Design of a Highly Sensitive Photonic Crystal Fiber Sensor for Sulfuric Acid Detection
Abstract
:1. Introduction
2. Geometry of the Proposed Sensor
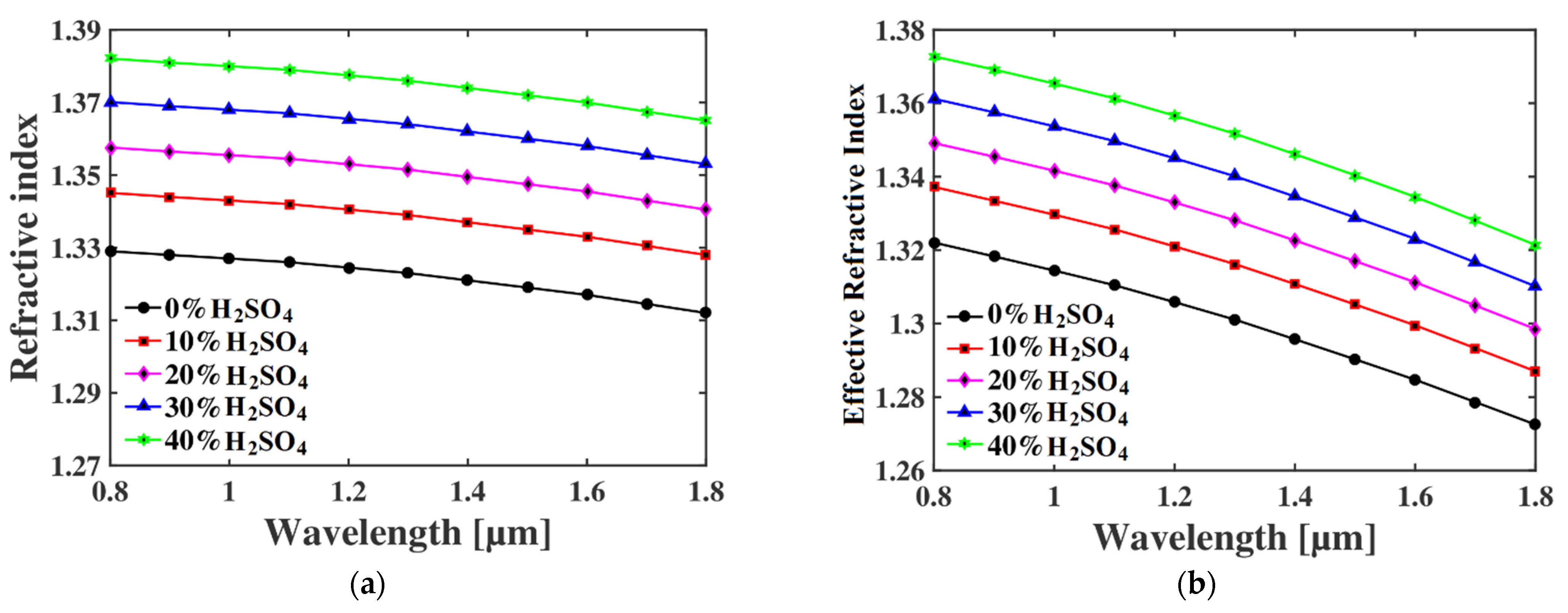
3. Results and Discussion
4. Conclusions
Author Contributions
Funding
Data Availability Statement
Acknowledgments
Conflicts of Interest
References
- Wagner, J.F. Mechanical properties of clay and clay minerals. Develop. Clay Sci. 2013, 5, 347–381. [Google Scholar] [CrossRef]
- World of Chemicals, Industrial Applications of Sulfuric Acid. Available online: https://www.worldofchemicals.com/430/chemistry-articles/industrial-applications-of-sulfuric-acid.html (accessed on 8 February 2022).
- Habib, M.A.; Anower, M.S. Square porous core microstructure fiber for low loss terahertz applications. Opt. Spectrosc. 2019, 126, 607–613. [Google Scholar] [CrossRef]
- Wu, J.; Liu, M.; Zhang, X.; Li, Y.; Wang, H.; Han, J. Terahertz Plasmon-Induced Transparency Effect in Parallel Plate Waveguide. IEEE Access 2021, 9, 16279–16285. [Google Scholar] [CrossRef]
- Habib, M.A.; Anower, M.S.; Hasan, M.R. Ultrahigh birefringence and extremely low loss slotted core microstructure fiber in terahertz regime. Curr. Opt. Photonics 2017, 1, 567–572. [Google Scholar]
- Bai, T.T.; Zhu, Y.F.; Chen, M.Y.; Xu, H. Design and investigation of terahertz hollow-core Bragg waveguide with axial periodic bridges. Opt. Eng. 2021, 60, 086105. [Google Scholar] [CrossRef]
- Razanoelina, M. Parallel plate waveguide terahertz time domain spectroscopy for ultrathin conductive films. J. Infrared Millim. Terahertz Waves 2015, 36, 1182–1194. [Google Scholar] [CrossRef]
- Habib, M.A.; Anower, M.S. Design and numerical analysis of highly birefringent single mode fiber in THz regime. Opt. Fiber Technol. 2019, 47, 197–203. [Google Scholar] [CrossRef]
- Hasan, M.M.; Pandey, T.; Habib, M.A. Highly sensitive hollow core fiber for spectroscopic sensing applications. Sens. Bio-Sens. Res. 2021, 34, 100456. [Google Scholar] [CrossRef]
- Bulbul, A.A.M.; Jibon, R.H.; Das, S.K.; Roy, T.; Saha, A.; Hossain, M.B. PCF based formalin detection by exploring the optical properties in THz regime. Nanosci. Nanotechnol. -Asia 2021, 11, 314–321. [Google Scholar] [CrossRef]
- Rahaman, M.E.; Jibon, R.H.; Mondal, H.S.; Hossain, M.B.; Bulbul, A.A.; Saha, R. Design and optimization of a PCF-based chemical sensor in THz regime. Sens. Bio-Sens. Res. 2021, 32, 100422. [Google Scholar] [CrossRef]
- Eid, M.M.A.; Habib, M.A.; Anower, M.S.; Rashed, A.N.Z. Hollow core photonic crystal fiber (PCF) based optical sensor for blood component detection in terahertz spectrum. Braz. J. Phys. 2021, 51, 1017–1025. [Google Scholar] [CrossRef]
- Hossain, M.S.; Sen, S. Design and performance improvement of optical chemical sensor based photonic crystal fiber (PCF) in the terahertz (THz) wave propagation. Silicon 2021, 13, 3879–3887. [Google Scholar] [CrossRef]
- Habib, M.A.; Anower, M.S.; Alghamdi, A.; Faragallah, O.S.; Eid, M.M.A.; Rashed, A.N.Z. Efficient way for detection of alcohols using hollow core photonic crystal fiber sensor. Opt. Rev. 2021, 28, 383–392. [Google Scholar] [CrossRef]
- Arif, M.F.H.; Ahmed, K.; Asaduzzaman, S.; Azad, M.A.K. Design and optimization of photonic crystal fiber for liquid sensing applications. Photonic Sens. 2016, 6, 279–288. [Google Scholar] [CrossRef] [Green Version]
- Wu, C.; Fu, H.Y.; Qureshi, K.K.; Guan, B.; Tam, H.Y. High pressure and high-temperature characteristics of a Fabry-Perot interferometer based on photonic crystal fiber. Opt. Lett. 2011, 36, 412–414. [Google Scholar] [CrossRef] [PubMed] [Green Version]
- Qureshi, K.K.; Liu, Z.; Tam, H.Y.; Zia, M.F. A strain sensor based on in-line fiber Mach-Zehnder interferometer in twin core photonic crystal fiber. Opt. Commun. 2013, 309, 68–70. [Google Scholar] [CrossRef]
- Rifat, A.A.; Ahmed, R.; Mahdiraji, G.A.; Adikan, F.R.M. Highly Sensitive D-Shaped Photonic Crystal Fiber-Based Plasmonic Biosensor in Visible to Near-IR. IEEE Sens. J. 2017, 17, 2776–2783. [Google Scholar] [CrossRef]
- Kaur, V.; Singh, S. Design of titanium nitride coated PCF-SPR sensor for liquid sensing applications. Opt. Fiber Technol. 2019, 48, 159–164. [Google Scholar] [CrossRef]
- Singh, S.; Prajapati, Y.K. TiO2/gold-graphene hybrid solid core SPR based PCF RI sensor for sensitivity enhancement. Optik 2020, 224, 165525. [Google Scholar] [CrossRef]
- Shakya, A.K.; Singh, S. Design of dual-polarized tetra core PCF based plasmonic RI sensor for visible-IR spectrum. Opt. Commun. 2021, 478, 126372. [Google Scholar] [CrossRef]
- Haider, F.; Aoni, R.A.; Ahmed, R.; Chew, W.J.; Mahdiraji, G.A. Plasmonic micro-channel based highly sensitive biosensor in visible to mid-IR. Opt. Laser Technol. 2021, 140, 107020. [Google Scholar] [CrossRef]
- Podder, E.; Hossain, M.B.; Jibon, R.H.; Bulbul, A.A.M.; Mondal, H.S. Chemical sensing through photonic crystal fiber: Sulfuric acid detection. Front. Optoelectron. 2019, 12, 372–381. [Google Scholar] [CrossRef]
- Habib, M.A.; Vera, E.R.; Aristizabal, J.C.V.; Anower, M.S. Numerical modelling of a rectangular hollow core waveguide for the detection of fuel adulteration in terahertz region. Fibers 2020, 8, 63. [Google Scholar] [CrossRef]
- Zhang, F.; Zhang, M.; Liu, X.; Ye, P. Design of wideband single-polarization single-mode photonic crystal fiber. J. Lightwave Technol. 2007, 25, 1184–1189. [Google Scholar] [CrossRef]
- Ferdous, A.H.M.I.; Anower, M.S.; Habib, M.A. A hybrid structured PCF for fuel adulteration detection in terahertz regime. Sens. Bio -Sens. Res. 2021, 33, 100438. [Google Scholar] [CrossRef]
- Khan, M.R.H.; Ali, F.M.; Islam, M.R. THz sensing of Covid-19 disinfection products using photonic crystal fiber. Sens. Bio- Sens. Res. 2021, 33, 100447. [Google Scholar] [CrossRef]
- Panda, A.; Pukhurambam, P.D. Design and analysis of porous core photonic crystal fiber based ethylene glycol sensor operated at infrared wavelengths. J. Comput. Electron. 2021, 20, 943–957. [Google Scholar] [CrossRef]
- Yang, J.; Zhang, H.; Zhang, X.; Chen, Z.; Xi, L.; Zhang, W. A hollow core circular photonic crystal fiber mode selective coupler for generating orbital angular momentum modes. Opt. Fiber Technol. 2021, 64, 102543. [Google Scholar] [CrossRef]
- Sadath, M.A.; Rahman, M.M.; Islam, M.S.; Hossain, M.S.; Faisal, M. Design optimization of suspended core photonic crystal fiber for polarization maintaining applications. Opt. Fiber Technol. 2021, 65, 102613. [Google Scholar] [CrossRef]
- Habib, M.A.; Anower, M.S.; Hasan, M.R. Highly birefringent and low effective material loss microstructure fiber for THz wave guidance. Opt. Commun. 2018, 423, 140–144. [Google Scholar] [CrossRef]









| Wavelength (µm) | 0.8 | 0.9 | 1.0 | 1.1 | 1.2 | 1.3 | 1.4 | 1.5 | 1.6 | 1.7 | 1.8 |
| RI of fused silica | 1.453 | 1.452 | 1.45 | 1.449 | 1.448 | 1.447 | 1.446 | 1.445 | 1.443 | 1.442 | 1.44 |
| Ref | Year | Sensing Analyte | Frequency/Wavelength | Sensitivity (%) | Confinement Loss (dB/m) | Numerical Aperture | Single-Mode Propagation |
|---|---|---|---|---|---|---|---|
| Methanol | 1.55 µm | 75.22 | 3.29 × 10−10 | 0.32 | Yes | ||
| Ethanol | 82.52 | 1.50 × 10−10 | 0.3 | Yes | |||
| [14] | 2021 | Propanol | 86.74 | 1.35 × 10−10 | 0.29 | Yes | |
| Butanol | 88.34 | 9.33 × 10−10 | 0.28 | No | |||
| Water | 1.33 µm | 50 | 4.25 × 10−10 | --- | N/A | ||
| [17] | 2016 | Ethanol | 55.83 | 8.72 × 10−10 | --- | N/A | |
| Benzene | 59.07 | 2.56 × 10−10 | --- | N/A | |||
| 0% H2SO4 | 1.5 µm | 60.7 | 8.48 × 10−19 | --- | N/A | ||
| 10% H2SO4 | 61.4 | 3.48 × 10−19 | --- | N/A | |||
| 20% H2SO4 | 62.0 | 1.96 × 10−19 | --- | N/A | |||
| [23] | 2019 | 30% H2SO4 | 62.70 | 3.25 × 10−20 | --- | N/A | |
| 40% H2SO4 | 63.4 | 1.42 × 10−20 | --- | N/A | |||
| 0% Petrol | 2.8 THz | 89.40 | N/A | ||||
| 20% Petrol | 88.85 | N/A | |||||
| 40% Petrol | 88.15 | N/A | |||||
| [24] | 2020 | 60% Petrol | 87.50 | Order of 10−8 | 0.36 | N/A | |
| 80% Petrol | 86.90 | N/A | |||||
| This work | 0% H2SO4 | 1.1 µm | 95.0 | 1.39 × 10−7 | Yes | ||
| 10% H2SO4 | 96.0 | 5.87 × 10−8 | Yes | ||||
| 20% H2SO4 | 96.8 | 1.65 × 10−8 | Yes | ||||
| 2022 | 30% H2SO4 | 97.4 | 7.33 × 10−9 | 0.28 | Yes | ||
| 40% H2SO4 | 97.8 | 2.53 × 10−9 | Yes |
Publisher’s Note: MDPI stays neutral with regard to jurisdictional claims in published maps and institutional affiliations. |
© 2022 by the authors. Licensee MDPI, Basel, Switzerland. This article is an open access article distributed under the terms and conditions of the Creative Commons Attribution (CC BY) license (https://creativecommons.org/licenses/by/4.0/).
Share and Cite
Habib, M.A.; Abdulrazak, L.F.; Magam, M.; Jamal, L.; Qureshi, K.K. Design of a Highly Sensitive Photonic Crystal Fiber Sensor for Sulfuric Acid Detection. Micromachines 2022, 13, 670. https://doi.org/10.3390/mi13050670
Habib MA, Abdulrazak LF, Magam M, Jamal L, Qureshi KK. Design of a Highly Sensitive Photonic Crystal Fiber Sensor for Sulfuric Acid Detection. Micromachines. 2022; 13(5):670. https://doi.org/10.3390/mi13050670
Chicago/Turabian StyleHabib, Md. Ahasan, Lway Faisal Abdulrazak, Musab Magam, Laiq Jamal, and Khurram Karim Qureshi. 2022. "Design of a Highly Sensitive Photonic Crystal Fiber Sensor for Sulfuric Acid Detection" Micromachines 13, no. 5: 670. https://doi.org/10.3390/mi13050670
APA StyleHabib, M. A., Abdulrazak, L. F., Magam, M., Jamal, L., & Qureshi, K. K. (2022). Design of a Highly Sensitive Photonic Crystal Fiber Sensor for Sulfuric Acid Detection. Micromachines, 13(5), 670. https://doi.org/10.3390/mi13050670

