Design and Implementation of Broadband Hybrid 3-dB Couplers with Silicon-Based IPD Technology
Abstract
1. Introduction
2. Design of the Proposed Coupler
2.1. IPD Technology
2.2. Type A IPD Coupler
2.3. Type B IPD Coupler
3. Measurement and Discussion
3.1. Measurement System
3.2. Measurement Results
3.2.1. Type A IPD Coupler
3.2.2. Type B IPD Coupler
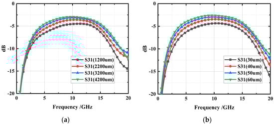
3.3. Discussion
4. Conclusions
Author Contributions
Funding
Conflicts of Interest
References
- Li, C.; Zhang, F.; Di, M.; Pan, Z.; Wang, A. Advances in 3D Heterogeneous Structures and Integration for Future ICs (Invited). In Proceedings of the 2019 IEEE SOI-3D-Subthreshold Microelectronics Technology Unified Conference (S3S), San Jose, CA, USA, 14–17 October 2019; pp. 1–3. [Google Scholar]
- Gutierrez-Aitken, A. Heterogeneous Integration for High Frequency RF Applications. In Proceedings of the 2020 IEEE International Electron Devices Meeting (IEDM), San Francisco, CA, USA, 12–18 December 2020; pp. 34.5.1–34.5.4. [Google Scholar]
- Zhou, J.; Yang, J.; Shen, Y. 3D heterogeneous integration technology using hot via MMIC and silicon interposer with millimeter wave application. In Proceedings of the 2017 IEEE MTT-S International Microwave Symposium (IMS), Honololu, HI, USA, 4–9 June 2017; pp. 499–502. [Google Scholar]
- Xinhai, B.; Hongyan, G.; Li, Z.; Tan, K.H.; Lai, C.M. Fabrication and measurement of BPF using IPD technology. In Proceedings of the 2014 15th International Conference on Electronic Packaging Technology, Chengdu, China, 12–15 August 2014; pp. 36–38. [Google Scholar]
- Lee, P.N.; Hsieh, Y.C.; Hsieh, S.C.; Kung, C.Y.; Wang, C.C. Design and Fabrication of Band-Pass Filter on Glass IPD for 5G New Radio. In Proceedings of the 2020 IEEE 70th Electronic Components and Technology Conference (ECTC), Orlando, FL, USA, 3–30 June 2020; pp. 1775–1780. [Google Scholar]
- Chen, H.K.; Hsu, Y.C.; Lin, T.Y.; Chang, D.C.; Juang, Y.Z.; Lu, S.S. CMOS wideband LNA design using integrated passive device. In Proceedings of the 2009 IEEE MTT-S International Microwave Symposium Digest, Boston, MA, USA, 7–12 June 2009; pp. 673–676. [Google Scholar]
- Jeon, H.; Park, Y.; Huang, Y.Y.; Kim, J.; Lee, K.S.; Lee, C.H.; Kenney, J.S. A Triple-Mode Balanced Linear CMOS Power Amplifier Using a Switched-Quadrature Coupler. IEEE J. Solid-State Circuits 2012, 47, 2019–2032. [Google Scholar] [CrossRef]
- Lu, H.C.; Kuo, C.C.; Wei, S.A.; Huang, P.S.; Wang, H. Ultra broad band CMOS balanced amplifiers using quadrature power splitters on glass integrated passive device (GIPD) and LTCC with flip chip interconnects for SiP integration. In Proceedings of the 2012 IEEE/MTT-S International Microwave Symposium Digest, Montreal, QC, Canada, 17–22 June 2012; pp. 1–3. [Google Scholar]
- Hsu, Y.C.; Chiou, H.K.; Chen, H.K.; Lin, T.Y.; Chang, D.C.; Juang, Y.Z. Low Phase Noise and Low Power Consumption VCOs Using CMOS and IPD Technologies. IEEE Trans. Components Packag. Manuf. Technol. 2011, 1, 673–680. [Google Scholar]
- Wei, M.D.; Chang, S.F.; Negra, R. Design of low phase noise K-band Voltage-Controlled Oscillator using 180 nm CMOS and integrated passive device technologies. In Proceedings of the 2014 NORCHIP, Tampere, Finland, 27–28 October 2014; pp. 1–4. [Google Scholar]
- Kim, H.T.; Liu, K.; Frye, R.C.; Lee, Y.T.; Kim, G.; Ahn, B. Design of compact power divider using integrated passive device (IPD) technology. In Proceedings of the 2009 59th Electronic Components and Technology Conference, San Diego, CA, USA, 26–29 May 2009; pp. 1894–1899. [Google Scholar]
- Hsiao, C.Y.; Hsu, S.S.H.; Chang, D.C. A Compact V-Band Bandpass Filter in IPD Technology. IEEE Microw. Wirel. Components Lett. 2011, 21, 531–533. [Google Scholar] [CrossRef]
- Pan, D.; You, B.; Wen, X.; Li, X. Wideband substrate integrated waveguide chip filter using spoof surface plasmon polariton. Micromachines 2022, 13, 1195. [Google Scholar] [CrossRef] [PubMed]
- Chen, Y.T.; Chang, C.L.; Tseng, C.H. A compact X-band CPW branch-line coupler using glass integrated passive device (GIPD) technology. In Proceedings of the 2013 Asia-Pacific Microwave Conference Proceedings (APMC), Seoul, Korea, 5–8 November 2013; pp. 276–278. [Google Scholar]
- Tseng, C.H.; Chen, Y.T. Design and Implementation of New 3-dB Quadrature Couplers Using PCB and Silicon-Based IPD Technologies. IEEE Trans. Components Packag. Manuf. Technol. 2016, 6, 675–682. [Google Scholar] [CrossRef]
- Jeon, H.; Kobayashi, K.W. Comparison of 5-GHz Quadrature Couplers Using GaAs and Silicon-Based IPD Technologies. IEEE Microw. Wirel. Components Lett. 2018, 28, 756–758. [Google Scholar] [CrossRef]
- Shim, S.; Hong, S. A CMOS Power Amplifier With Integrated-Passive-Device Spiral-Shaped Directional Coupler for Mobile UHF RFID Reader. IEEE Trans. Microw. Theory Tech. 2011, 59, 2888–2897. [Google Scholar] [CrossRef]
- Tseng, Y.C.; Ma, T.G. On-chip miniaturized 3-dB directional coupler using coupled synthesized CPWs on integrated passive device (IPD) process. In Proceedings of the 2014 44th European Microwave Conference, Rome, Italy, 6–9 October 2014; pp. 81–84. [Google Scholar]
- Lin, K.C.; Chiou, H.K.; Chien, K.H.; Yang, T.Y.; Wu, P.C.; Ko, C.L.; Juang, Y.Z. A 4.2-mW 6-dB Gain 5–65-GHz Gate-Pumped Down-Conversion Mixer Using Darlington Cell for 60-GHz CMOS Receiver. IEEE Trans. Microw. Theory Tech. 2013, 61, 1516–1522. [Google Scholar] [CrossRef]
- Alizadeh, A.; Frounchi, M.; Medi, A. On Design of Wideband Compact-Size Ka/Q-Band High-Power Amplifiers. IEEE Trans. Microw. Theory Tech. 2016, 64, 1831–1842. [Google Scholar] [CrossRef]
- Brown, M.; Li, C. A K-Band Broadband Binary Phase Shifter. In Proceedings of the 2022 IEEE Radio and Wireless Symposium (RWS), Las Vegas, NV, USA, 16–19 January 2022; pp. 16–18. [Google Scholar]
- Lin, Y.S.; Lee, J.H. Miniature Butler Matrix Design Using Glass-Based Thin-Film Integrated Passive Device Technology for 2.5-GHz Applications. IEEE Trans. Microw. Theory Tech. 2013, 61, 2594–2602. [Google Scholar] [CrossRef]
- Wang, Q.; Guo, Y. Design and Implementation of High Precision and High Density Capacitor based on Silicon Integrated Passive Device Technology. In Proceedings of the 2022 23rd International Conference on Electronic Packaging Technology (ICEPT), Dalian, China, 10–13 August 2022; pp. 1–5. [Google Scholar]
- Liang, C.H.; Chang, W.S.; Chang, C.Y. Enhanced Coupling Structures for Tight Couplers and Wideband Filters. IEEE Trans. Microw. Theory Tech. 2011, 59, 574–583. [Google Scholar] [CrossRef]
- Velazquez-Ahumada, M.; Martel, J.; Medina, F. Parallel coupled microstrip filters with ground-plane aperture for spurious band suppression and enhanced coupling. IEEE Trans. Microw. Theory Tech. 2004, 52, 1082–1086. [Google Scholar] [CrossRef]
- Hsu, S.K.; Lin, T.H.; Wu, T.L. Size-reduction of 3 dB microstrip forward-wave coupler using defected ground structure. In Proceedings of the Asia-Pacific Microwave Conference 2011, Melbourne, VIC, Australia, 5–8 December 2011; pp. 1774–1777. [Google Scholar]
- Pozar, D.M. Microwave Engineering; John Wiley & Sons: Hoboken, NJ, USA, 2011. [Google Scholar]
- Uysal, S.; Aghvami, H. Synthesis, design, and construction of ultra-wide-band nonuniform quadrature directional couplers in inhomogeneous media. IEEE Trans. Microw. Theory Tech. 1989, 37, 969–976. [Google Scholar] [CrossRef]
- Sorkin, O.; Holdengreber, E.; Averbukh, M.; Schacham, S.E.; Farber, E. Directivity Enhancement of Tight Couplers. In Proceedings of the 2019 IEEE International Conference on Microwaves, Antennas, Communications and Electronic Systems (COMCAS), Tel Aviv, Israel, 4–6 November 2019; pp. 1–5. [Google Scholar]
- Bahl, I.; Mongia, P.B.R. RF and microwave coupled-line circuits. Microw. J. 2001, 44, 390. [Google Scholar]
- Sawicki, A.; Sachse, K. Novel coupled-line conductor-backed coplanar and microstrip directional couplers for PCB and LTCC applications. IEEE Trans. Microw. Theory Tech. 2003, 51, 1743–1751. [Google Scholar] [CrossRef]
- Sun, C.; Dai, Y.; Li, B.; Li, Y. Design of wide-brimmed coupler based on LTCC technology. In Proceedings of the 2016 IEEE International Conference on Microwave and Millimeter Wave Technology (ICMMT), Beijing, China, 5–8 June 2016; Volume 1, pp. 330–332. [Google Scholar]
- Haroun, I.; Plett, C.; Hsu, Y.C.; Chang, D.C. Compact 60-GHz IPD-Based Branch-Line Coupler for System-on-Package V-Band Radios. IEEE Trans. Components Packag. Manuf. Technol. 2012, 2, 1070–1074. [Google Scholar] [CrossRef]

















| L | W | a | b | |||||||||
|---|---|---|---|---|---|---|---|---|---|---|---|---|
| 3.15 mm | 0.35 mm | 0.36 mm | 0.42 mm | 0.72 mm | 0.8 mm | 1.02 mm | 20 µm | 40 µm | 50 µm | 245 µm | 100 µm | 50 µm |
| L | W | d | a | b | |||||||
|---|---|---|---|---|---|---|---|---|---|---|---|
| 5.03 mm | 4.23 mm | mm | 0.715 mm | 15 µm | 60 µm | 30 µm | 15 µm | 50 µm | 245 µm | 100 µm | 50 µm |
| Ref. | Frequency Range (GHz) | FBW(%) | Max. Coupling (dB) | Return Loss (dB) | Isolation (dB) | Circuit Size | Fabrication Process |
|---|---|---|---|---|---|---|---|
| [31] | 1.5–2.2 | 19 | 3.3 | <−27 | <−35 | mm | LTCC |
| [32] | 2.65–3.55 | 29.03 | 3.25 | <−24 | <−26 | mm | LTCC |
| [18] | 3.6–5 | 32.5 | 4.2 | <−14 | <−15 | mm | IPD |
| [15] Type-A | 33.3–53.9 | 47.2 | 4.67 | <−15 | <−18.5 | mm | IPD |
| [16] | 4.8–6.2 | 25.45 | N.A. | <−17 | <−17 | mm | IPD |
| [33] | 57–64 | 10.37 | 4.9 | <−15 | <−17 | mm | IPD |
| This work Type-A | 6.5–12.2 | 60.96 | 3.5 | <−22.32 | <−16.16 | mm | IPD |
| This work Type-B | 7–13 | 60 | 4.13 | <−23.95 | <−21.21 | mm | IPD |
| This work Type-B | 28–32.5 | 14.88 | 4.61 | <−19.67 | <−22.17 | mm | IPD |
| This work Type-B | 49.5–54.5 | 8.78 | 5.21 | <−17.02 | <−12.79 | mm | IPD |
Disclaimer/Publisher’s Note: The statements, opinions and data contained in all publications are solely those of the individual author(s) and contributor(s) and not of MDPI and/or the editor(s). MDPI and/or the editor(s) disclaim responsibility for any injury to people or property resulting from any ideas, methods, instructions or products referred to in the content. |
© 2023 by the authors. Licensee MDPI, Basel, Switzerland. This article is an open access article distributed under the terms and conditions of the Creative Commons Attribution (CC BY) license (https://creativecommons.org/licenses/by/4.0/).
Share and Cite
Xu, M.; Su, J.; Wang, R.; Lin, Z.; Xie, W.; Liu, J. Design and Implementation of Broadband Hybrid 3-dB Couplers with Silicon-Based IPD Technology. Micromachines 2023, 14, 932. https://doi.org/10.3390/mi14050932
Xu M, Su J, Wang R, Lin Z, Xie W, Liu J. Design and Implementation of Broadband Hybrid 3-dB Couplers with Silicon-Based IPD Technology. Micromachines. 2023; 14(5):932. https://doi.org/10.3390/mi14050932
Chicago/Turabian StyleXu, Mengmeng, Jiangtao Su, Ruijin Wang, Zhongjie Lin, Weiyu Xie, and Jun Liu. 2023. "Design and Implementation of Broadband Hybrid 3-dB Couplers with Silicon-Based IPD Technology" Micromachines 14, no. 5: 932. https://doi.org/10.3390/mi14050932
APA StyleXu, M., Su, J., Wang, R., Lin, Z., Xie, W., & Liu, J. (2023). Design and Implementation of Broadband Hybrid 3-dB Couplers with Silicon-Based IPD Technology. Micromachines, 14(5), 932. https://doi.org/10.3390/mi14050932
