; Wang, S. Improving the Shearer Positioning Accuracy Using the Shearer Motion Constraints in Longwall Panels. IEEE Access 2020, 8, 52466–52474. [Google Scholar] [CrossRef]
- Yang, H.; Li, W.; Luo, T.; Liang, H.; Zhang, H.; Gu, Y.; Luo, C. Research on the Strategy of Motion Constraint-Aided ZUPT for the SINS Positioning System of a Shearer. Micromachines 2017, 8, 340. [Google Scholar] [CrossRef]
- Zheng, J.; Li, S.; Liu, S.; Fu, Q. Research on the Shearer Positioning Method Based on SINS and LiDAR with Velocity and Absolute Position Constraints. Remote Sens. 2021, 13, 3708. [Google Scholar] [CrossRef]
- Yang, H.; Luo, T.; Li, W.; Li, L.; Rao, Y.; Luo, C. A Stable SINS/UWB Integrated Positioning Method of Shearer Based on the Multi-Model Intelligent Switching Algorithm. IEEE Access 2019, 7, 29128–29138. [Google Scholar] [CrossRef]
- Li, W.; Yang, H.; Fan, M.; Luo, C.; Zhang, J.; Si, Z. A Fuzzy Adaptive Tightly-Coupled Integration Method for Mobile Target Localization Using SINS/WSN. Micromachines 2016, 7, 197. [Google Scholar] [CrossRef] [PubMed]
- Liu, Y.; Bao, Y. Real-time remote measurement of distance using ultra-wideband (UWB) sensors. Autom. Constr. 2023, 150, 104849. [Google Scholar] [CrossRef]
- Niu, Z.; Yang, H.; Zhou, L.; Farag Taha, M.; He, Y.; Qiu, Z. Deep learning-based ranging error mitigation method for UWB localization system in greenhouse. Comput. Electron. Agric. 2023, 205, 107573. [Google Scholar] [CrossRef]
- Grasso, P.; Innocente, M.S.; Tai, J.J.; Haas, O.; Dizqah, A.M. Analysis and Accuracy Improvement of UWB-TDoA-Based Indoor Positioning System. Sensors 2022, 22, 9136. [Google Scholar] [CrossRef]
- Ali, R.; Liu, R.; Nayyar, A.; Qureshi, B.; Cao, Z. Tightly Coupling Fusion of UWB Ranging and IMU Pedestrian Dead Reckoning for Indoor Localization. IEEE Access 2021, 9, 164206–164222. [Google Scholar] [CrossRef]
- Zeng, Q.; Jin, Y.; Yu, H.; You, X. A UAV Localization System Based on Double UWB Tags and IMU for Landing Platform. IEEE Sens. J. 2023, 23, 10100–10108. [Google Scholar] [CrossRef]
- Meng, Q.; Song, Y.; Li, S.; Zhuang, Y. Resilient tightly coupled INS/UWB integration method for indoor UAV navigation under challenging scenarios. Def. Technol. 2023, 22, 185–196. [Google Scholar] [CrossRef]
- Zhu, B.; Tao, X.; Zhao, J.; Ke, M.; Wang, H.; Deng, W. An Integrated GNSS/UWB/DR/VMM Positioning Strategy for Intelligent Vehicles. IEEE Trans. Veh. Technol. 2020, 69, 10842–10853. [Google Scholar] [CrossRef]
- Li, M.-G.; Zhu, H.; You, S.-Z.; Tang, C.-Q. UWB-Based Localization System Aided with Inertial Sensor for Underground Coal Mine Applications. IEEE Sens. J. 2020, 20, 6652–6669. [Google Scholar] [CrossRef]
- Cao, B.; Wang, S.; Ge, S.; Chen, F.; Zhang, H. UWB Anchor Node Optimization Deployment Using MGWO for the Coal Mine Working Face End. IEEE Trans. Instrum. Meas. 2023, 72, 1–12. [Google Scholar] [CrossRef]














| Ellipsoid Axis Length | X-Axis Radius/m | Y-Axis Radius/m | Z-Axis Radius/m |
|---|---|---|---|
| Layout 1 | 0.423 | 0.060 | 0.032 |
| Layout 2 | 0.162 | 0.061 | 0.031 |
| Layout 3 | 0.088 | 0.059 | 0.030 |
Disclaimer/Publisher’s Note: The statements, opinions and data contained in all publications are solely those of the individual author(s) and contributor(s) and not of MDPI and/or the editor(s). MDPI and/or the editor(s) disclaim responsibility for any injury to people or property resulting from any ideas, methods, instructions or products referred to in the content. |
© 2023 by the authors. Licensee MDPI, Basel, Switzerland. This article is an open access article distributed under the terms and conditions of the Creative Commons Attribution (CC BY) license (https://creativecommons.org/licenses/by/4.0/).
Share and Cite
Wang, L.; Zhang, S.; Qi, J.; Chen, H.; Yuan, R. Research on IMU-Assisted UWB-Based Positioning Algorithm in Underground Coal Mines. Micromachines 2023, 14, 1481. https://doi.org/10.3390/mi14071481
Wang L, Zhang S, Qi J, Chen H, Yuan R. Research on IMU-Assisted UWB-Based Positioning Algorithm in Underground Coal Mines. Micromachines. 2023; 14(7):1481. https://doi.org/10.3390/mi14071481
Chicago/Turabian StyleWang, Lei, Shangqi Zhang, Junyan Qi, Hongren Chen, and Ruifu Yuan. 2023. "Research on IMU-Assisted UWB-Based Positioning Algorithm in Underground Coal Mines" Micromachines 14, no. 7: 1481. https://doi.org/10.3390/mi14071481
APA StyleWang, L., Zhang, S., Qi, J., Chen, H., & Yuan, R. (2023). Research on IMU-Assisted UWB-Based Positioning Algorithm in Underground Coal Mines. Micromachines, 14(7), 1481. https://doi.org/10.3390/mi14071481

