Fast and Accurate Prediction of Light Scattering from Plasmonic Nanoarrays in Multiple Directions
Abstract
:1. Introduction
2. Methods
2.1. Method of Moments
2.2. H-Matrix Method
- or
- Clusters t and s satisfy the admissibility condition ofwhere diam and dist denote the Euclidean diameter and distance of the supports of the basis functions in s, t, and controls the trade-off between admissible blocks. Blocks satisfying (10) are called admissible blocks, which can be approximated by low-rank matrices in the following representation:
2.3. Extraction of Light Scattering Characteristics
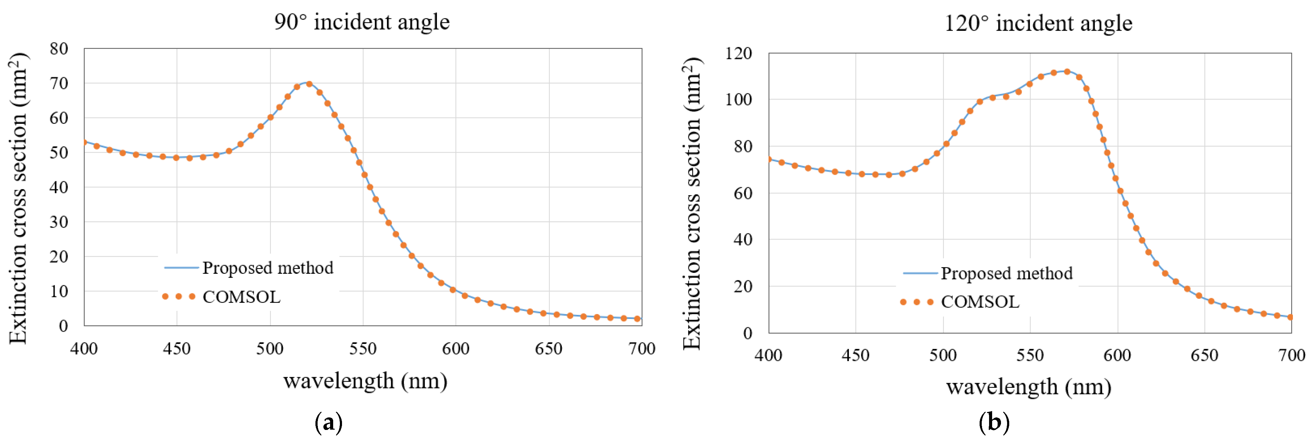
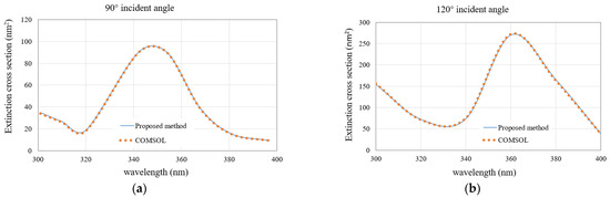
3. Results and Discussion
3.1. Silver Nanosphere Array
3.2. Silver Nanocylinder Array
3.3. Gold-Nano-Truncated Cone Array
4. Conclusions
Author Contributions
Funding
Conflicts of Interest
References
- Stewart, M.E.; Anderson, C.R.; Thompson, L.B.; Maria, J.; Gray, S.K.; Rogers, J.A.; Nuzzo, R.G. Nano-Structured Plasmonic Sensors. Chem. Rev. 2008, 108, 494–521. [Google Scholar] [CrossRef] [PubMed]
- Kelly, K.L.; Coronado, E.; Zhao, L.L.; Schatz, G.C. The Optical Properties of Metal Nanoparticles: The Influence of Size, Shape, and Dielectric Environment. ChemInform 2003, 34, 668–677. [Google Scholar] [CrossRef]
- Mock, J.J.; Barbic, M.; Smith, D.R.; A Schultz, D.A.; Schultz, S. Shape effects in plasmon resonance of individual colloidal silver nanoparticles. J. Chem. Phys. 2002, 116, 6755–6759. [Google Scholar] [CrossRef]
- Sun, Y.; Xia, Y. Gold and silver nanoparticles: A class of chromophores with colors tunable in the range from 400 to 750 nm. Analyst 2003, 128, 686–691. [Google Scholar] [CrossRef]
- Rechberger, W.; Hohenau, A.; Leitner, A.; Krenn, J.; Lamprecht, B.; Aussenegg, F. Optical properties of two interacting gold nanoparticles. Opt. Commun. 2003, 220, 137–141. [Google Scholar] [CrossRef]
- Kedem, O.; Tesler, A.B.; Vaskevich, A.; Rubinstein, I. Sensitivity and optimization of Localized Surface Plasmon Resonance Transducers. ACS Nano 2011, 5, 748–760. [Google Scholar] [CrossRef]
- Wan, T.; Guo, Y.X.; Tang, B.L. Photothermal Modeling and Characterization of Graphene Plasmonic Waveguides for Optical Interconnect. Opt. Express 2019, 27, 33268–33281. [Google Scholar] [CrossRef]
- Hirsch, L.R.; Stafford, R.J.; Bankson, J.A.; Sershen, S.R.; Rivera, B.; Price, R.E.; Hazle, J.D.; Halas, N.J.; West, J.L. Nanoshell-mediated near-infrared thermal therapy of tumors under magnetic resonance. Proc. Natl. Acad. Sci. USA 2003, 100, 13549–13554. [Google Scholar] [CrossRef] [Green Version]
- Bernardi Ronald, J.; Lowery, A.R.; Thompson, P.A.; Blaney, S.M.; West, J.L. Immunonanoshells for targeted photothermal ablation in medulloblastoma and glioma: An in vitro evaluation using human cell lines. J. Neuro-Oncol. 2008, 86, 165–172. [Google Scholar] [CrossRef]
- Zeman, M.; Isabella, O.; Jaeger, K.; Santbergen, R.; Liang, R.; Solntsev, S.; Krc, J. Advanced Light Trapping in Thin-film Silicon Solar Cells. MRS Online Proc. Libr. OPL 2010, 1245. [Google Scholar] [CrossRef] [Green Version]
- Derkacs, D.; Lim, S.H.; Matheu, P.; Mar, W.; Yu, E.T. Improved performance of amorphous silicon solar cells via scattering from surface plasmon polaritons in nearby metallic nanoparticles. Appl. Phys. Lett. 2006, 89, 514–518. [Google Scholar] [CrossRef] [Green Version]
- Liu, W.; Wang, X.D.; Li, Y.; Geng, Z.; Yang, F.; Li, J. Surface plasmon enhanced GaAs thin film solar cells. Sol. Energy Mater. Sol. Cells 2011, 95, 693–698. [Google Scholar] [CrossRef]
- Notarianni, M.; Vernon, K.; Chou, A.; Aljada, M.; Liu, J.; Motta, N. Plasmonic effect of gold nanoparticles in organic solar cells. Sol. Energy 2014, 106, 23–37. [Google Scholar] [CrossRef] [Green Version]
- Lynch, D.R.; Paulsen, K.D. Time-Domain integration of the Maxwell Equations on finite Elements. IEEE Trans. Antennas Propag. 1991, 38, 1933–1942. [Google Scholar] [CrossRef]
- Harrington, R.; Mautz, J. Theory of characteristic modes for conducting bodies. IEEE Trans. Antennas Propag. 1971, 19, 622–628. [Google Scholar] [CrossRef]
- Gan, H.H.; Xia, T.; Dai, Q.I.; Li, Y.; Chew, W. Augmented electric field integral equation for inhomogeneous media. IEEE Antennas Wirel. Propag. Lett. 2017, 16, 2967–2970. [Google Scholar] [CrossRef]
- de Abajo, F.J.G.; Howie, A. Retarded field calculation of electron energy loss in inhomogeneous dielectrics. Phys. Rev. B 2002, 65, 115418. [Google Scholar] [CrossRef]
- Song, J.M.; Lu, C.C.; Chew, W.C. Multilevel fast multipole algorithm for electromagnetic scattering by large complex objects. IEEE Trans. Antennas Propag. 1997, 45, 1488–1493. [Google Scholar] [CrossRef] [Green Version]
- Feng, X.P.; Chen, J.Q.; Mo, L.; Wang, D.X.; Chen, R.S.; Yung, E.K.N.; Chan, C.H. Fast analysis of microwave integrated circuits using preconditioned SMCG method. In Proceedings of the 2005 IEEE Antennas and Propagation Society International Symposium, Washington, DC, USA, 3–8 July 2005. [Google Scholar]
- Ling, F.; Wang, C.F.; Jin, J.M. An efficient algorithm for analyzing large-scale microstrip structures using adaptive integral method combined with discrete complex-image method. IEEE Trans. Microw. Theory Tech. 2000, 48, 832–839. [Google Scholar] [CrossRef]
- Stewart, G.W. Matrix Algorithms: Basic Decompositions; Society for Industrial and Applied Mathematics: Philadelphia, PA, USA, 1998. [Google Scholar]
- Yla-Oijala, P.; Taskinen, M. Application of combined field integral equation for electromagnetic scattering by dielectric and composite objects. IEEE Trans. Antennas Propag. 2005, 53, 1168–1173. [Google Scholar] [CrossRef]
- Bao, Y.; Wan, T.; Liu, Z.W.; Bowler, J.R.; Song, J.M. Integral equation fast solver with truncated and degenerated kernel for computing flaw signals in eddy current non-destructive testing. NDT E Int. 2021, 124, 102544. [Google Scholar] [CrossRef]
- Wan, T.; Tang, B.L.; Li, M.Z. An Iteration-Free Domain Decomposition Method for the Fast Finite Element Analysis of Electromagnetic Problems. IEEE Trans. Antennas Propag. 2020, 68, 400–410. [Google Scholar] [CrossRef]
- Wan, T.; Li, M.Z.; Li, L.F. Direct Solution of Finite Element- Boundary Integral System for Electromagnetic Analysis in Half-Space. IEEE Trans. Antennas Propag. 2020, 68, 6461–6466. [Google Scholar] [CrossRef]
- Hohenester, U. Making simulations with the MNPBEM toolbox big: Hierarchical matrices and iterative solvers. Comput. Phys. Commun. 2018, 222, 209–228. [Google Scholar] [CrossRef]
- Johnson, P.B.; Christy, R.W. Optical Constants of the Noble Metals. Phys. Rev. B 1972, 6, 4370–4379. [Google Scholar] [CrossRef]














| Number of Unknowns | Method | Solution Time (s) | Memory Requirement (MB) | 
|---|---|---|---|
| 3834 | Traditional MoM | 57,009.4 | 448.6 | 
| Proposed method | 1351.5 | 271.6 | 
| Number of Unknowns | Method | Solution Time (s) | Memory Requirement (MB) | 
|---|---|---|---|
| 12,750 | Traditional MoM | 570,695.6 | 4961.0 | 
| Proposed method | 14,267.4 | 2591.3 | 
| Publisher’s Note: MDPI stays neutral with regard to jurisdictional claims in published maps and institutional affiliations. | 
© 2022 by the authors. Licensee MDPI, Basel, Switzerland. This article is an open access article distributed under the terms and conditions of the Creative Commons Attribution (CC BY) license (https://creativecommons.org/licenses/by/4.0/).
Share and Cite
Wan, T.; Chen, T.; Bao, Y.; Wang, S. Fast and Accurate Prediction of Light Scattering from Plasmonic Nanoarrays in Multiple Directions. Micromachines 2022, 13, 613. https://doi.org/10.3390/mi13040613
Wan T, Chen T, Bao Y, Wang S. Fast and Accurate Prediction of Light Scattering from Plasmonic Nanoarrays in Multiple Directions. Micromachines. 2022; 13(4):613. https://doi.org/10.3390/mi13040613
Chicago/Turabian StyleWan, Ting, Tianhao Chen, Yang Bao, and Shiyi Wang. 2022. "Fast and Accurate Prediction of Light Scattering from Plasmonic Nanoarrays in Multiple Directions" Micromachines 13, no. 4: 613. https://doi.org/10.3390/mi13040613
APA StyleWan, T., Chen, T., Bao, Y., & Wang, S. (2022). Fast and Accurate Prediction of Light Scattering from Plasmonic Nanoarrays in Multiple Directions. Micromachines, 13(4), 613. https://doi.org/10.3390/mi13040613
 
         
                                                


 
       