Dual Coupled Long-Range Hybrid Surface Plasmon Polariton Waveguide for Sub-Wavelength Confinement
Abstract
:1. Introduction
2. Structure Design
3. Methods
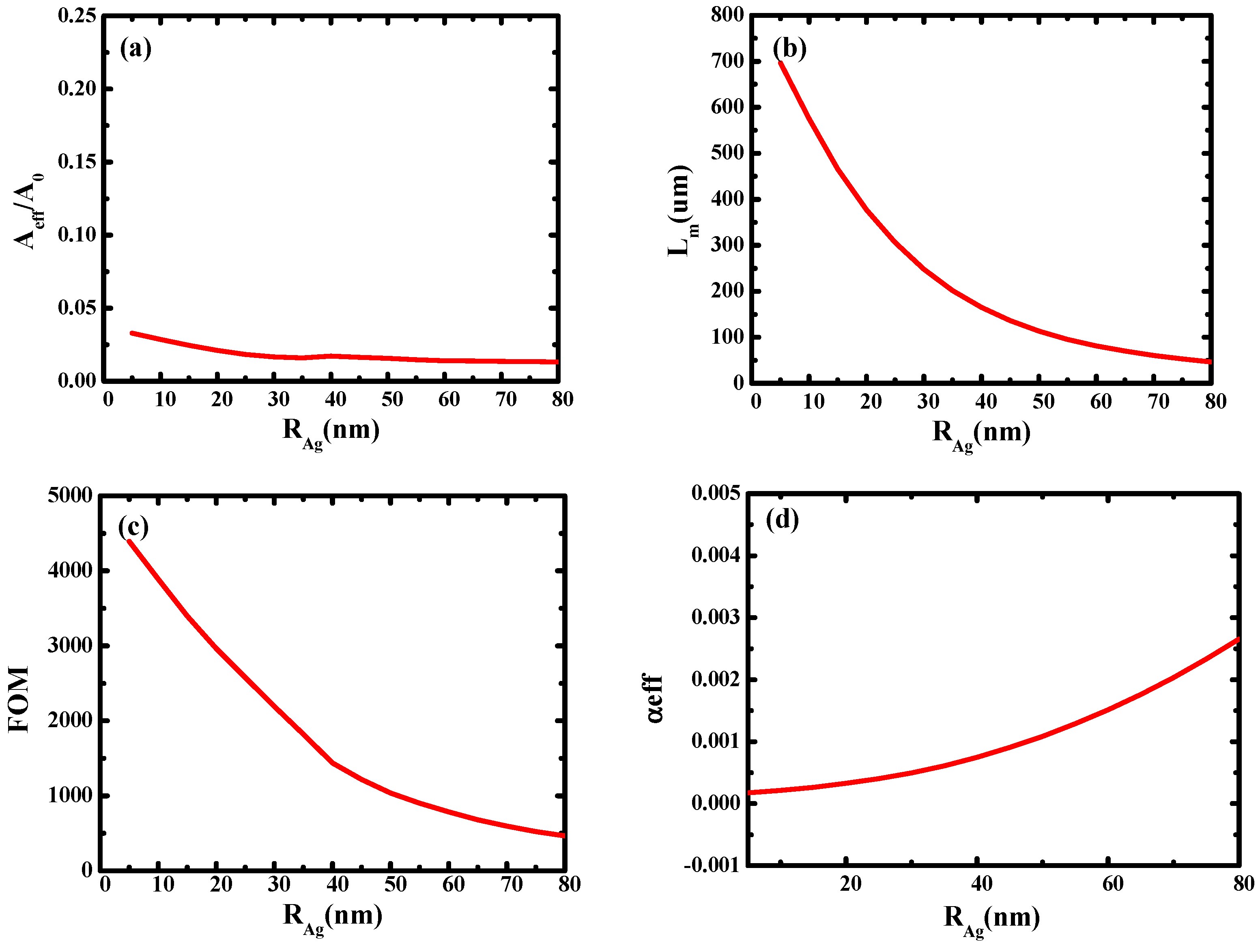
4. Results and Discussion
5. Conclusions
Author Contributions
Funding
Data Availability Statement
Acknowledgments
Conflicts of Interest
References
- Chandra, V.; Ranjan, R. Performance analysis of different slot waveguide structures for evanescent field based gas sensor applications. Opt. Quantum Electron. 2021, 53, 457. [Google Scholar] [CrossRef]
- Wang, Y.; Liu, H.; Wang, S.; Cai, M. Hybrid Nanowire–Rectangular Plasmonic Waveguide for Subwavelength Confinement at 1550 Nm. Micromachines 2022, 13, 1009. [Google Scholar] [CrossRef]
- Piels, M.; Bowers, J.E. Photodetectors for silicon photonic integrated circuits. In Photodetectors; Elsevier: Amsterdam, The Netherlands, 2023; pp. 419–436. [Google Scholar] [CrossRef]
- Ye, Z.; Tan, C.; Huang, X.; Ouyang, Y.; Yang, L.; Wang, Z.; Dong, M. Emerging MoS2 Wafer-Scale Technique for Integrated Circuits. Nano-Micro Lett. 2023, 15, 38. [Google Scholar] [CrossRef] [PubMed]
- Zhang, Y.; Wu, J.; Jia, L.; Qu, Y.; Yang, Y.; Jia, B.; Moss, D.J. Graphene oxide for nonlinear integrated photonics. Laser Photonics Rev. 2023, 17, 2200512. [Google Scholar] [CrossRef]
- Hu, Y.; Zhang, Y.; Su, G.; Zhao, M.; Li, B.; Liu, Y.; Li, Z. Realization of ultrathin waveguides by elastic metagratings. Commun. Phys. 2022, 5, 62. [Google Scholar] [CrossRef]
- Liu, L.; Yang, Y.; Yu, C.; Li, S.; Wu, H.; Sun, L.; Meng, F. A substrate integrated waveguide-based W-band antenna for microwave power transmission. Micromachines 2022, 13, 986. [Google Scholar] [CrossRef]
- Wang, Y.; Wang, S.; Cai, M.; Liu, H. A long propagation distance hybrid triangular prism waveguide for ultradeep subwavelength confinement. IEEE Sens. J. 2019, 19, 11159–11166. [Google Scholar] [CrossRef]
- Adhikari, R.; Sbeah, Z.; Chauhan, D.; Chang, S.H.; Dwivedi, R.P. A voyage from plasmonic to hybrid waveguide refractive index sensors based on wavelength interrogation technique: A review. Braz. J. Phys. 2022, 52, 61. [Google Scholar] [CrossRef]
- Ozcan, C.; Aitchison, J.S.; Mojahedi, M. Optimization of bulk sensitivity for strip, slot, and subwavelength grating-based waveguides for dual-polarization operation. Opt. Express 2023, 31, 3579–3594. [Google Scholar] [CrossRef]
- Chen, Y.; Zheng, X.; Zhang, X.; Pan, W.; Wang, Z.; Li, S.; Dong, S.; Liu, F.; He, Q.; Zhou, L. Efficient Meta-couplers Squeezing Propagating Light into On-Chip Subwavelength Devices in a Controllable Way. Nano Lett. 2023, 23, 3326–3333. [Google Scholar] [CrossRef]
- Sun, H.; Chen, L.R. Polarization independent Bragg gratings using tilted subwavelength grating waveguide Bragg gratings. Opt. Express 2023, 31, 1214–1223. [Google Scholar] [CrossRef] [PubMed]
- Dionne, J.; Sweatlock, L.; Atwater, H.; Polman, A. Plasmon slot waveguides: Towards chip-scale propagation with subwavelength-scale localization. Phys. Rev. B 2006, 73, 035407. [Google Scholar] [CrossRef]
- Oulton, R.F.; Sorger, V.J.; Genov, D.; Pile, D.; Zhang, X. A hybrid plasmonic waveguide for subwavelength confinement and long-range propagation. Nat. Photonics 2008, 2, 496–500. [Google Scholar] [CrossRef]
- Ghosh, S.K.; Das, S.; Bhattacharyya, S. Graphene-Metal Hybrid Metasurface for Tunable Bandpass Filter in Terahertz Region. In Proceedings of the 2021 IEEE Indian Conference on Antennas and Propagation (InCAP), Jaipur, India, 13–16 December 2021; pp. 812–815. [Google Scholar]
- Kumar, M.; Prasad, S. Mid-infrared sensor based on resonance excitation of graphene plasmon polariton-coupled Bloch surface modes at the interface of anisotropically truncated one-dimensional ternary photonic crystal. Waves Random Complex Media 2021, 1–16. [Google Scholar] [CrossRef]
- Zangeneh, A.M.R.; Farmani, A.; Mozaffari, M.H.; Mir, A. Enhanced sensing of terahertz surface plasmon polaritons in graphene/J-aggregate coupler using FDTD method. Diam. Relat. Mater. 2022, 125, 109005. [Google Scholar] [CrossRef]
- Kumar, V.; Nisika, N.; Kumar, M. Modified absorption and emission properties leading to intriguing applications in plasmonic–excitonic nanostructures. Adv. Opt. Mater. 2021, 9, 2001150. [Google Scholar] [CrossRef]
- Dai, Y.; Ghosh, A.; Yang, S.; Zhou, Z.; Huang, C.-B.; Petek, H. Poincaré engineering of surface plasmon polaritons. Nat. Rev. Phys. 2022, 4, 562–564. [Google Scholar] [CrossRef]
- He, X.; Hu, H.; Yang, Z.; Cai, Y.; Wang, W.; Han, Z.; Shi, J.; Xu, H. On-chip detection of multiwavelength surface plasmon polaritons based on plasmonic demultiplexers. ACS Photonics 2022, 9, 391–397. [Google Scholar] [CrossRef]
- Uqaili, J.A.; Qi, L.; Memon, K.A.; Bilal, H.M.; Memon, S.; Khan, H.A.; Uqaili, R.S.; Soomro, F.B. Research on Spoof Surface Plasmon Polaritons (SPPs) at Microwave Frequencies: A Bibliometric Review. Plasmonics 2022, 17, 1203–1230. [Google Scholar] [CrossRef]
- Wu, C.-H.; Ku, C.-J.; Yu, M.-W.; Yang, J.-H.; Lu, T.-C.; Lin, T.-R.; Yang, C.-S.; Chen, K.-P. Nonscattering Photodetection in the Propagation of Unidirectional Surface Plasmon Polaritons Embedded with Graphene. ACS Appl. Mater. Interfaces 2022, 14, 30299–30305. [Google Scholar] [CrossRef]
- Zahir, A.; Bashir, A.I.; Hayat, S.S. Quantum coherence-assisted optical properties and drag of SPPs on quantum dots and resonantly-coupled dots-metal plasmonic interfaces via interbands tunneling and Fano resonance. Opt. Mater. 2022, 126, 112227. [Google Scholar] [CrossRef]
- Wang, Y.; Liu, H.; Wang, S.; Cai, M.; Zhang, H.; Qiao, Y. Electrical phase control based on graphene surface plasmon polaritons in mid-infrared. Nanomaterials 2020, 10, 576. [Google Scholar] [CrossRef]
- Liu, J.F.; Wu, J.W.; Fu, X.; Zhang, H.C.; Tang, W.; Cui, T.J. Spin-Controlled Reconfigurable Excitations of Spoof Surface Plasmon Polaritons by a Compact Structure. Laser Photonics Rev. 2023, 17, 2200257. [Google Scholar] [CrossRef]
- Wang, Y.; Yu, J.; Mao, Y.-F.; Chen, J.; Wang, S.; Chen, H.-Z.; Zhang, Y.; Wang, S.-Y.; Chen, X.; Li, T. Stable, high-performance sodium-based plasmonic devices in the near infrared. Nature 2020, 581, 401–405. [Google Scholar] [CrossRef]
- Gao, J.; Hou, C.; Wang, F.; Liu, H.; Ma, T. A directional coupler based on graphene-enhanced Na-loaded plasmonic rib waveguide. Opt. Commun. 2021, 499, 127316. [Google Scholar] [CrossRef]
- Asadi, A.; Jafari, M.; Shahmansouri, M. Simulation optimized design of graphene-based hybrid plasmonic waveguide. Indian J. Phys. 2023, 97, 2515–2522. [Google Scholar] [CrossRef]
- Heydari, M.B. Tunable SPPs supported by hybrid graphene-gyroelectric waveguides: An analytical approach. Opt. Quantum Electron. 2022, 54, 136. [Google Scholar] [CrossRef]
- Kong, W.; Liu, Q.; Yin, R.; Ni, X. Mode confinement enhanced in hybrid Bloch surface wave long-range waveguide. Opt. Eng. 2023, 62, 015108. [Google Scholar] [CrossRef]
- Qin, Y.; Ma, C.; Huang, L.; Yuan, Y.; Sha, M.; Ye, X.; Zheng, K. Highly confined low-loss light transmission in linear array-enabled hybrid plasmonic waveguides. J. Opt. 2023, 25, 065802. [Google Scholar] [CrossRef]
- Zheng, K.; Yuan, Y.; He, J.; Gu, G.; Zhang, F.; Chen, Y.; Song, J.; Qu, J. Ultra-high light confinement and ultra-long propagation distance design for integratable optical chips based on plasmonic technology. Nanoscale 2019, 11, 4601–4613. [Google Scholar] [CrossRef]
- He, X.; Liu, F.; Lin, F.; Shi, W. Tunable 3D Dirac-semimetals supported mid-IR hybrid plasmonic waveguides. Opt. Lett. 2021, 46, 472–475. [Google Scholar] [CrossRef] [PubMed]
- Gao, Z.; Wildenborg, A.; Kocoj, C.A.; Liu, E.; Sheofsky, C.; Rawashdeh, A.; Qu, H.; Guo, P.; Suh, J.Y.; Yang, A. Low-Loss Plasmonics with Nanostructured Potassium and Sodium–Potassium Liquid Alloys. Nano Lett. 2023, 23, 7150–7156. [Google Scholar] [CrossRef] [PubMed]
- Teng, D.; Tian, Y.; Hu, X.; Guan, Z.; Gao, W.; Li, P.; Fang, H.; Yan, J.; Wang, Z.; Wang, K. Sodium-based cylindrical plasmonic waveguides in the near-infrared. Nanomaterials 2022, 12, 1950. [Google Scholar] [CrossRef] [PubMed]
- Cheng, Z.; Cao, R.; Wei, K.; Yao, Y.; Liu, X.; Kang, J.; Dong, J.; Shi, Z.; Zhang, H.; Zhang, X. 2D materials enabled next-generation integrated optoelectronics: From fabrication to applications. Adv. Sci. 2021, 8, 2003834. [Google Scholar] [CrossRef] [PubMed]
- Tang, Z.; Chen, S.; Li, D.; Wang, X.; Pan, A. Two-dimensional optoelectronic devices for silicon photonic integration. J. Mater. 2022, 9, 551–567. [Google Scholar] [CrossRef]
- Cheng, Z.; Guo, R.; Wang, J.; Wang, Y.; Xing, Z.; Ma, L.; Wei, W.; Yu, Y.; Tsang, H.K.; Liu, T. Integrated optoelectronics with two-dimensional materials. Natl. Sci. Open 2022, 1, 20220022. [Google Scholar] [CrossRef]
- Wang, Y.; Liu, H.; Wang, S.; Cai, M. A waveguide-integrated graphene-based subwavelength electro-optic switch at 1550 nm. Opt. Commun. 2021, 495, 127121. [Google Scholar] [CrossRef]
- Chen, P.-L.; Chen, Y.; Chang, T.-Y.; Li, W.-Q.; Li, J.-X.; Lee, S.; Fang, Z.; Li, M.; Majumdar, A.; Liu, C.-H. Waveguide-Integrated van der Waals Heterostructure Mid-Infrared Photodetector with High Performance. ACS Appl. Mater. Interfaces 2022, 14, 24856–24863. [Google Scholar] [CrossRef]
- Wang, S.; Chung, K.L.; Kong, F.; Du, L.; Li, K. A compact wide-angle frequency beam-scanning antenna using modulated composite waveguide based on half-mode substrate integrated waveguide and spoof surface plasmon polariton structure. AEU-Int. J. Electron. Commun. 2022, 145, 154078. [Google Scholar] [CrossRef]
- Dong, L.; Liu, H.; Wang, S.; Qu, S.; Wu, L. Hybrid Tube-Triangle Plasmonic Waveguide for Ultradeep Subwavelength Confinement. J. Light. Technol. 2017, 35, 2259–2265. [Google Scholar] [CrossRef]
- Bian, Y.; Gong, Q. Deep-subwavelength light confinement and transport in hybrid dielectric-loaded metal wedges. Laser Photonics Rev. 2014, 8, 549–561. [Google Scholar] [CrossRef]
- Bian, Y.; Zheng, Z.; Yang, P.; Xiao, J.; Wang, G.; Liu, L.; Liu, J.; Zhu, J.; Zhou, T. Silicon-slot-mediated guiding of plasmonic modes: The realization of subwavelength optical confinement with low propagation loss. IEEE J. Sel. Top. Quantum Electron. 2013, 20, 181–188. [Google Scholar] [CrossRef]
- Wang, Y.; Liu, H.; Wang, S.; Cai, M. Wide-range tunable narrow band-stop filter based on bilayer graphene in the mid-infrared region. IEEE Photonics J. 2020, 12, 1–9. [Google Scholar] [CrossRef]








Disclaimer/Publisher’s Note: The statements, opinions and data contained in all publications are solely those of the individual author(s) and contributor(s) and not of MDPI and/or the editor(s). MDPI and/or the editor(s) disclaim responsibility for any injury to people or property resulting from any ideas, methods, instructions or products referred to in the content. |
© 2023 by the authors. Licensee MDPI, Basel, Switzerland. This article is an open access article distributed under the terms and conditions of the Creative Commons Attribution (CC BY) license (https://creativecommons.org/licenses/by/4.0/).
Share and Cite
Wang, Y.; Wang, S.; Zhao, J.; Xue, M. Dual Coupled Long-Range Hybrid Surface Plasmon Polariton Waveguide for Sub-Wavelength Confinement. Micromachines 2023, 14, 2167. https://doi.org/10.3390/mi14122167
Wang Y, Wang S, Zhao J, Xue M. Dual Coupled Long-Range Hybrid Surface Plasmon Polariton Waveguide for Sub-Wavelength Confinement. Micromachines. 2023; 14(12):2167. https://doi.org/10.3390/mi14122167
Chicago/Turabian StyleWang, Yindi, Shulong Wang, Juanning Zhao, and Mingyuan Xue. 2023. "Dual Coupled Long-Range Hybrid Surface Plasmon Polariton Waveguide for Sub-Wavelength Confinement" Micromachines 14, no. 12: 2167. https://doi.org/10.3390/mi14122167
APA StyleWang, Y., Wang, S., Zhao, J., & Xue, M. (2023). Dual Coupled Long-Range Hybrid Surface Plasmon Polariton Waveguide for Sub-Wavelength Confinement. Micromachines, 14(12), 2167. https://doi.org/10.3390/mi14122167

