Study on the Stability of Functionally Graded Simply Supported Fluid-Conveying Microtube under Multi-Physical Fields
Abstract
:1. Introduction
2. Governing Equations
3. Galerkin Method
4. Numerical Results and Discussion
4.1. Validation of Model
4.2. Influence of Parameters on Vibration Characteristics of Microtube
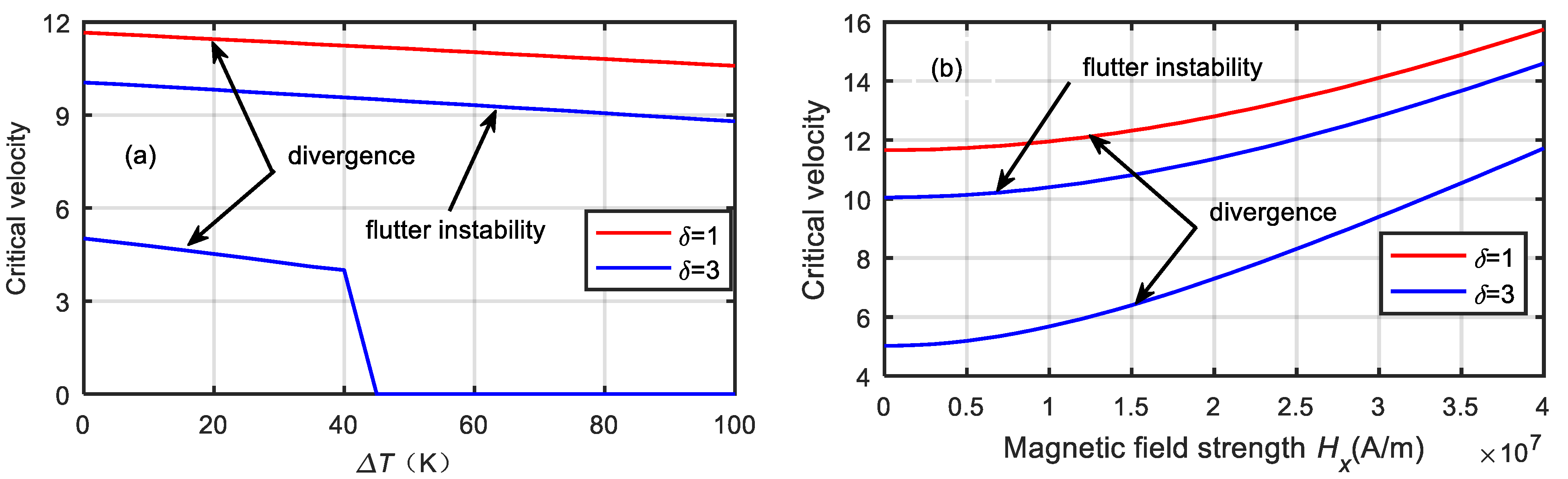
4.3. Influence of Parameters on Critical Velocity of Microtube
5. Conclusions
Author Contributions
Funding
Acknowledgments
Conflicts of Interest
References
- Zhang, W.M.; Yan, H.; Jiang, H.M.; Hu, K.M.; Peng, Z.K.; Meng, G. Dynamics of suspended microchannel resonators conveying opposite internal fluid flow: Stability, frequency shift and energy dissipation. J. Sound Vib. 2016, 368, 103–120. [Google Scholar] [CrossRef]
- Wang, Y.; Modena, M.M.; Platen, M.; Schaap, I.A.T.; Burg, T.P. Label-free measurement of amyloid elongation by suspended microchannel resonators. Anal. Chem. 2015, 87, 1821–1828. [Google Scholar] [CrossRef] [PubMed]
- Burg, T.P.; Godin, M.; Knudsen, S.M.; Shen, W.; Carlson, G.; Foster, J.S.; Babcock, K.; Manalis, S.R. Weighing of biomolecules, single cells and single nanoparticles in fluid. Nature 2007, 446, 1066–1069. [Google Scholar] [CrossRef] [PubMed] [Green Version]
- Mohammadimehr, M.; Mehrabi, M. Electro-thermo-mechanical vibration and stability analyses of double-bonded micro composite sandwich piezoelectric tubes conveying fluid flow. Appl. Math. Model. 2018, 60, 255–272. [Google Scholar] [CrossRef]
- Fleck, N.A.; Muller, G.M.; Ashby, M.F.; Hutchinson, J.W. Strain gradient plasticity: Theory and experiment. Acta Metall. Materalia 1994, 42, 475–487. [Google Scholar] [CrossRef]
- Lam, D.C.C.; Yang, F.; Chong, A.C.M.; Wang, J.; Tong, P. Experiments and theory in strain gradient elasticity. J. Mech. Phys. Solids 2003, 51, 1477–1508. [Google Scholar] [CrossRef]
- Yang, F.; Chong, A.C.M.; Lam, D.C.C.; Tong, P. Couple stress based strain gradient theory for elasticity. Int. J. Solids Struct. 2002, 39, 2731–2743. [Google Scholar] [CrossRef]
- Ghayesh, M.H.; Farajpour, A.; Farokhi, H. Viscoelastically coupled mechanics of fluid-conveying microtubes. Int. J. Eng. Sci. 2019, 145, 103139. [Google Scholar] [CrossRef]
- Guo, Y.; Xie, J.H.; Wang, L. Three-dimensional vibration of cantilevered fluid-conveying micropipes—Types of periodic motions and small-scale effect. Int. J. Non-Linear Mech. 2018, 102, 112–135. [Google Scholar] [CrossRef]
- Dehrouyeh-Semnani, A.M.; Nikkhah-Bahrami, M.; Yazdi, M.R.H. On nonlinear vibrations of micropipes conveying fluid. Int. J. Eng. Sci. 2017, 117, 20–33. [Google Scholar] [CrossRef]
- Dehrouyeh-Semnani, A.M.; Koloukhi, H.Z.; Dehdashti, E.; Nikkhah-Bahrami, M. A parametric study on nonlinear flow-induced dynamics of a fluid-conveying cantilevered pipe in post-flutter region from macro to micro scale. Int. J. Non-Linear Mech. 2016, 85, 207–225. [Google Scholar] [CrossRef]
- Hu, K.; Wang, Y.K.; Dai, H.L.; Wang, L.; Qian, Q. Nonlinear and chaotic vibrations of cantilevered micropipes conveying fluid based on modified couple stress theory. Int. J. Eng. Sci. 2016, 105, 93–107. [Google Scholar] [CrossRef]
- Hosseini, M.; Bahaadini, R. Size dependent stability analysis of cantilever micro-pipes conveying fluid based on modified strain gradient theory. Int. J. Eng. Sci. 2016, 101, 1–13. [Google Scholar] [CrossRef]
- Yang, T.Z.; Ji, S.; Yang, X.D.; Fang, B. Microfluid-induced nonlinear free vibration of microtubes. Int. J. Eng. Sci. 2014, 76, 47–55. [Google Scholar] [CrossRef]
- Wang, L.; Liu, H.T.; Ni, Q.; Wu, Y. Flexural vibrations of microscale pipes conveying fluid by considering the size effects of micro-flow and micro-structure. Int. J. Eng. Sci. 2013, 71, 92–101. [Google Scholar] [CrossRef]
- Zhang, Y.T.; Jin, G.Y.; Chen, M.F.; Ye, T.G.; Liu, Z.G. Isogeometric free vibration of sector cylindrical shells with carbon nanotubes reinforced and functionally graded materials. Results Phys. 2020, 16, 102889. [Google Scholar] [CrossRef]
- Hołubowski, R.; Glabisz, W.; Jarczewska, K. Transverse vibration analysis of a single-walled carbon nanotube under a random load action. Phys. E 2019, 109, 242–247. [Google Scholar] [CrossRef]
- Farajpour Ouderji, A.; Farokhi, H.; Ghayesh, M.; Hussain, S. Nonlinear mechanics of nanotubes conveying fluid. Int. J. Eng. Sci. 2018, 133, 132–143. [Google Scholar] [CrossRef]
- Bahaadini, R.; Saidi, A.R.; Hosseini, M. On dynamics of nanotubes conveying nanoflow. Int. J. Eng. Sci. 2018, 123, 181–196. [Google Scholar] [CrossRef]
- Bahaadini, R.; Hosseini, M.; Jamali, B. Flutter and divergence instability of supported piezoelectric nanotubes conveying fluid. Phys. B Condens. Matter 2018, 529, 57–65. [Google Scholar] [CrossRef]
- Deng, J.Q.; Liu, Y.S.; Zhang, Z.J. Size-dependent vibration and stability of multi-span viscoelastic functionally graded material nanopipes conveying fluid using a hybrid method. Compos. Struct. 2017, 179, 590–600. [Google Scholar] [CrossRef]
- Tong, G.J.; Liu, Y.S.; Cheng, Q.; Dai, J. Stability analysis of cantilever functionally graded material nanotube under thermo-magnetic coupling effect. Eur. J. Mech. A-Solid 2020, 80, 103929. [Google Scholar] [CrossRef]
- Lyu, Z.; Yang, Y.W.; Liu, H. High-accuracy hull iteration method for uncertainty propagation in fluid-conveying carbon nanotube system under multi-physical fields. Appl. Math. Model. 2020, 79, 362–380. [Google Scholar] [CrossRef]
- Ghane, M.; Saidi, A.R.; Bahaadini, R. Vibration of fluid-conveying nanotubes subjected to magnetic field based on the thin-walled Timoshenko beam theory. Appl. Math. Model. 2020, 80, 65–83. [Google Scholar] [CrossRef]
- Zhu, B.; Chen, X.C.; Dong, Y.H.; Li, Y.H. Stability analysis of cantilever carbon nanotubes subjected to partially distributed tangential force and viscoelastic foundation. Appl. Math. Model. 2019, 73, 190–209. [Google Scholar] [CrossRef]
- Bahaadini, R.; Hosseini, M. Flow-induced and mechanical stability of cantilever carbon nanotubes subjected to an axial compressive load. Appl. Math. Model. 2018, 59, 597–613. [Google Scholar] [CrossRef]
- Hosseini, M.; Sadeghi-Goughari, M. Vibration and instability analysis of nanotubes conveying fluid subjected to a longitudinal magnetic field. Appl. Math. Model. 2016, 40, 2560–2576. [Google Scholar] [CrossRef]
- Hosseini, H.; Kolahchi, R. Seismic response of functionally graded-carbon nanotubes-reinforced submerged viscoelastic cylindrical shell in hygrothermal environment. Phys. E 2018, 102, 101–109. [Google Scholar] [CrossRef]
- Babaei, H.; Eslami, M.R. On nonlinear vibration and snap-through stability of porous FG curved micro-tubes using two-step perturbation technique. Compos. Struct. 2020, 247, 112447. [Google Scholar] [CrossRef]
- She, G.L.; Yuan, F.G.; Ren, Y.R.; Liu, H.B.; Xiao, W.S. Nonlinear bending and vibration analysis of functionally graded porous tubes via a nonlocal strain gradient theory. Compos. Struct. 2018, 203, 614–623. [Google Scholar] [CrossRef]
- Ansari, R.; Gholami, R.; Norouzzadeh, A.; Sahmani, S. Size-dependent vibration and instability of fluid-conveying functionally graded microshells based on the modified couple stress theory. Microfluid. Nanofluid. 2015, 19, 509–522. [Google Scholar] [CrossRef]
- Elaikh, T.E.; Abed, N.M. Stability of FG material micro-pipe conveying fluid. IJEE 2019, 10, 211–222. [Google Scholar]
- Elaikh, T.E.; Abed, N.M. Semi-analytic solution for stability and free vibration of functionally graded (FG) material micro-pipe conveying fluid. IJEE 2018, 9, 563–580. [Google Scholar]
- Setoodeh, A.R.; Afrahim, S. Nonlinear dynamic analysis of FG micro-pipes conveying fluid based on strain gradient theory. Compos. Struct. 2014, 116, 128–135. [Google Scholar] [CrossRef]
- Khodabakhsh, R.; Saidi, A.R.; Bahaadini, R. An analytical solution for nonlinear vibration and post-buckling of functionally graded pipes conveying fluid considering the rotary inertia and shear deformation effects. Appl. Ocean Res. 2020, 101, 102277. [Google Scholar] [CrossRef]
- Yin, L.; Qian, Q.; Wang, L. Strain gradient beam model for dynamics of microscale pipes conveying fluid. Appl. Math. Model. 2011, 35, 2864–2873. [Google Scholar] [CrossRef]
- Ni, Q.; Zhang, Z.L.; Wang, L. Application of the differential transformation method to vibration analysis of pipes conveying fluid. Appl. Math. Comput. 2011, 217, 7028–7038. [Google Scholar] [CrossRef]










Publisher’s Note: MDPI stays neutral with regard to jurisdictional claims in published maps and institutional affiliations. |
© 2022 by the authors. Licensee MDPI, Basel, Switzerland. This article is an open access article distributed under the terms and conditions of the Creative Commons Attribution (CC BY) license (https://creativecommons.org/licenses/by/4.0/).
Share and Cite
Ma, T.; Mu, A. Study on the Stability of Functionally Graded Simply Supported Fluid-Conveying Microtube under Multi-Physical Fields. Micromachines 2022, 13, 895. https://doi.org/10.3390/mi13060895
Ma T, Mu A. Study on the Stability of Functionally Graded Simply Supported Fluid-Conveying Microtube under Multi-Physical Fields. Micromachines. 2022; 13(6):895. https://doi.org/10.3390/mi13060895
Chicago/Turabian StyleMa, Tao, and Anle Mu. 2022. "Study on the Stability of Functionally Graded Simply Supported Fluid-Conveying Microtube under Multi-Physical Fields" Micromachines 13, no. 6: 895. https://doi.org/10.3390/mi13060895
APA StyleMa, T., & Mu, A. (2022). Study on the Stability of Functionally Graded Simply Supported Fluid-Conveying Microtube under Multi-Physical Fields. Micromachines, 13(6), 895. https://doi.org/10.3390/mi13060895
