Thermal Stability and Matrix Binding of Citrinin in the Thermal Processing of Starch-Rich Foods
Abstract
1. Introduction
2. Results
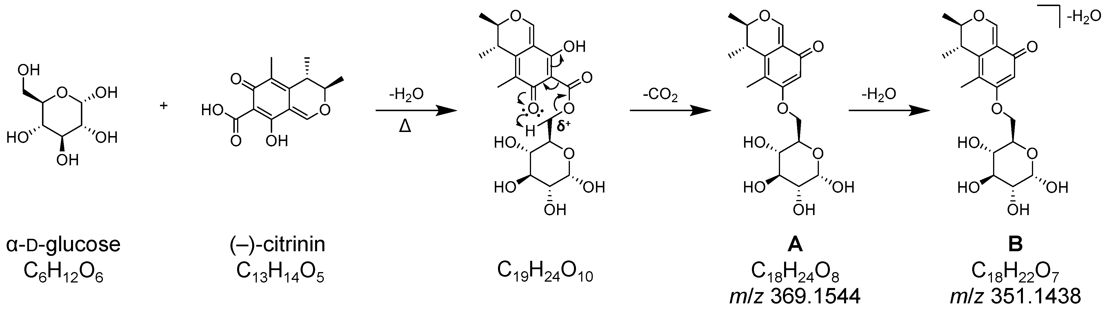
2.1. Reactions of CIT with Different Carbohydrates
- The feature had to have a fold change >2, and the significance level was set at 90% (p-value < 0.1);
- The exact mass had to be assigned to a reasonable sum formula, consisting of C-, O-, and H-atoms (error to the calculated sum formula was not allowed to be greater than 5 ppm) and a m/z ≥ 300;
- The detected feature had to have a retention time shorter than the retention time of CIT (approx. 8.3 min) as the polarity of these reaction products is expected to increase, resulting in less retention than CIT on a reversed-phase column;
- Features identified in experiments where CIT was heated without additives were excluded.
2.2. Reactions and Degradation of CIT in Starch-Rich Baking Products
- Moisture content: low, high, and medium moisture (doughs A, B, and C);
- Sugar: non-reducing sugar (sucrose, dough C) and reducing sugar (glucose, dough D);
- Flour types: type 405, type 550, and whole grain wheat flour (doughs C, E, and F).
- The recipes of the used dough A–F are summarized in Table 2.
- High-temperature conditions (220 °C for 10 min) with a reduced baking time;
- Low-temperature conditions (180 °C for 20 min) with an extended baking time.
2.3. Extractable CIT Reaction Products Formed During Biscuit-Making
2.4. Matrix Binding of CIT During Biscuit-Making
2.5. Cytotoxicity of CIT and DCIT
3. Discussion
4. Materials and Methods
4.1. Chemicals and Reagents
4.2. Isolation of Further Degradation Products
4.3. Model Experiments
4.4. Determination of the Moisture Content
4.5. Biscuit Baking
4.6. Sample Preparation
4.7. HPLC-MS/MS
4.8. Sample Preparation for the Screening of Matrix-Associated CIT Covalently Bound to Starch
4.9. Sample Preparation for the Screening of Matrix-Associated CIT Covalently Bound to Protein
4.10. Exact Mass Measurements with HPLC-DAD-ESI-QTOF
4.11. Data Processing and Statistical Analysis
4.12. Cell Culture
4.13. Cytotoxicity Analysis via Resazurin Assay
Supplementary Materials
Author Contributions
Funding
Institutional Review Board Statement
Informed Consent Statement
Data Availability Statement
Acknowledgments
Conflicts of Interest
References
- EFSA. Scientific Opinion on the risks for public and animal health related to the presence of citrinin in food and feed. EFSA J. 2012, 10, 2605. [Google Scholar] [CrossRef]
- López Sánchez, P.; de Nijs, M.; Spanjer, M.; Pietri, A.; Bertuzzi, T.; Starski, A.; Postupolski, J.; Castellari, M.; Hortós, M. Generation of occurrence data on citrinin in food. EFSA J. 2017, 14, 1177E. [Google Scholar] [CrossRef]
- El Adlouni, C.; Tozlovanu, M.; Naman, F.; Faid, M.; Pfohl-Leszkowicz, A. Preliminary data on the presence of mycotoxins (ochratoxin A, citrinin and aflatoxin B1) in black table olives “Greek style” of Moroccan origin. Mol. Nutr. Food Res. 2006, 50, 507–512. [Google Scholar] [CrossRef] [PubMed]
- Meerpoel, C.; Vidal, A.; Andjelkovic, M.; de Boevre, M.; Tangni, E.K.; Huybrechts, B.; Devreese, M.; Croubels, S.; De Saeger, S. Dietary exposure assessment and risk characterization of citrinin and ochratoxin A in Belgium. Food Chem. Toxicol. 2021, 147, 111914. [Google Scholar] [CrossRef] [PubMed]
- Silva, L.J.G.; Pereira, A.M.P.T.; Pena, A.; Lino, C.M. Citrinin in Foods and Supplements: A Review of Occurrence and Analytical Methodologies. Foods 2020, 10, 14. [Google Scholar] [CrossRef]
- Molinié, A.; Faucet, V.; Castegnaro, M.; Pfohl-Leszkowicz, A. Analysis of some breakfast cereals on the French market for their contents of ochratoxin A, citrinin and fumonisin B1: Development of a method for simultaneous extraction of ochratoxin A and citrinin. Food Chem. 2005, 92, 391–400. [Google Scholar] [CrossRef]
- Cappelli, A.; Lupori, L.; Cini, E. Baking technology: A systematic review of machines and plants and their effect on final products, including improvement strategies. Trends Food Sci. Technol. 2021, 115, 275–284. [Google Scholar] [CrossRef]
- Karlovsky, P.; Suman, M.; Berthiller, F.; de Meester, J.; Eisenbrand, G.; Perrin, I.; Oswald, I.P.; Speijers, G.; Chiodini, A.; Recker, T.; et al. Impact of food processing and detoxification treatments on mycotoxin contamination. Mycotoxin Res. 2016, 32, 179–205. [Google Scholar] [CrossRef] [PubMed]
- Destro, R. Proton transfer in the solid state: Therymodynamic parameters from an X-ray study in the temperature range 20–293 K. Chem. Phys. Lett. 1991, 181, 232–236. [Google Scholar] [CrossRef]
- Destro, R.; Marsh, R.E. Temperature dependence of tautomeric equilibria in the solid state: The case of citrinin. J. Am. Chem. Soc. 1984, 106, 7269–7271. [Google Scholar] [CrossRef]
- Yoneyama, M.; Sharma, R.P. Biochemical alterations induced by citrinin in cultured kidney epithelial cell systems. Arch. Environ. Contam. Toxicol. 1987, 16, 765–770. [Google Scholar] [CrossRef] [PubMed]
- Krejci, M.E.; Bretz, N.S.; Koechel, D.A. Citrinin produces acute adverse changes in renal function and ultrastructure in pentobarbital-anesthetized dogs without concomitant reductions in [potassium]plasma. J. Toxicol. 1996, 106, 167–177. [Google Scholar] [CrossRef]
- Flajs, D.; Peraica, M. Toxicological properties of citrinin. Arh. Hig. Rada Toksikol. 2009, 60, 457–464. [Google Scholar] [CrossRef] [PubMed]
- Rychlik, M.; Humpf, H.-U.; Marko, D.; Dänicke, S.; Mally, A.; Berthiller, F.; Klaffke, H.; Lorenz, N. Proposal of a comprehensive definition of modified and other forms of mycotoxins including “masked” mycotoxins. Mycotoxin Res. 2014, 30, 197–205. [Google Scholar] [CrossRef]
- Schaarschmidt, S.; Fauhl-Hassek, C. The fate of mycotoxins during secondary food processing of maize for human consumption. Compr. Rev. Food Sci. Food Saf. 2021, 20, 91–148. [Google Scholar] [CrossRef]
- Scarpino, V.; Bresciani, A.; Blandino, M. The effects of the extrusion process used for the production of maize snacks and pasta on the free, bound, and total B fumonisin contents. LWT 2024, 198, 115977. [Google Scholar] [CrossRef]
- Schaarschmidt, S.; Fauhl-Hassek, C. Mycotoxins during the Processes of Nixtamalization and Tortilla Production. Toxins 2019, 11, 227. [Google Scholar] [CrossRef] [PubMed]
- Tan, H.; Zhou, H.; Guo, T.; Zhou, Y.; Wang, S.; Liu, X.; Zhang, Y.; Ma, L. Matrix-associated mycotoxins in foods, cereals and feedstuffs: A review on occurrence, detection, transformation and future challenges. Crit. Rev. Food Sci. Nutr. 2024, 64, 3206–3219. [Google Scholar] [CrossRef] [PubMed]
- Berthiller, F.; Schuhmacher, R.; Adam, G.; Krska, R. Formation, determination and significance of masked and other conjugated mycotoxins. Anal. Bioanal. Chem. 2009, 395, 1243–1252. [Google Scholar] [CrossRef]
- Stadler, D.; Berthiller, F.; Suman, M.; Schuhmacher, R.; Krska, R. Novel analytical methods to study the fate of mycotoxins during thermal food processing. Anal. Bioanal. Chem. 2020, 412, 9–16. [Google Scholar] [CrossRef] [PubMed]
- Di Mavungu, J.D.; de Saeger, S. Masked mycotoxins in food and feed: Challenges and analytical approaches. In Determining Mycotoxins and Mycotoxigenic Fungi in Food and Feed; Elsevier: Amsterdam, The Netherlands, 2011; pp. 385–400. ISBN 9781845696740. [Google Scholar]
- Hou, Y.; Liu, J.; Shao, Y.; Peng, X.; Zhang, D.; Hu, L.; Chen, F.; Zhou, Y. Evaluation of the underestimation of citrinin content in Hongqu using hydrolysis treatments and UPLC-FLD. Food Control 2021, 130, 108245. [Google Scholar] [CrossRef]
- Vendl, O.; Crews, C.; MacDonald, S.; Krska, R.; Berthiller, F. Occurrence of free and conjugated Fusarium mycotoxins in cereal-based food. Food Addit. Contam. Part A Chem. Anal. Control Expo. Risk Assess. 2010, 27, 1148–1152. [Google Scholar] [CrossRef] [PubMed]
- Masked Mycotoxins in Food: Formation, Occurrence and Toxicological Relevance; Dall’Asta, C., Berthiller, F., Eds.; Royal Society of Chemistry: Cambridge, UK, 2016; ISBN 9781849739726. [Google Scholar]
- Righetti, L.; Paglia, G.; Galaverna, G.; Dall’Asta, C. Recent Advances and Future Challenges in Modified Mycotoxin Analysis: Why HRMS Has Become a Key Instrument in Food Contaminant Research. Toxins 2016, 8, 361. [Google Scholar] [CrossRef]
- EFSA. Scientific Opinion on the risks for human and animal health related to the presence of modified forms of certain mycotoxins in food and feed. EFSA J. 2014, 12, 3916. [Google Scholar] [CrossRef]
- Kasimir, M.; Behrens, M.; Schulz, M.; Kuchenbuch, H.; Focke, C.; Humpf, H.-U. Intestinal Metabolism of α- and β-Glucosylated Modified Mycotoxins T-2 and HT-2 Toxin in the Pig Cecum Model. J. Agric. Food Chem. 2020, 68, 5455–5461. [Google Scholar] [CrossRef] [PubMed]
- Berthiller, F.; Crews, C.; Dall’Asta, C.; de Saeger, S.; Haesaert, G.; Karlovsky, P.; Oswald, I.P.; Seefelder, W.; Speijers, G.; Stroka, J. Masked mycotoxins: A review. Mol. Nutr. Food Res. 2013, 57, 165–186. [Google Scholar] [CrossRef] [PubMed]
- Bryła, M.; Waśkiewicz, A.; Szymczyk, K.; Jędrzejczak, R. Effects of pH and Temperature on the Stability of Fumonisins in Maize Products. Toxins 2017, 9, 88. [Google Scholar] [CrossRef]
- Seefelder, W.; Knecht, A.; Humpf, H.-U. Bound fumonisin B1: Analysis of fumonisin-B1 glyco and amino acid conjugates by liquid chromatography-electrospray ionization-tandem mass spectrometry. J. Agric. Food Chem. 2003, 51, 5567–5573. [Google Scholar] [CrossRef] [PubMed]
- Bittner, A.; Cramer, B.; Humpf, H.-U. Matrix binding of ochratoxin A during roasting. J. Agric. Food Chem. 2013, 61, 12737–12743. [Google Scholar] [CrossRef] [PubMed]
- Poling, S.M.; Plattner, R.D.; Weisleder, D. N-(1-deoxy-D-fructos-1-yl) fumonisin B1, the initial reaction product of fumonisin B1 and d-glucose. J. Agric. Food Chem. 2002, 50, 1318–1324. [Google Scholar] [CrossRef]
- Kuchenbuch, H.S.; Cramer, B.; Humpf, H.-U. Matrix binding of T-2 toxin: Structure elucidation of reaction products and indications on the fate of a relevant food-borne toxin during heating. Mycotoxin Res. 2019, 35, 261–270. [Google Scholar] [CrossRef]
- Kuchenbuch, H.S.; Becker, S.; Schulz, M.; Cramer, B.; Humpf, H.-U. Thermal stability of T-2 and HT-2 toxins during biscuit- and crunchy muesli-making and roasting. Food Addit. Contam. Part A Chem. Anal. Control Expo. Risk Assess. 2018, 35, 2158–2167. [Google Scholar] [CrossRef]
- Zachariasova, M.; Vaclavikova, M.; Lacina, O.; Vaclavik, L.; Hajslova, J. Deoxynivalenol oligoglycosides: New “masked” fusarium toxins occurring in malt, beer, and breadstuff. J. Agric. Food Chem. 2012, 60, 9280–9291. [Google Scholar] [CrossRef]
- Brückner, L.; Cramer, B.; Humpf, H.-U. Reactions of citrinin with amino compounds modelling thermal food processing. Mycotoxin Res. 2024, 40, 709–720. [Google Scholar] [CrossRef]
- Howard, P.C.; Churchwell, M.I.; Couch, L.H.; Marques, M.M.; Doerge, D.R. Formation of N-(Carboxymethyl)fumonisin B1, Following the Reaction of Fumonisin B1 with Reducing Sugars. J. Agric. Food Chem. 1998, 46, 3546–3557. [Google Scholar] [CrossRef]
- Trivedi, A.B.; Hirota, M.; Doi, E.; Kitabatake, N. Formation of a New Toxic Compound, Citrinin H1 from Citrinin on Mild Heating in Water. J. Chem. Soc. Perkin. Trans. 1993, 1, 2167–2171. [Google Scholar] [CrossRef]
- Hirota, M.; Menta, A.B.; Yoneyama, K.; Kitabatake, N. A major Decomposition Product, Citrinin H2 from Citrinin on heating with Moisture. Biosci. Biotechnol. Biochem. 2002, 66, 206–210. [Google Scholar] [CrossRef] [PubMed]
- Clark, B.R.; Capon, R.J.; Lacey, E.; Tennant, S.; Gill, J.H. Citrinin revisited: From monomers to dimers and beyond. Org. Biomol. Chem. 2006, 4, 1520–1528. [Google Scholar] [CrossRef] [PubMed]
- Grabarics, M.; Lettow, M.; Kirschbaum, C.; Greis, K.; Manz, C.; Pagel, K. Mass Spectrometry-Based Techniques to Elucidate the Sugar Code. Chem. Rev. 2022, 122, 7840–7908. [Google Scholar] [CrossRef] [PubMed]
- Patras, M.A.; Davalos, J.Z.; Kuhnert, N. Understanding the fragmentation of glucose in mass spectrometry. J. Mass Spectrom. 2023, 58, e4972. [Google Scholar] [CrossRef]
- Taylor, V.F.; March, R.E.; Longerich, H.P.; Stadey, C.J. A mass spectrometric study of glucose, sucrose, and fructose using an inductively coupled plasma and electrospray ionization. Int. J. Mass Spectrom. 2005, 243, 71–84. [Google Scholar] [CrossRef]
- Domon, B.; Costello, C.E. A systematic Nomenclature for Carbohydrate Fragmentations in FAB-MS/MS spectra of Glycoconjugates. Glycoconj. J. 1988, 5, 397–409. [Google Scholar] [CrossRef]
- Lowe, M.E. Amylase. In Encyclopedia of Gastroenterology; Johnson, L.R., Ed.; Elsevier: Amsterdam, The Netherlands, 2004; pp. 57–58. [Google Scholar] [CrossRef]
- Li, M.; Hanford, M.J.; Kim, J.-W.; Peeples, T.L. Amyloglucosidase enzymatic reactivity inside lipid vesicles. J. Biol. Eng. 2007, 1, 4. [Google Scholar] [CrossRef] [PubMed]
- Jackson, L.K.; Ciegler, A. Production and analysis of citrinin in corn. Appl. Environ. Microbiol. 1978, 36, 408–411. [Google Scholar] [CrossRef]
- Devi, P.; Naik, C.G.; Rodrigues, C. Biotransformation of citrinin to decarboxycitrinin using an organic solvent-tolerant marine bacterium, Moraxella sp. MB1. Mar. Biotechnol. 2006, 8, 129–138. [Google Scholar] [CrossRef] [PubMed]
- Kitabatake, N.; Trivedi, A.B.; Doi, E. Thermal decomposition and detoxification of citrinin under various moisture conditions. J. Agric. Food Chem. 1991, 39, 2240–2244. [Google Scholar] [CrossRef]
- Hay, R.W.; Bond, M.A. Kinetics of the decarboxylation of acetoacetic acid. Aust. J. Chem. 1967, 20, 1823–1828. [Google Scholar] [CrossRef]
- Food Composition and Nutrition Tables: Die Zusammensetzung der Lebensmittel, Nährwert-Tabellen, 9th ed.; Souci, S.W., Fachmann, W., Kraut, H., Kirchhoff, E., Eds.; Medpharm Scientific Publishers: Stuttgart, Germany, 2024; ISBN 9783804750937. [Google Scholar]
- Cheng, R.-Z.; Kawakishi, S. Selective Degradation of Histidine Residue Mediated by Copper(II)-Catalyzed Autoxidation of Glycated Peptide (Amadori Compound). J. Agric. Food Chem. 1993, 41, 361–365. [Google Scholar] [CrossRef]
- Ramonaitytė, D.T.; Keršienė, M.; Adams, A.; Tehrani, K.A.; De Kimpe, N. The interaction of metal ions with Maillard reaction products in a lactose–glycine model system. Int. Food Res. 2009, 42, 331–336. [Google Scholar] [CrossRef]
- Horikawa, H.; Okada, M.; Nakamura, Y.; Sato, A.; Iwamoto, N. Production of hydroxyl radicals and alpha-dicarbonyl compounds associated with Amadori compound-Cu2+ complex degradation. Free Radic. Res. 2002, 36, 1059–1065. [Google Scholar] [CrossRef]
- Touhami, N.; Soukup, S.T.; Schmidt-Heydt, M.; Kulling, S.E.; Geisen, R. Citrinin as an accessory establishment factor of P. expansum for the colonization of apples. Int. J. Food Microbiol. 2018, 266, 224–233. [Google Scholar] [CrossRef] [PubMed]
- Biesiekierski, J.R. What is gluten? J. Gastroenterol. Hepatol. 2017, 32 (Suppl. 1), 78–81. [Google Scholar] [CrossRef] [PubMed]
- Bergmann, D.; Hübner, F.; Wibbeling, B.; Daniliuc, C.; Cramer, B.; Humpf, H.-U. Large-scale total synthesis of 13C3-labeled citrinin and its metabolite dihydrocitrinone. Mycotoxin Res. 2018, 34, 141–150. [Google Scholar] [CrossRef] [PubMed]
- Gauerhof, C. Studies on Citrinin and Its Metabolites Citrinin-H1 and -H2 in Cereal and Pseudocereal Based Food. Master’s Thesis, University of Münster, Münster, Germany, 2017. [Google Scholar]
- de Oliveira Filho, J.W.G.; Islam, M.T.; Ali, E.S.; Uddin, S.J.; Santos, J.V.d.O.; de Alencar, M.V.O.B.; Júnior, A.L.G.; Paz, M.F.C.J.; de Brito, M.D.R.M.; E Sousa, J.M.d.C.; et al. A comprehensive review on biological properties of citrinin. Food Chem. Toxicol. 2017, 110, 130–141. [Google Scholar] [CrossRef] [PubMed]
- CEN EN 17203:2021; Foodstuffs—Determination of Citrinin in Food by HPLC-MS/MS. Bundesamt für Verbraucherschutz und Lebensmittelsicherheit: Berlin, Germany, 2021.
- Rottkord, U.; Röhl, C.; Ferse, I.; Schulz, M.-C.; Rückschloss, U.; Gekle, M.; Schwerdt, G.; Humpf, H.-U. Structure-activity relationship of ochratoxin A and synthesized derivatives: Importance of amino acid and halogen moiety for cytotoxicity. Arch. Toxicol. 2017, 91, 1461–1471. [Google Scholar] [CrossRef] [PubMed]









| m/z | Retention Time [min] | Max. Intensity [Counts] | Assigned Sum Formula | Sum Formula Change | Δppm | p-Value [−log10] | Fold Change [log2] |
|---|---|---|---|---|---|---|---|
| 369.1548 | 4.95 | 1.50 × 106 | C18H24O8 | +C5H10O3 | 1.0 | 2.14 | 9.45 |
| 531.2080 | 4.85 | 6.90 × 105 | C24H34O13 | +C11H20O8 | 1.4 | 1.95 | 12.7 |
| 369.1546 | 5.16 | 4.25 × 105 | C18H24O8 | +C5H10O3 | 0.5 | 1.65 | 11.0 |
| 351.1440 | 5.07 | 2.01 × 105 | C18H22O7 | +C5H8O2 | 0.4 | 2.07 | 11.1 |
| 693.2749 | 4.73 | 7.96 × 104 | C30H44O18 | +C17H30O13 | 1.5 | 1.2 | 9.4 |
| Ingredient | Dough A | Dough B | Dough C | Dough D | Dough E | Dough F |
|---|---|---|---|---|---|---|
| Variation in Water Content | Variation of the Sugar | Variation of the Wheat Flour Type | ||||
| Low | High | Sucrose | Glucose | Type 550 | Whole Grain | |
| Flour [g] | 480 1 | 480 1 | 480 1 | 480 1 | 480 | 480 |
| Water [g] | 110 | 165 | 137 | 137 | 140 | 143 |
| Coconut Fat [g] | 80 | 80 | 80 | 80 | 80 | 80 |
| Sugar [g] | 120 2 | 120 2 | 120 | 120 | 120 2 | 120 2 |
| Absolute water content 3 [%] | 22.5 | 27.5 | 25.0 | 25.0 | 25.0 | 25.0 |
Disclaimer/Publisher’s Note: The statements, opinions and data contained in all publications are solely those of the individual author(s) and contributor(s) and not of MDPI and/or the editor(s). MDPI and/or the editor(s) disclaim responsibility for any injury to people or property resulting from any ideas, methods, instructions or products referred to in the content. |
© 2025 by the authors. Licensee MDPI, Basel, Switzerland. This article is an open access article distributed under the terms and conditions of the Creative Commons Attribution (CC BY) license (https://creativecommons.org/licenses/by/4.0/).
Share and Cite
Brückner, L.; Neuendorff, F.; Hadenfeldt, K.; Behrens, M.; Cramer, B.; Humpf, H.-U. Thermal Stability and Matrix Binding of Citrinin in the Thermal Processing of Starch-Rich Foods. Toxins 2025, 17, 86. https://doi.org/10.3390/toxins17020086
Brückner L, Neuendorff F, Hadenfeldt K, Behrens M, Cramer B, Humpf H-U. Thermal Stability and Matrix Binding of Citrinin in the Thermal Processing of Starch-Rich Foods. Toxins. 2025; 17(2):86. https://doi.org/10.3390/toxins17020086
Chicago/Turabian StyleBrückner, Lea, Florian Neuendorff, Katharina Hadenfeldt, Matthias Behrens, Benedikt Cramer, and Hans-Ulrich Humpf. 2025. "Thermal Stability and Matrix Binding of Citrinin in the Thermal Processing of Starch-Rich Foods" Toxins 17, no. 2: 86. https://doi.org/10.3390/toxins17020086
APA StyleBrückner, L., Neuendorff, F., Hadenfeldt, K., Behrens, M., Cramer, B., & Humpf, H.-U. (2025). Thermal Stability and Matrix Binding of Citrinin in the Thermal Processing of Starch-Rich Foods. Toxins, 17(2), 86. https://doi.org/10.3390/toxins17020086

