Designing a Microfluidic Chip Driven by Carbon Dioxide for Separation and Detection of Particulate Matter
Abstract
1. Introduction
2. Theoretical Analysis and Methods
2.1. Theoretical Analysis
2.2. Methods
3. Results and Discussion
3.1. Flow and Pressure Analysis
3.2. Nozzle Inlet Length (Y) Analysis
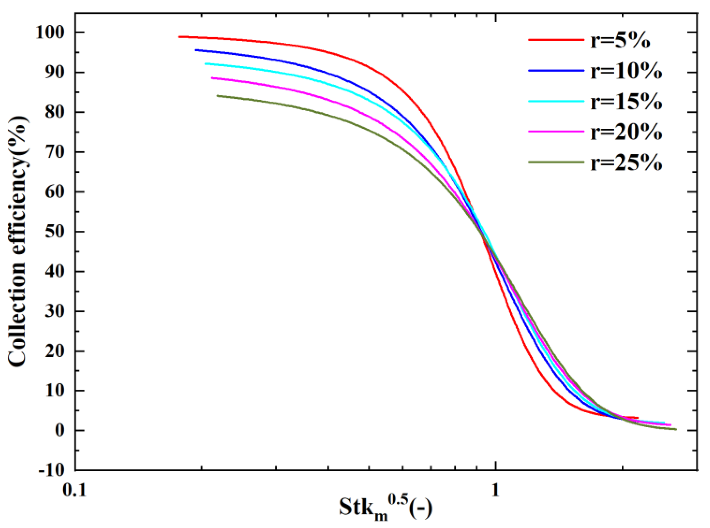
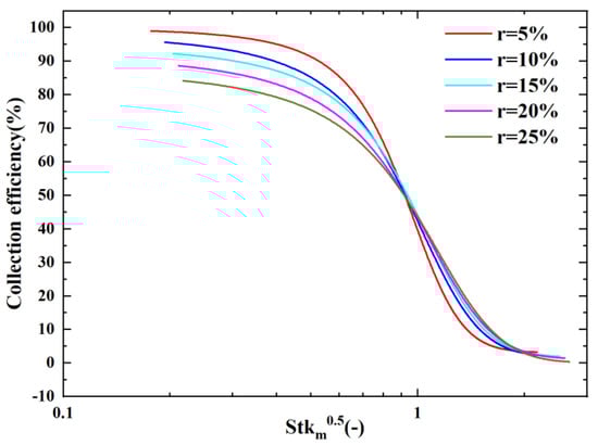
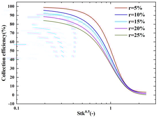
3.3. Splitting Ratio (r) Analysis
3.4. Temperature (T) Analysis
3.5. Fluid Property Analysis
3.6. Result of the Simulation
4. Conclusions
Author Contributions
Funding
Data Availability Statement
Conflicts of Interest
References
- Mukherjee, A.; Agrawal, M. World air particulate matter: Sources, distribution and health effects. Environ. Chem. Lett. 2017, 15, 283–309. [Google Scholar] [CrossRef]
- Kioumourtzoglou, M.A.; Schwartz, J.D.; Weisskopf, M.G.; Melly, S.J.; Wang, Y.; Dominici, F.; Zanobetti, A. Long-term PM2.5 Exposure and Neurological Hospital Admissions in the Northeastern United States. Environ. Health Perspect. 2016, 124, 23–29. [Google Scholar] [CrossRef]
- Loxham, M.; Davies, D.E.; Holgate, S.T. The health effects of fine particulate air pollution. BMJ 2019, 367, l6609. [Google Scholar] [CrossRef]
- Lee, D.W.; Han, C.W.; Hong, Y.C.; Oh, J.M.; Bae, H.J.; Kim, S.; Lim, Y.H. Long-term exposure to fine particulate matter and incident asthma among elderly adults. Chemosphere 2021, 272, 129619. [Google Scholar] [CrossRef]
- Le, T.-C.; Tsai, C.-J. Inertial Impaction Technique for the Classification of Particulate Matters and Nanoparticles: A Review. KONA Powder Part. J. 2021, 38, 42–63. [Google Scholar] [CrossRef]
- Conner, W.D. An inertial-type particle separator for collecting large samples. J. Air Pollut. Control Assoc. 1966, 16, 35–38. [Google Scholar] [CrossRef]
- Marple, V.A.; Liu, B.Y.H. Characteristics of laminar jet impactors. Environ. Sci. Technol. 1974, 8, 648–654. [Google Scholar] [CrossRef]
- Marple, V.A.; Chien, C.M.J.E.S. Virtual impactors: A theoretical study. Environ. Sci. Technol. 1980, 14, 976–985. [Google Scholar] [CrossRef] [PubMed]
- Middha, P.; Wexler, A.S. Design of a Slot Nanoparticle Virtual Impactor. Aerosol Sci. Technol. 2006, 40, 737–743. [Google Scholar] [CrossRef]
- Tang, J.B. Serum and Tissue Cytokines and Chemokines Increase with Repetitive Upper Extremity Tasks. Yearb. Hand Up. Limb Surg. 2009, 2009, 71–72. [Google Scholar] [CrossRef]
- Lee, H.; Jo, D.-H.; Kim, W.-G.; Yook, S.-J.; Ahn, K.-H. Effect of an Orifice on Collection Efficiency and Wall Loss of a Slit Virtual Impactor. Aerosol Sci. Technol. 2013, 48, 121–127. [Google Scholar] [CrossRef]
- Chen, H.-Y.; Huang, H.-L. Numerical and experimental study of virtual impactor design and aerosol separation. J. Aerosol Sci. 2016, 94, 43–55. [Google Scholar] [CrossRef]
- Zahir, M.Z.; Heo, J.-E.; Yook, S.-J. Effects of Three-partitioned Horizontal Inlet and Clean Air on Collection Efficiency and Wall Loss of Slit Virtual Impactors. Aerosol Air Qual. Res. 2018, 18, 1131–1140. [Google Scholar] [CrossRef]
- Heo, J.-E.; Zahir, M.Z.; Park, H.; Seo, J.; Park, H.; Yook, S.-J. Effect of horizontal inlet on slit-nozzle virtual impactor performance. J. Mech. Sci. Technol. 2018, 32, 2419–2424. [Google Scholar] [CrossRef]
- Chang, P.-K.; Hsiao, T.-C.; Engling, G.; Chen, J.-C. Computational fluid dynamics study of the effects of flow and geometry parameters on a linear-slit virtual impactor for sampling and concentrating aerosols. J. Aerosol Sci. 2019, 131, 28–40. [Google Scholar] [CrossRef]
- Wang, R.; Zhao, H.; Li, J.; Wang, X. Computational Fluid Dynamics Study of the Effects of Temperature and Geometry Parameters on a Virtual Impactor. Micromachines 2022, 13, 1477. [Google Scholar] [CrossRef]
- Kim, Y.-H.; Maeng, J.-Y.; Park, D.; Jung, I.-H.; Hwang, J.; Kim, Y.-J. Micromachined cascade virtual impactor with a flow rate distributor for wide range airborne particle classification. Appl. Phys. Lett. 2007, 91, 043512. [Google Scholar] [CrossRef]
- Kim, Y.H.; Park, D.; Hwang, J.; Kim, Y.J. Integrated particle detection chip for environmental monitoring. Lab Chip 2008, 8, 1950–1956. [Google Scholar] [CrossRef]
- Dong, M.; Iervolino, E.; Santagata, F.; Zhang, G.; Zhang, G. Integrated Virtual Impactor Enabled PM2.5Sensor. IEEE Sens. J. 2017, 17, 2814–2821. [Google Scholar] [CrossRef]
- Wang, Y.; Wang, Y.; Liu, W.; Chen, D.; Wu, C.; Xie, J. An aerosol sensor for PM1 concentration detection based on 3D printed virtual impactor and SAW sensor. Sens. Actuators A Phys. 2019, 288, 67–74. [Google Scholar] [CrossRef]
- Chen, T.; Sun, J.; Ma, T.; Li, T.; Liu, C.; Zhu, X.; Xue, N. Design and Analysis of Particulate Matter Air-Microfluidic Grading Chip Based on MEMS. Micromachines 2019, 10, 497. [Google Scholar] [CrossRef] [PubMed]
- Li, Y.; Xu, Y.; Jiang, J.; Zhu, X.; Guo, R.; Sun, J. Design and Characterization of a Microfluidic Circuit for Air Particulate Matter Separation. Micromachines 2022, 13, 252. [Google Scholar] [CrossRef]
- Wang, P.; Yuan, S.; Oppong, P.K.; Yang, N. A sheathed virtual impactor—Microseparator for improved separation of sub- and supercritical sized particles. J. Aerosol Sci. 2022, 164, 105999. [Google Scholar] [CrossRef]
- Singh, N.; Elsayed, M.Y.; El-Gamal, M.N. Towards the World’s Smallest Gravimetric Particulate Matter Sensor: A Miniaturized Virtual Impactor with a Folded Design. Sensors 2022, 22, 1727. [Google Scholar] [CrossRef] [PubMed]
- Golubkin, V.N.; Sizykh, G.B. Viscous Gas Flow between Vertical Walls. Fluid Dyn. 2019, 53, 11–18. [Google Scholar] [CrossRef]
















| Parameter | Value | Unit |
|---|---|---|
| W (acceleration nozzle width) | 1.5 | mm |
| H (nozzle height) | 1.5 | mm |
| L (minor flow width) | 1.5 | mm |
| Y (nozzle inlet length) | 4 | mm |
| S (jet to the plate) | 1.8 | mm |
| r (splitting ratio) | 10% | - |
| T (temperature) | 203.15 | K |
| Q (flow rate) | 2.9 | L/min |
| λ (Air molecule mean free range) | 0.066 | μm |
| (Particle density) | 1000 | Kg/m3 |
| Fluid | CO2 | - |
Disclaimer/Publisher’s Note: The statements, opinions and data contained in all publications are solely those of the individual author(s) and contributor(s) and not of MDPI and/or the editor(s). MDPI and/or the editor(s) disclaim responsibility for any injury to people or property resulting from any ideas, methods, instructions or products referred to in the content. |
© 2023 by the authors. Licensee MDPI, Basel, Switzerland. This article is an open access article distributed under the terms and conditions of the Creative Commons Attribution (CC BY) license (https://creativecommons.org/licenses/by/4.0/).
Share and Cite
Wang, R.; Zhao, H.; Wang, X.; Li, J. Designing a Microfluidic Chip Driven by Carbon Dioxide for Separation and Detection of Particulate Matter. Micromachines 2023, 14, 183. https://doi.org/10.3390/mi14010183
Wang R, Zhao H, Wang X, Li J. Designing a Microfluidic Chip Driven by Carbon Dioxide for Separation and Detection of Particulate Matter. Micromachines. 2023; 14(1):183. https://doi.org/10.3390/mi14010183
Chicago/Turabian StyleWang, Ruofei, Heng Zhao, Xingbo Wang, and Jiaqi Li. 2023. "Designing a Microfluidic Chip Driven by Carbon Dioxide for Separation and Detection of Particulate Matter" Micromachines 14, no. 1: 183. https://doi.org/10.3390/mi14010183
APA StyleWang, R., Zhao, H., Wang, X., & Li, J. (2023). Designing a Microfluidic Chip Driven by Carbon Dioxide for Separation and Detection of Particulate Matter. Micromachines, 14(1), 183. https://doi.org/10.3390/mi14010183

