Method for QCM Resonator Device Equivalent Circuit Parameter Extraction and Electrode Quality Assessment
Abstract
:1. Introduction
2. Methodology and Simulation Validation
2.1. Methodology
2.2. Validation by ADS Simulation
3. Experimental Platform and Materials
3.1. Experimental Platform
3.2. Material
3.2.1. Standard Crystal Resonator Device
3.2.2. QCM Resonator Devices with Different Electrode Diameters and Materials
4. Results and Discussion
4.1. Measurement of Standard Resonator Device Parameters
4.2. Equivalent Parameter Measurement of QCM Resonator Devices with Different Electrode Diameters
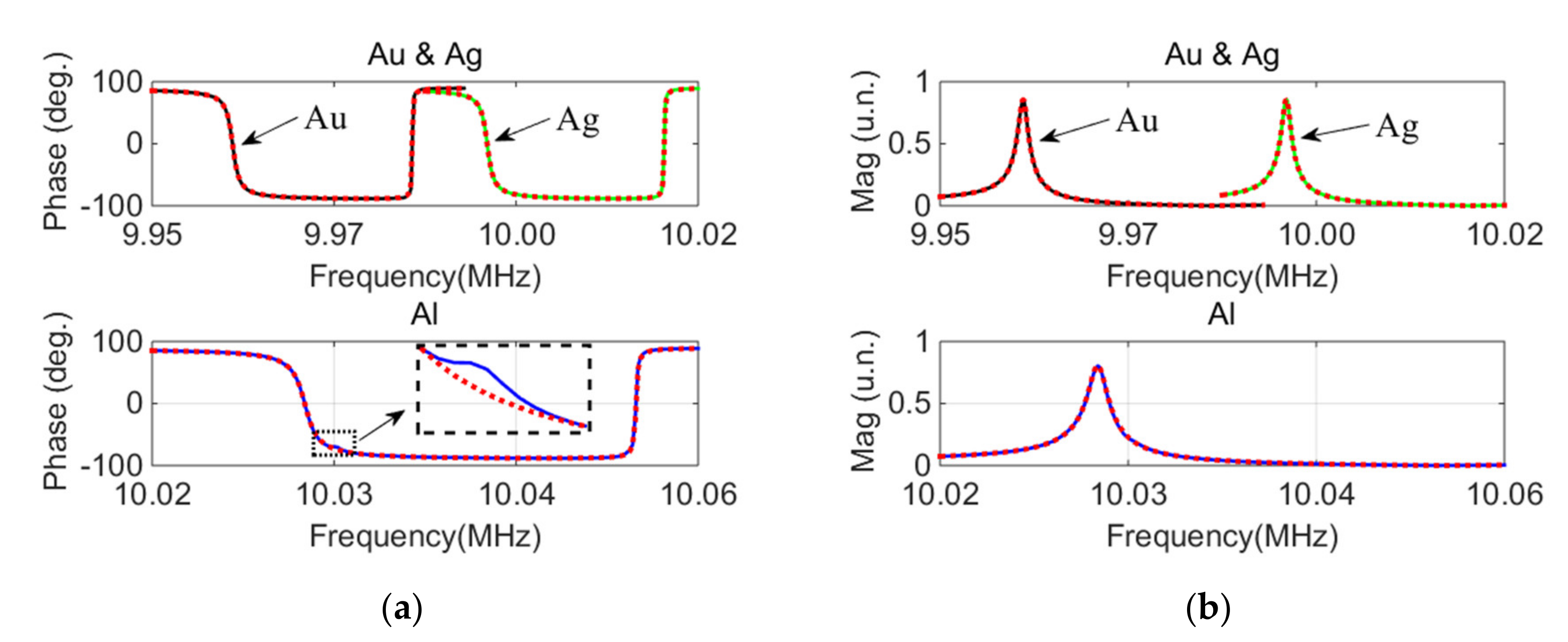
4.3. Equivalent Parameter Measurement of QCM Resonator Devices with Different Electrode Materials
5. Conclusions
Author Contributions
Funding
Data Availability Statement
Conflicts of Interest
References
- Yao, Y.; Zhang, H.; Sun, J.; Ma, W.Y.; Li, L.; Li, W.Z.; Du, J. Novel QCM humidity sensors using stacked black phosphorus nanosheets as sensing film. Sens. Actuators B Chem. 2017, 244, 259–264. [Google Scholar] [CrossRef]
- Hussain, M.; Kotova, K.; Lieberzeit, P.A. Molecularly imprinted polymer nanoparticles for formaldehyde sensing with QCM. Sensors 2016, 16, 9. [Google Scholar] [CrossRef] [Green Version]
- Chen, Q.; Feng, N.B.; Huang, X.H.; Yao, Y.; Jin, Y.R.; Pan, W.; Liu, D. Humidity-sensing properties of a BiOCl-coated quartz crystal microbalance. ACS Omega 2020, 5, 18818–18825. [Google Scholar] [CrossRef]
- Chen, Q.; Yao, Y.; Huang, X.H.; Liu, D.; Mao, K.L. Simulation analysis and experimental verification for sensitivity of IDE-QCM humidity sensors. Sens. Actuators B Chem. 2021, 341, 129992. [Google Scholar] [CrossRef]
- Esmeryan, K.D.; Stoimenov, N.I. Studying the bulk and contour ice nucleation of water droplets via quartz crystal microbalances. Micromachines 2021, 12, 463. [Google Scholar] [CrossRef] [PubMed]
- Tchalala, M.R.; Bhatt, P.M.; Chappanda, K.N.; Tavares, S.R.; Adil, K.; Belmabkhout, Y.; Shkurenko, A.; Cadiau, A.; Heymans, N.; De Weireld, G.; et al. Fluorinated MOF platform for selective removal and sensing of SO2 from flue gas and air. Nat. Commun. 2019, 10, 1328. [Google Scholar] [CrossRef] [PubMed] [Green Version]
- Chen, Q.; Xu, S.M.; Liu, Q.X.; Masliyah, J.; Xu, Z.H. QCM-D study of nanoparticle interactions. Adv. Colloid Interface Sci. 2016, 233, 94–114. [Google Scholar] [CrossRef] [PubMed] [Green Version]
- Migon, D.; Wasilewski, T.; Suchy, D. Application of QCM in Peptide and Protein-Based Drug Product Development. Molecules 2020, 25, 3950. [Google Scholar] [CrossRef] [PubMed]
- Wasilewski, T.; Szulczynski, B.; Wojciechowski, M.; Kamysz, W.; Gebicki, J. Determination of long-chain aldehydes using a novel quartz crystal microbalance sensor based on a biomimetic peptide. Microchem. J. 2020, 154, 104509. [Google Scholar] [CrossRef]
- Oseev, A.; Mukhin, N.; Elie-Caille, C.; Boireau, W.; Lucklum, R.; Lecompte, T.; Remy-Martin, F.; Manceau, J.-F.; Chollet, F.; Leblois, T. Topology Challenge for the Assessment of Living Cell Deposits with Shear Bulk Acoustic Biosensor. Nanomaterials 2020, 10, 2079. [Google Scholar] [CrossRef]
- Mukhin, N.; Lucklum, R. QCM based sensor for detecting volumetric properties of liquids. Curr. Appl. Phys. 2019, 19, 679–682. [Google Scholar] [CrossRef]
- Tan, F.; Qiu, D.Y.; Guo, L.P.; Ye, P.; Zeng, H.; Jiang, J.; Tang, Y.; Zhang, Y.C. Separate density and viscosity measurements of unknown liquid using quartz crystal microbalance. Aip Adv. 2016, 6, 095313. [Google Scholar] [CrossRef] [Green Version]
- Bai, Q.S.; Huang, X.H.; Liu, D. A Novel Voltage Controlled Temperature Compensated Crystal Oscillator for Eliminating the Trim Effect. In Proceedings of the IEEE International Frequency Control Symposium, New Orleans, LA, USA, 9–12 May 2016; pp. 115–117. [Google Scholar]
- Yao, Y.; Zhang, H.; Huang, X.H. Enhanced sensitivity of quartz crystal proximity sensors using an asymmetrical electrodes configuration. Sens. Actuators A Phys. 2017, 258, 95–100. [Google Scholar] [CrossRef]
- Toledo, J.; Ruiz-Díez, V.; Bertke, M.; Suryo-Wasisto, H.; Peiner, E.; Sánchez-Rojas, J.L. Piezoelectric MEMS resonators for cigarette particle detection. Micromachines 2019, 10, 145. [Google Scholar] [CrossRef] [PubMed] [Green Version]
- Yang, J.; Zhang, M.; He, Y.R.; Su, Y.; Han, G.W.; Si, C.W.; Ning, J.; Yang, F.H.; Wang, X.D. A resonant Z-Axis aluminum nitride thin-film piezoelectric MEMS accelerometer. Micromachines 2019, 10, 589. [Google Scholar] [CrossRef] [Green Version]
- Gugliandolo, G.; Marinkovic, Z.; Campobello, G.; Crupi, G.; Donato, N. On the performance evaluation of commercial SAW resonators by means of a direct and reliable equivalent-circuit extraction. Micromachines 2021, 12, 303. [Google Scholar] [CrossRef] [PubMed]
- Sun, C.; Soon, B.W.; Zhu, Y.; Wang, N.; Loke, S.P.H.; Mu, X.; Tao, J.; Gu, A.Y. Methods for improving electromechanical coupling coefficient in two dimensional electric field excited AlN Lamb wave resonators. Appl. Phys. Lett. 2015, 106, 253502. [Google Scholar] [CrossRef]
- Wang, Y.; Goh, W.L.; Chai, K.T.C.; Mu, X.; Hong, Y.; Kropelnicki, P.; Je, M. Parasitic analysis and pi-type Butterworth-Van Dyke model for complementary-metal-oxide-semiconductor Lamb wave resonator with accurate two-port Y-parameter characterizations. Rev. Sci. Instrum. 2016, 87, 045004. [Google Scholar] [CrossRef]
- Moradian, S.; Akhkandi, P.; Huang, J.Y.; Gong, X.; Abdolvand, R. A Battery-less wireless respiratory sensor using micro-machined thin-film piezoelectric resonators. Micromachines 2021, 12, 363. [Google Scholar] [CrossRef]
- Kluk, P.; Milewski, A. Piezoceramic transducers selection method for high power ultrasonic devices. Acta Phys. Pol. A 2015, 127, 719–722. [Google Scholar] [CrossRef]
- Nakamoto, T.; Moriizumi, T.; Takamichi, N.; Toyosaka, M. A Theory of a quartz crystal microbalance based upon a mason equivalent circuit. Jpn. J. Appl. Phys. 1990, 29, 963–969. [Google Scholar] [CrossRef]
- Aleixandre, M.; Nakamoto, T. Study of Room Temperature Ionic Liquids as Gas Sensing Materials in Quartz Crystal Microbalances. Sensors 2020, 20, 4026. [Google Scholar] [CrossRef] [PubMed]
- Na Songkhla, S.; Nakamoto, T. Interpretation of Quartz Crystal Microbalance Behavior with Viscous Film Using a Mason Equivalent Circuit. Chemosensors 2021, 9, 9. [Google Scholar] [CrossRef]
- Casteleiro-Roca, J.L.; Calvo-Rolle, J.L.; Meizoso-Lopez, M.C.; Pinon-Pazos, A.; Rodriguez-Gomez, B.A. New approach for the QCM sensors characterization. Sens. Actuators A Phys. 2014, 207, 1–9. [Google Scholar] [CrossRef]
- Liu, D.; Huang, X.; Hu, J.; Tang, Y.; Wang, Y. Measurement of quartz crystal unit parameters based on the precise derivation of zero phase frequency. Electron. Lett. 2017, 53, 2799. [Google Scholar] [CrossRef]
- Bottom, V.E. Introduce to Crystal Unite Design; Van Nostrand Reinhold Company: New York, NY, USA, 1987; pp. 82–167. [Google Scholar]
- Liu, D.; Yan, Y.; Xiao, X.T.; Gao, B.; Tian, G.Y. A Method for Measuring the Equivalent Electrical Parameters and Resonant Frequency of Piezoelectric Resonators. China Patent CN201811393865.3, 21 November 2018. (In Chinese). [Google Scholar]
- Liu, D.; Huang, X.H.; Tang, Y.L.; Wang, Y. Measurement of Quartz Crystal Resonator Parameters Based on the Precise Derivation of Zero Phase Frequency. J. Univ. Electron. Sci. Technol. China 2018, 47, 545–549. [Google Scholar]
- Huang, X.H.; Wang, Y.; Fu, W. Optimization and realization of a 315-MHz low-phase-noise voltage-controlled SAW oscillator. IEEE Trans. Circuits Syst. II Express Briefs 2012, 59, 16–19. [Google Scholar] [CrossRef]









| Parameters | Proposed Method | Supplier Measurement |
|---|---|---|
| R1(Ω) | 70.59 | 69.78 |
| L1 (mH) | 1447.23 | 1407.29 |
| C1 (pF) | 0.17 | 0.18 |
| C0 (pF) | 2.87 | 2.11 |
| Φ (mm) | 3 | 4 | 5 |
|---|---|---|---|
| R1 (Ω) | 12.42 | 7.87 | 6.63 |
| L1 (mH) | 25.77 | 15.10 | 10.22 |
| C1 (pF) | 9.86 | 16.82 | 24.86 |
| C0 (pF) | 2.31 | 3.71 | 5.69 |
| r | 4.29 | 4.53 | 4.36 |
| Electrode Material | Au | Ag | Al |
|---|---|---|---|
| R1 (Ω) | 15.00 | 17.70 | 18.33 |
| L1 (mH) | 15.31 | 15.61 | 16.10 |
| C1 (pF) | 16.67 | 16.25 | 15.64 |
| C0 (pF) | 3.60 | 3.57 | 3.69 |
| Electrode Material | Ag | Au | Al | Ag (Rusty) |
|---|---|---|---|---|
| R1 (Ω) | 7.87 | 15.00 | 18.33 | 17.70 |
| Conductivity (MS/m) | 62.50 | 41.00 | 35.34 | 62.50 |
Publisher’s Note: MDPI stays neutral with regard to jurisdictional claims in published maps and institutional affiliations. |
© 2021 by the authors. Licensee MDPI, Basel, Switzerland. This article is an open access article distributed under the terms and conditions of the Creative Commons Attribution (CC BY) license (https://creativecommons.org/licenses/by/4.0/).
Share and Cite
Liu, D.; Xiao, X.; Tang, Z.; Chen, Q.; Li, H.; Wang, X.; Yan, Y. Method for QCM Resonator Device Equivalent Circuit Parameter Extraction and Electrode Quality Assessment. Micromachines 2021, 12, 1086. https://doi.org/10.3390/mi12091086
Liu D, Xiao X, Tang Z, Chen Q, Li H, Wang X, Yan Y. Method for QCM Resonator Device Equivalent Circuit Parameter Extraction and Electrode Quality Assessment. Micromachines. 2021; 12(9):1086. https://doi.org/10.3390/mi12091086
Chicago/Turabian StyleLiu, Dong, Xiaoting Xiao, Ziqiao Tang, Qiao Chen, Haoran Li, Xiaoxiong Wang, and Yan Yan. 2021. "Method for QCM Resonator Device Equivalent Circuit Parameter Extraction and Electrode Quality Assessment" Micromachines 12, no. 9: 1086. https://doi.org/10.3390/mi12091086
APA StyleLiu, D., Xiao, X., Tang, Z., Chen, Q., Li, H., Wang, X., & Yan, Y. (2021). Method for QCM Resonator Device Equivalent Circuit Parameter Extraction and Electrode Quality Assessment. Micromachines, 12(9), 1086. https://doi.org/10.3390/mi12091086

