Abstract
Blasticidin S (BcS) is a protein synthesis inhibitor which shows strong growth inhibitory activity against a number of microorganisms. However, BcS inhibited aflatoxin production by Aspergillus flavus without affecting its growth. In order to obtain information about the structure–activity relationship of BcS as an aflatoxin production inhibitor, BcS derivatives were prepared and their aflatoxin production inhibitory activities were evaluated. Among five derivatives, blasticidin S carboxymethyl ester, deaminohydroxyblasticidin S, and pyrimidinoblasticidin S showed inhibitory activity, while the others did not. The IC50 value for aflatoxin production of the carboxymethyl ester derivative was one-fifth of that of BcS although their antimicrobial activities were almost the same. These results indicate that the inhibitory activity of BcS against aflatoxin production was enhanced by esterification of its carboxyl group and that the carboxymethyl ester derivative might be more suitable for practical use than BcS because of the specificity of the carboxymethyl ester derivative, which inhibited aflatoxin production more than BcS.
1. Introduction
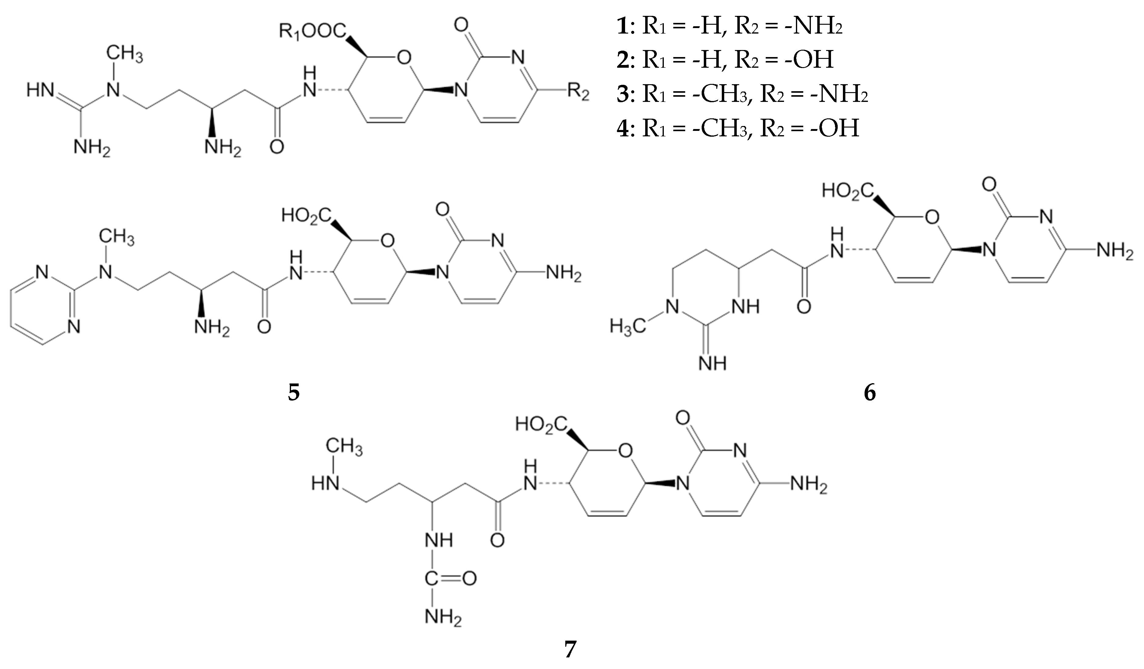
Aflatoxins are a group of secondary metabolites produced by some Aspergillus species, including A. flavus and A. parasiticus, and are detected in many kinds of food and feed commodities such as corn, tree nuts, pulses, dried fruit, and spices. Because they are potent mutagens and are liver carcinogens in humans and a wide range of animal species, aflatoxin contamination in crops causes huge economic losses and may constitute a serious health threat [1,2,3,4]. Some attempts have been made to regulate aflatoxin contamination in food, including the use of atoxigenic strains of Aspergilli, but no successful methods have yet been established [5,6]. A practical use of aflatoxin production inhibitors is expected to be an effective method to prevent aflatoxin contamination in agricultural products. Many kinds of aflatoxin production inhibitors including blasticidin S (BcS, 1 in Figure 1) have already been reported, and most of them are derived from plant constituents, microbial metabolites, or synthetic compounds [7,8].
Figure 1.
Structures of BcS and its derivatives.
BcS is a Streptomyces griseochromogenes metabolite that is known to block protein synthesis in both bacteria and eukaryotes by inhibiting peptidyl transfer on their ribosomes [9,10]. BcS shows strong growth inhibitory activity against a number of microorganisms such as Piricularia oryzae, Escherichia coli, and Saccharomyces cerevisiae [11,12]. However, some Aspergillus species, including A. flavus, A. fumigatus, and A. terreus, are highly resistant to BcS because they can metabolize BcS into a non-toxic metabolite, deaminohydroxyblasticidin S (DahBcS, 2 in Figure 1) [12,13,14]. We previously reported the inhibitory activities of BcS and DahBcS on aflatoxin production by A. flavus [15]. These compounds did not affect the growth of A. flavus and specifically inhibited its aflatoxin production. A compound that specifically decreases aflatoxin production but does not inhibit the growth of the aflatoxin producer and other organisms is desirable in practical applications because the influence on organisms in the environment should be kept to a bare minimum. The specificity of DahBcS on the inhibition of aflatoxin production is higher than that of BcS because of the low toxicity of DahBcS against microorganisms and mammalian cells [12], but the inhibitory activity of DahBcS on aflatoxin production is much lower than that of BcS [15].
A study on the structure–activity relationship of BcS would be useful to develop effective aflatoxin production inhibitors. Previously, the structure–activity relationship of BcS as a peptidyl transferase inhibitor was assessed [16]. The effects of BcS and its derivatives on the synthesis of peptide bonds in vitro were tested, and the inhibition constants of BcS, blasticidin S carboxymethyl ester (MeBcS, 3 in Figure 1), N-acetylblasticidin S, and DahBcS were 0.63, 2.5, 40, and 250, respectively. In another study, the effects of BcS and its related compounds on polypeptide synthesis in the E. coli subcellular system were evaluated [17]. The inhibitory activity of DahBcS was 1000-fold lower than that of BcS, and cytomycin (6 in Figure 1), an alkaline hydrolysate of BcS, completely failed to inhibit polypeptide synthesis. These results suggest that the cytosine moiety and the free amino group at C-13 in BcS are important for peptidyl transferase inhibition. On the other hand, there is little information about the structure–activity relationship of BcS as an aflatoxin production inhibitor. In this study, we prepared several BcS derivatives, evaluated their inhibitory activity against aflatoxin production by A. flavus and growth inhibitory activity against some microorganisms, and the specificity on the inhibition of aflatoxin production was compared.
2. Results and Discussion
2.1. Inhibitory Activities of BcS Derivatives on Aflatoxin Production
Pyrimidinoblasticidin S (PyBcS, 5 in Figure 1) was prepared by modifying the guanidine group of BcS. Liberation of one mole of ammonia from BcS under an alkaline condition gave cytomycin. Cytomycin was further degraded into 7 under an alkaline condition. MeBcS was obtained by converting the carboxyl group of BcS into methyl ester. DahBcS was prepared by microbial transformation of BcS. 1H NMR and 13C NMR data of the prepared derivatives are shown in Supplementary Materials (Table S1). A. flavus IMF 47798 strain was cultured in a potato dextrose (PD) broth medium with or without BcS derivatives and their inhibitory activities on aflatoxin production were evaluated (Table 1). BcS and DahBcS inhibited aflatoxin production, as shown in our previous study [15], and their IC50 values were 27 and 110 μM, respectively (Table 1). Cytomycin and 7 did not inhibit aflatoxin production and their IC50 values exceeded 1000 μM. MeBcS inhibited aflatoxin production in a dose-dependent manner with an IC50 value of 5 μM, which was about one-fifth of the IC50 value of BcS (Figure 2). MeBcS decreased the mycelial weight of A. flavus significantly, but fungal growth was observed even at 1000 μM. PyBcS also inhibited aflatoxin production and the IC50 value of PyBcS was 20 times higher than that of BcS. Next, the inhibitory activities of BcS, DahBcS, and MeBcS against aflatoxin production by A. flavus IMF 47798 strain in a broth medium containing yeast extract and sucrose (YES medium) were examined. The result is shown in Figure 3. The amount of AFB1 produced by this strain in YES medium was about 10 times greater than that in PD broth medium. BcS partially inhibited aflatoxin production by A. flavus and the IC50 value was 890 μM, while DahBcS could not inhibit aflatoxin production at all. MeBcS inhibited aflatoxin production dose-dependently (IC50 value = 80 μM) and AFB1 was not detected in the culture containing 1000 μM MeBcS. BcS, DahBcS, and MeBcS did not affect the growth of A. flavus, even at 1000 μM.
Table 1.
Inhibitory activities of BcS derivatives against aflatoxin production by A. flavus and the growth of microorganisms.
Figure 2.
Effects of blasticidin S carboxymethyl ester (MeBcS) on aflatoxin production and fungal growth. A. flavus IMF 47798 was cultured in PD liquid medium with or without MeBcS at 30 °C for four days. The amount of aflatoxin B1 (white bars) in the culture filtrate was determined by LC-MS/MS. The mycelial cake was lyophilized for 12 h and weighed (●). Data are presented as the mean ± SD (n = 6).
Figure 3.
Effects of blasticidin S (■), blasticidin S carboxymethyl ester (●) and deaminohydroxyblasticidin S (▲) on aflatoxin production by A. flavus IMF 47798 in a YES liquid medium. The amount of aflatoxin B1 in the culture filtrate was quantitated by LC-MS/MS. Data are presented as the mean ± SD (n = 6).
Since the IC50 value of DahBcS was higher than that of BcS, the presence of the amino group in the cytosine moiety is needed for full inhibitory activity. Although PyBcS, cytomycin, and 7 have a cytosine moiety, their inhibitory activities were weaker than those of DahBcS. This means that not only a cytosine moiety but also a β-amino group and a guanidine group are important for this activity. The carboxy group in the sugar portion is not critical for activity because MeBcS, a BcS carboxymethyl ester derivative, inhibited aflatoxin production by A. flavus more strongly than BcS. In our previous study, BcS repressed the mRNA levels of pksA, omtA, and aflR [15]. PksA and omtA encode enzyme proteins involved in aflatoxin biosynthesis, and aflR encodes a transcriptional factor which regulates the transcription of aflatoxin biosynthesis enzymes. MeBcS also decreased the mRNA levels of these genes (Figure S1). This means that MeBcS as well as BcS might affect a regulatory system that controls aflatoxin production.
2.2. Antimicrobial Activity of BcS Derivatives
In order to assess the specificity of BcS derivatives on the inhibition of aflatoxin production, their growth inhibitory activities against Aspergillus niger, Saccharomyces cerevisiae, and Escherichia coli were evaluated. A. niger was cultured statically in PD broth medium and mycelial weight was measured after incubation. S. cerevisiae and E. coli were cultured under shaking conditions and optical density at 595 nm was measured after incubation. The MIC was defined as the concentration at which the growth of a microorganism was completely inhibited (Table 1). BcS and MeBcS inhibited the growth of A. niger, S cerevisiae, and E. coli. The MICs of A. niger, S. cerevisiae, and E. coli to BcS were 300, 3, and 500 µM, respectively, while those to MeBcS were 300, 10, and 300 µM, respectively. Other derivatives did not inhibit the growth of these three microorganisms.
The levels of antimicrobial activitiy of BcS and MeBcS were similar, but the inhibitory activity of MeBcS on aflatoxin production was stronger than that of BcS. DahBcS showed no antimicrobial activity although it inhibited aflatoxin production by A. flavus in PD broth medium. These results indicate that MeBcS and DahBcS are more highly specific inhibitors of aflatoxin production than BcS. Furthermore, only MeBcS could inhibit aflatoxin production by A. flavus in YES medium. Therefore, MeBcS was the best inhibitor in this study because it could inhibit aflatoxin production specifically under a highly aflatoxin-producing condition.
2.3. Determination of the Deaminated Metabolites of Blasticidin S and Its Methyl Ester
BcS and MeBcS inhibited both aflatoxin production by A. flavus and the growth of the three tested microorganisms. In contrast, the BcS derivatives, which showed no aflatoxin inhibitory activity, also did not inhibit the growth of these microorganisms. Therefore, the mode of action of the inhibitory activity of BcS on aflatoxin production might be caused by its inhibitory activity on protein synthesis. A previous study showed that the in vitro inhibitory activities of BcS and MeBcS on protein synthesis were equivalent [16]. In our study, the antimicrobial activity of BcS was comparable to that of MeBcS. However, the IC50 value for aflatoxin production of MeBcS was one-fifth of that of BcS. In order to clarify the reason why the inhibitory activity of MeBcS on aflatoxin production was stronger than that of BcS, even though the antifungal activity of BcS was similar to that of MeBcS, the metabolites of BcS and MeBcS in A. flavus were determined. As mentioned in the introduction, a toxic compound, BcS, is transformed into a non-toxic metabolite, DahBcS, by BcS deaminase in A. flavus, and it has been reported that the activity of BcS deaminase in A. flavus was enhanced when cultured in the presence of BcS [15]. In order to know whether MeBcS influences the transcription of the enzyme, A. flavus IMF 47798 strain was cultured with BcS or MeBcS, and the mRNA level of BcS deaminase was analyzed by quantitative PCR. As shown in Figure S2, both BcS and MeBcS increased the transcription of the enzyme. This means that MeBcS also enhances the deaminase activity in A. flavus and may be metabolized into a non-toxic deaminated compound in vivo. Next, it was expected that the metabolic rates of BcS and MeBcS in A. flavus would be different. BcS or MeBcS was incubated with a cell-free extract from A. flavus and the deaminated metabolites were quantitated (Figure 4). DahBcS was produced from BcS over time, and 500 nM BcS was metabolized into 480 nM DahBcS by 120 min. MeBcS was also deaminated by BcS deaminase. Deaminohydroxyblasticidin S methyl ester (DahMeBcS, 4 in Figure 1) was detected in the reaction mixture, and 500 nM MeBcS was metabolized into 130 nM DahMeBcS by 120 min. This result indicates that MeBcS is transformed into a deaminated metabolite less efficiently and can remain in the mycelia longer than BcS. The strong inhibitory activity of MeBcS on aflatoxin production might be considered to be caused by its high resistance to the metabolic enzyme for BcS. In order to verify this hypothesis, further studies including analysis of the protein level of BcS deaminase and quantitation of the metabolite of MeBcS are needed, and these experiments are now in progress.
Figure 4.
In vitro conversion experiments of blasticidin S and its carboxymethyl ester. Cell free extracts from A. flavus IMF 47798 were incubated with blasticidin S or its carboxymethyl ester, and the production of deaminohydroxyblasticidin S (▲) or its carboxymethyl ester (●) was quantified.
3. Conclusions
In this study, a BcS derivative that shows specific and strong inhibitory activity against aflatoxin production has been found. The inhibitory activity of BcS on aflatoxin production was enhanced by esterification of its carboxyl group and the IC50 value for aflatoxin production of MeBcS, a carboxymethyl ester derivative, was one-fifth of that of BcS although their antimicrobial activities were at comparable levels. MeBcS was resistant to a metabolic enzyme for BcS and this might have brought about the strong inhibitory activity of the derivative on aflatoxin production. MeBcS is expected to be more suitable for practical use than BcS because the specificity of MeBcS to inhibit aflatoxin production is higher than that of BcS.
4. Materials and Methods
4.1. Strains, Growth Media, and Chemicals
Aspergillus flavus strain IMF 47798 was used as a mycotoxin producer. Aspergillus niger strain KJ16 was used for the antifungal assay. These strains were maintained on potato dextrose agar (Difco, Sparks, MD, USA) and subcultured monthly. A spore suspension was prepared from a two-week-old culture, at a concentration of 2.5 × 103 c.f.u./µL and used as inoculum for this study. Potato dextrose (PD) (Becton, Dickinson and Company, Franklin Lakes, NJ, USA) broth medium and yeast extract–sucrose (YES) broth medium (2% yeast extract, 0.2% sucrose) were used for the production of aflatoxin. All cultures were incubated at 30 °C. Escherichia coli strain TOP10 (Thermo Fisher Scientific Inc., Waltham, MA, USA) and Saccharomyces cerevisiae strain INVSc1 (Thermo Fisher Scientific Inc.) were used for the antimicrobial assay. These strains were preserved in glycerol stocks at −80 °C. Luria-Bertani (LB) liquid medium (Difco) and synthetic dextrose (SD) liquid medium (0.67% yeast nitrogen base without amino acids, 0.5% casamino acids, 0.2% glucose, 0.002% uracil and 0.002% tryptophan) were used to culture E. coli and S. cerevisiae, respectively. Blasticidin S HCl (Kaken Pharmaceutical, Tokyo, Japan) was dissolved in distilled water and was stored at −20 °C. Aspergillus terreus strain TSY 578 was cultured in YE liquid medium (2.5% yeast extract) containing 300 µM blasticidin S, and deaminohydroxyblasticidin S was purified from the culture broth according to the methods in our previous work [15].
4.2. Preparation of BcS Derivatives
4.2.1. Carboxymethyl Esters of Blasticidin S (3) and Deaminohydroxyblasticidin S (4)
Esterification of BcS was performed according to the method of Otake et al. [18]. BcS HCl (100 mg) was dissolved in 3 mL of super-dehydrated methanol (Wako, Osaka, Japan) containing 3% HCl and the reaction mixture was incubated at 50 °C for 5 h. The solution was neutralized by ammonium hydroxide and was evaporated to dryness. The residue was resolved in 1 mL of water and subjected to HPLC system. From 100 mg of BcS, 76 mg of MeBcS (HRESI-TOF/MS m/z 437.2262 [M + H]+; calcd for C18H29N8O5, 437.2261) was obtained. DahBcS (2) was prepared by microbial transformation of BcS according to our previous method [15]. Esterification of DahBcS was performed in the same way and 81 mg of DahMeBcS (HRESI-TOF/MS m/z 438.2098 [M + H]+; calcd for C18H28N7O6, 438.2101) was obtained from 100 mg of DahBcS.
4.2.2. Pyrimidinoblasticidin S (5)
PyBcS was prepared according to the method of Yamaguchi et al. [19]. BcS HCl (100 mg) was dissolved in 2 mL of 12N HCl (Wako), and 0.22 mL of 1,1,3,3-tetraethoxypropane (Nacalai Tesque, Kyoto, Japan) was gradually added to the solution with stirring. After overnight incubation at room temperature, the solvent was evaporated to dryness. The residue was resolved in 1 mL of water and subjected to an HPLC system. From 100 mg of BcS, 58 mg of PyBcS (HRESI-TOF/MS m/z 459.2107 [M + H]+; calcd for C20H26N9O5, 459.2104) was obtained.
4.2.3. Cytomycin (6) and (7)
Cytomycin and 7 were simultaneously produced by mild alkaline hydrolysis of BcS [20]. BcS HCl (100 mg) was dissolved in 5 mL of 0.1N NaOH and the solution was incubated at room temperature for seven days. The solvent was subjected to HPLC. From 100 mg of BcS, 60 mg of cytomycin (HRESI-TOF/MS m/z 406.1844 [M + H]+; calcd for C17H24N7O5, 406.1839) and 24 mg of 7 (HRESI-TOF/MS m/z 424.1941 [M + H]+; calcd for C17H26N7O6, 424.1945) were obtained.
4.2.4. Chromatographic Condition for Purification of BcS Derivatives
The LC system consisted of a Prominence LC-20A series (Shimadzu Corp., Kyoto, Japan). Each of the BcS derivatives was purified using the following LC conditions: mobile phase, water containing 0.1% trifluoroacetic acid/acetonitrile; linear gradient of 5–21% acetonitrile in 12 min, hold at 21% acetonitrile for 3 min, followed by equilibration in 5% acetonitrile for 15 min before the next injection. The flow rate was 4 mL/min, and the column used was a 250 × 10 mm i.d., 5 μm, Inertsil ODS-3 (GL Sciences Inc., Tokyo, Japan). UV detection was set at 260 nm. The column oven was held at 40 °C. The retention times of MeBcS, DahMeBcS, PyBcS, cytomycin, and 7, were 7.8, 8.9, 9.3, 8.9, and 6.2 min, respectively. The derivatives were obtained as trifluoroacetate salts. In order to remove trifluoroacetate, each compound was subjected to the LC system [column, 250 × 10 mm i.d., 5 μm, InertSustain AQ-C18 (GL Sciences Inc.); isocratic elution of 5% acetonitrile in water; flow rate, 4.0 mL/min; detection at 260 nm]. The stock solution (50 mM) was prepared by dissolving each derivative in water.
4.3. Analysis of Aflatoxin B1
Aflatoxin B1 for an analytical standard was purchased from Sigma-Aldrich, St. Louis, MO, USA. It was dissolved in acetonitrile and was stored at −20 °C. A spore suspension of A. flavus IMF 47798 (10 μL) was added to PD medium (2 mL) with or without BcS derivatives in a well of a 12-well microplate and incubated statically for four days. The culture broth was separated into mycelium and culture by filtration. The culture filtrate was diluted 40 times with water, and aflatoxin B1 in the solution was quantitated by a 3200 Q TRAP LC-MS/MS system (AB Sciex, Foster City, CA, USA), equipped with an ESI source and a Prominence LC-20A series HPLC system. When YES broth medium was used for culture, the incubation was performed for five days and the culture filtrate was diluted 400 times with water before LC-MS/MS analysis. The column used was a 150 × 2.1 mm i.d., 3 μm, InertSustain C18 (GL Sciences Inc.). Chromatographic separation was achieved at 40 °C, using a gradient elution of 40–90% methanol in water containing 2 mM ammonium acetate from 0 to 8 min and then an isocratic elution of 90% methanol in water containing 2 mM ammonium acetate from 8 to 9 min at a flow rate of 0.2 mL/min. The injection volume was 5 μL. The retention time was 7.9 min. The ESI source was operated at 500 °C in the positive ionization mode. Other MS parameters were as follows: curtain gas at 10 psi, nebulizer gas (GS1) at 60 psi, turbo heater gas (GS2) at 50 psi, collision-activated dissociation gas at 8 (arbitrary units), multiple reaction monitoring, dwell time of 250 ms, and a 5 ms pause between mass ranges. The following multiple reaction monitoring transition was used: aflatoxin B1, 313 [M + H]+ to 241 (collision energy, 41 eV).
4.4. Analysis of Antifungal Activity of BcS and Its Derivatives
A spore suspension of A. niger KJ16 (5 μL) was added to PD medium (2 mL) in each well of a 12-well microplate. BcS or its derivative was added to the medium and incubated statically for four days. The culture broth was separated into mycelium and culture filtrate by filtration. The mycelium was collected into a 5 mL microtube and lyophilized for 12 h. Mycelial weight was calculated by subtracting the weight of a 5 mL microtube without the mycelium from the total weight.
4.5. Analysis of Antimicrobial Activity of BcS and Its Derivatives
An overnight culture of E. coli TOP10 was diluted 500 times with LB liquid medium. In S. cerevisiae INVSc1 strain, an overnight culture was diluted 50 times with SD liquid medium. Diluted suspension (100 μL) was dispensed into each well of a 96-well microplate. BcS or its derivative was added to the well at concentrations between 0.1 and 1000 μM. E. coli was cultured for 12 h at 37 °C while shaking at 1000 rpm. S. cerevisiae was cultured for 24 h at 30 °C while shaking at 1000 rpm. Growth was monitored by measuring the optical density at 595 nm by an iMark absorbance microplate reader (Bio-Rad, Hercules, CA, USA).
4.6. Assay of BcS Deaminase Activity In Vitro
A spore suspension of A. flavus IMF 47798 (5 µL) was added to 2 mL of YE liquid medium in a well of a 12-well microplate and incubated statically for 40 h at 30 °C. BcS (300 µM) was added to the medium and the culture plate was incubated for another 8 h. The mycelium was collected by filtration. After a washing with 10 mL of distilled water, total proteins of the mycelium were extracted using CelLytic Y Yeast Cell Lysis/Extraction Reagent (Sigma-Aldrich, St. Louis, MO, USA.) with a protease inhibitor cocktail for use with fungal and yeast extracts (Sigma-Aldrich, St. Louis, MO, USA) and 10 mM dithiothreitol. One milliliter of the reagent was used for the mycelia collected from three wells of a 12-well plate. For enzyme assay, BcS (final conc. = 0.5 mM) was incubated with 60 µL of protein extracts in phosphate-buffered saline (total volume of 300 µL) in a 30 °C water bath. The reaction was stopped by adding 600 µL of acetonitrile. After diluting 1000 times with water, the mixture was centrifuged (12,000 g, 10 min). The deaminated compounds in the supernatant were quantitated by a 3200 Q TRAP LC-MS/MS system (AB Sciex), equipped with an ESI source and a Prominence LC-20A series HPLC system. The column used was a 150 × 2.1 mm i.d., 3 μm, Inertsil ODS-4 (GL Sciences Inc.). Chromatographic separation was achieved at 40 °C, using a gradient elution of 0–80% acetonitrile in water containing 0.1% formic acid from 0 to 6 min and then an isocratic elution of 80% acetonitrile in water containing 0.1% formic acid from 6 to 8 min at a flow rate of 0.2 mL/min. The injection volume was 10 μL. The retention times of DahBcS and DahMeBcS were 5.9 and 6.0 min, respectively. The ESI source was operated at 600 °C in the positive ionization mode. Other MS parameters were as follows: curtain gas at 10 psi, nebulizer gas (GS1) at 50 psi, turbo heater gas (GS2) at 40 psi, collision-activated dissociation gas at 3 (arbitrary units), multiple reaction monitoring, dwell time of 250 ms, and a 5 ms pause between mass ranges. The following multiple reaction monitoring transition was used: DahBcS, 424 [M + H]+ to 154 (collision energy, 45 eV) and DahMeBcS, 438 [M + H]+ to 138 (collision energy, 49 eV).
Supplementary Materials
The following are available online at www.mdpi.com/2072-6651/9/6/176/s1, Table S1: NMR spectroscopic data for blasticidin S derivatives, Figure S1: Effect of blasticidin S carboxymethyl ester on the transcription of genes encoding proteins involved in aflatoxin biosynthesis, Figure S2: Effect of blasticidin S carboxymethyl ester on the transcription of gene encoding proteins involved in aflatoxin biosynthesis.
Author Contributions
T.Y. carried out the experiments, analyzed the data, and wrote the paper. Y.S.-K., T.O., and J.T. took part in the discussion.
Conflicts of Interest
The authors declare no conflict of interest.
References
- Kumar, P.; Mahato, D.K.; Kamle, M.; Mohanta, T.K.; Kang, S.G. Aflatoxins: A global concern for food safety, human health and their management. Front. Microbiol. 2017, 7, 2170. [Google Scholar] [CrossRef] [PubMed]
- Wu, F. Global impacts of aflatoxin in maize: Trade and human health. World Mycotoxin J. 2015, 8, 137–142. [Google Scholar] [CrossRef]
- Magnussen, A.; Parsi, M.A. Aflatoxins, hepatocellular carcinoma and public health. World J. Gastroenterol. 2013, 19, 1508–1512. [Google Scholar] [CrossRef] [PubMed]
- Kensler, T.W.; Roebuck, B.D.; Wogan, G.N.; Groopman, J.D. Aflatoxin: A 50-year odyssey of mechanistic and translational toxicology. Toxicol. Sci. 2011, 120, S28–S48. [Google Scholar] [CrossRef] [PubMed]
- Ehrlich, K.C. Non-aflatoxigenic Aspergillus flavus to prevent aflatoxin contamination in crops: Advantages and limitations. Front. Microbiol. 2014, 5, 50. [Google Scholar] [CrossRef] [PubMed]
- Atehnkeng, J.; Ojiambo, P.S.; Ikotun, T.; Sikora, R.A.; Cotty, P.J.; Bandyopadhyay, R. Evaluation of atoxigenic isolates of Aspergillus flavus as potential biocontrol agents for aflatoxin in maize. Food Addit. Contam. Part A 2008, 25, 1264–1271. [Google Scholar] [CrossRef] [PubMed]
- Sakuda, S.; Yoshinari, T.; Furukawa, T.; Jermnak, J.; Takagi, K.; Iimura, K.; Yamamoto, T.; Suzuki, M.; Nagasawa, H. Search for aflatoxin and trichothecene production inhibitors and analysis of their modes of action. Biosci. Biotechnol. Biochem. 2016, 80, 43–54. [Google Scholar] [CrossRef] [PubMed]
- Holmes, R.A.; Boston, R.S.; Payne, G.A. Diverse inhibitors of aflatoxin biosynthesis. Appl. Microbiol. Biotechnol. 2008, 78, 559–572. [Google Scholar] [CrossRef] [PubMed]
- Takeuchi, S.; Hirayama, K.; Ueda, K.; Sakai, H.; Yonehara, H. Blasticidin S, a new antibiotic. J. Antibiot. 1958, 11, 1–5. [Google Scholar]
- Yamaguchi, H.; Yamamoto, C.; Tanaka, N. Inhibition of protein synthesis by blasticidin S. I. Studies with cell-free systems from bacterial and mammalian cells. J. Biochem. 1965, 57, 667–677. [Google Scholar] [PubMed]
- Huang, K.T.; Misato, T.; Asuyama, H. Selective toxicity of blasticidin S to Piricularia oryzae and Pellicularia sasakii. J. Antibiot. 1964, 17, 71–74. [Google Scholar] [PubMed]
- Seto, H.; Otake, N.; Yonehara, H. Biological transformation of blasticidin S by Aspergillus fumigatus sp. Agric. Biol. Chem. 1966, 30, 877–886. [Google Scholar] [CrossRef]
- Kimura, M.; Takatsuki, A.; Yamaguchi, I. Blasticidin S deaminase gene from Aspergillus terreus (BSD): A new drug resistance gene for transfection of mammalian cells. Biochim. Biophys. Acta 1994, 1219, 653–659. [Google Scholar] [CrossRef]
- Yamaguchi, I.; Shibata, H.; Seto, H.; Misato, T. Isolation and purification of blasticidin S deaminase from Aspergillus terreus. J. Antibiot. 1975, 28, 7–14. [Google Scholar] [CrossRef] [PubMed]
- Yoshinari, T.; Sakuda, S; Watanabe, M.; Kamata, Y.; Ohnishi, T.; Sugita-Konishi, Y. New metabolic pathway for converting blasticidin S in Aspergillus flavus and inhibitory activity of aflatoxin production by blasticidin S metabolites. J. Agric. Food Chem. 2013, 61, 7925–7931. [Google Scholar] [CrossRef] [PubMed]
- Menzel, H.M.; Lichtenthaler, F.W. Structure–activity relationships in the aminoacyl-4-aminohexosyl-cytosine group of peptidyl transferase inhibitors. Nucleic Acids Res. Spec. Publ. 1975, 1, S155–S158. [Google Scholar]
- Yamaguchi, H.; Tanaka, N. Inhibition of protein synthesis by blasticidin S. II. Studies on the site of action in E. coli polypeptide synthesizing systems. J. Biochem. 1966, 60, 632–642. [Google Scholar] [CrossRef] [PubMed]
- Otake, N.; Takeuchi, S.; Endo, T.; Yonehara, H. Chemical studies on blasticidin S. Part III. The structure of blasticidin S. Agric. Biol. Chem. 1966, 30, 132–141. [Google Scholar] [CrossRef]
- Yamaguchi, I.; Seto, H.; Misato, T. Substrate binding by blasticidin S deaminase, an aminohydrolase for novel 4-aminopyrimidine nucleosides. Pestic. Biochem. Physiol. 1986, 25, 54–62. [Google Scholar] [CrossRef]
- Yonehara, H.; Takeuchi, S.; Otake, N.; Endo, T.; Sakagami, Y.; Sumiki, Y. Chemical studies on blasticidin S. I. Hydrolysis of blasticidin S. J. Antibiot. 1963, 16, 195–202. [Google Scholar] [PubMed]
© 2017 by the authors. Licensee MDPI, Basel, Switzerland. This article is an open access article distributed under the terms and conditions of the Creative Commons Attribution (CC BY) license (http://creativecommons.org/licenses/by/4.0/).



