Photobiomodulation with Combined Wavelengths Results in Improved Clinical Recovery in a Murine Model of Bothrops leucurus Venom Envenomation
Abstract
1. Introduction
2. Results
2.1. Combined Wavelength Treatment Restores Physiological Muscle Temperature Levels
2.2. The Association Between Wavelengths Reduces the Edematogenic Activity Induced by the Venom of the Snake B. leucurus
2.3. The Association Between Wavelengths Reduces the Increased Plasma Levels of CK and LDH Caused by the Venom of the Snake B. leucurus
2.4. Multivariate Analysis Reinforces the Approximation Between the Biological Responses Observed in the NC and RIG Groups
2.5. Laser Photobiomodulation Reduces Hyperalgesia Caused by B. leucurus Venom and Associated Wavelengths Bring MNT Closer to Physiological Values
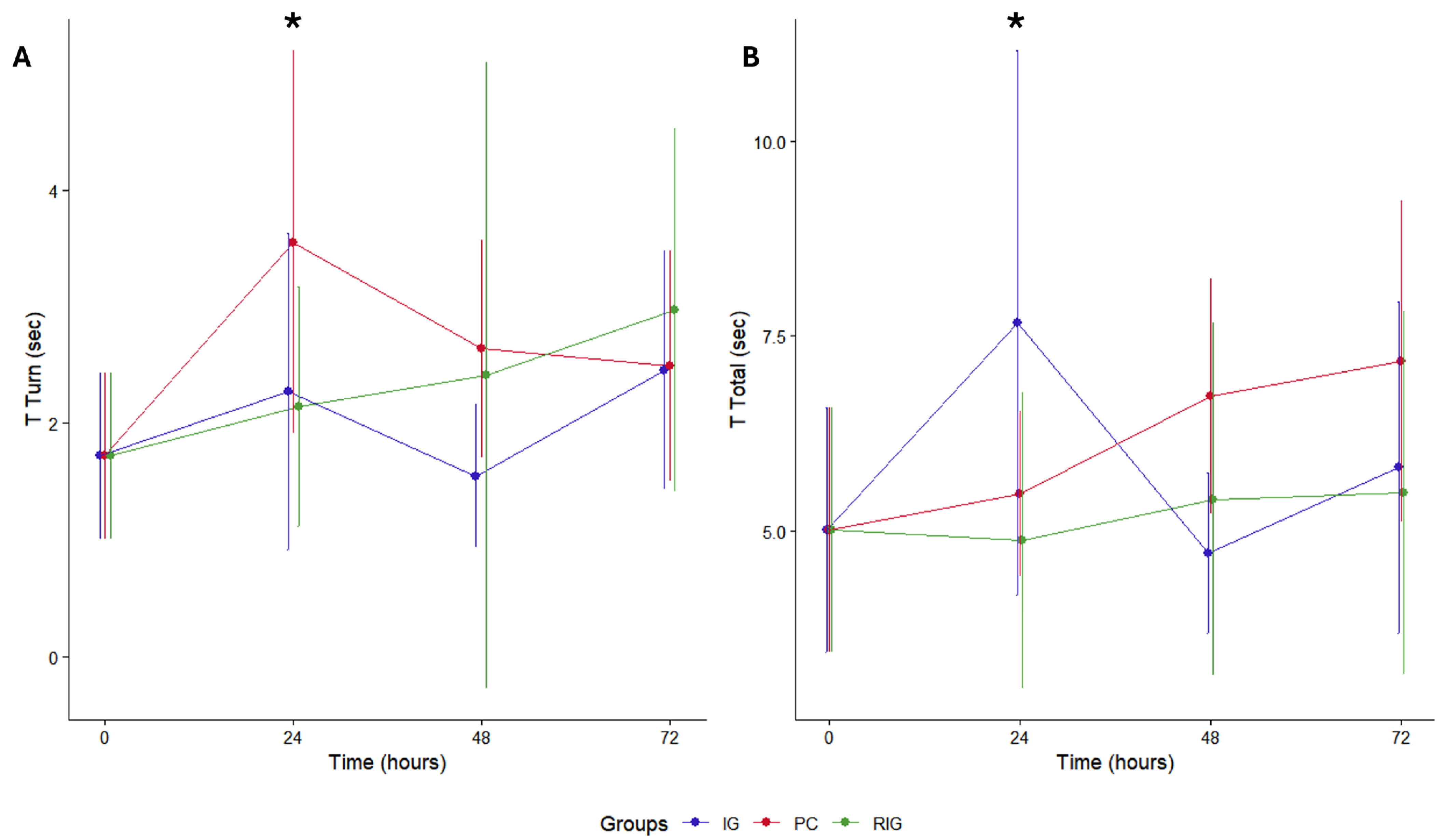
2.6. Pole Test Reveals Acute Motor Deficit Induced by Bv and Functional Improvement Associated with Laser Photobiomodulation
3. Discussion
4. Conclusions
5. Materials and Methods
5.1. Experimental Protocol
5.2. Venom Inoculation
5.3. Laser Photobiomodulation Session
5.4. Assessment of Mechanical Nociceptive Threshold (MNT)
5.5. Pole Test
5.6. Thermographic Analysis
5.7. Edematogenic Activity
5.8. Plasma Concentrations of LDH and CK
5.9. Statistical Analysis
Supplementary Materials
Author Contributions
Funding
Institutional Review Board Statement
Informed Consent Statement
Data Availability Statement
Acknowledgments
Conflicts of Interest
Abbreviations
| BV | Bothrops leucurus venom | 
| PBMT | Photobiomodulation therapy | 
| IG | Infrared group (808 nm) | 
| RIG | Red + infrared group (660/808 nm) | 
| NC | Negative control | 
| PC | Positive control | 
| MNT | Mechanical nociceptive threshold | 
| CK | Creatine kinase | 
| LDH | Lactate dehydrogenase | 
| PCA | Principal component analysis | 
References
- World Health Organization. Snakebite Envenoming: A Strategy for Prevention and Control; World Health Organization: Geneva, Switzerland, 2019; Available online: https://iris.who.int/handle/10665/324838 (accessed on 5 July 2025).
- Silva, W.R.G.B.; de Siqueira Santos, L.; Lira, D.; de Oliveira Luna, K.P.; Fook, S.M.L.; Alves, R.R.N. Who are the most affected by Bothrops snakebite envenoming in Brazil? A Clinical-epidemiological profile study among the regions of the country. PLoS Negl. Trop. Dis. 2023, 17, e0011708. [Google Scholar] [CrossRef] [PubMed]
- Bolon, I.; Durso, A.M.; Botero Mesa, S.; Ray, N.; Alcoba, G.; Chappuis, F.; Ruiz de Castañeda, R. Identifying the snake: First scoping review on practices of communities and healthcare providers confronted with snakebite across the world. PLoS ONE 2020, 15, e0229989. [Google Scholar] [CrossRef] [PubMed]
- Silva, B.F.F.; Moura, T.d.A.; Siqueira-Silva, T.; Gutiérrez, J.M.; Martinez, P.A. Predicting the drivers of Bothrops snakebite incidence across Brazil: A spatial analysis. Toxicon 2024, 250, 108107. [Google Scholar] [CrossRef] [PubMed]
- Munshi, H.; Gajbhiye, R. Strengthening global snakebite data for WHO’s goal for 2030. Lancet 2024, 403, 907–908. [Google Scholar] [CrossRef]
- Silva, L.M.G.; Zamuner, L.F.; David, A.C.; Dos Santos, S.A.; Carvalho, P.T.C.; Zamuner, S.R. Photobiomodulation Therapy on Bothrops Snake Venom-Induced Local Pathological Effects: A Systematic Review. Toxicon 2018, 150, 89–99. [Google Scholar] [CrossRef]
- Ferreira, E.E.F.; dos Reis, V.P.; Santana, H.M.; Nery, N.M.; Evangelista, J.R.; Serrath, S.N.; Dutra, R.S.S.; Rego, C.M.A.; Tavares, M.N.M.; Souza Silva, M.D.; et al. Bothrops atrox mice experimental envenoming treatment using light-emitting diode (LED) as an adjunct therapy to conventional serum therapy. Lasers Med. Sci. 2023, 38, 53. [Google Scholar] [CrossRef]
- David, A.C.; Gonçalves Silva, L.M.; Denegri, M.E.G.; Leiva, L.C.A.; Silva Junior, J.A.; Zuliani, J.P.; Zamuner, S.R. Photobiomodulation therapy on local effects induced by juvenile and adult venoms of Bothrops alternatus. Toxicon 2022, 220, 106941. [Google Scholar] [CrossRef]
- da Silva Carvalho, É.; do Nascimento Souza, A.R.; Melo, D.F.C.; de Farias, A.S.; de Oliveira Macedo, B.B.; Sartim, M.A.; Caggy, M.C.; de Alcântara Rodrigues, B.; Ribeiro, G.S.; Reis, H.N.; et al. Photobiomodulation Therapy to Treat Snakebites Caused by Bothrops atrox: A Randomized Clinical Trial. JAMA Intern. Med. 2024, 184, e6538. [Google Scholar] [CrossRef]
- Lauria, P.S.; Maia-Marques, R.; Oliveira, R.; Nunes, V.L.C.; Casais-e-Silva, L. Effects of Photobiomodulation Therapy on the Local Experimental Envenoming by Bothrops leucurus Snake. J. Photochem. Photobiol. B Biol. 2020, 210, 112087. [Google Scholar] [CrossRef]
- Dourado, D.M.; Matias, R.; Barbosa Ferreira, M.; da Silva, B.A.K.; Muller, J.A.I.; Vieira, W.F.; da Cruz Höfling, M.A. Effects of photobiomodulation therapy on Bothrops moojeni snake envenomed gastrocnemius of mice using enzymatic biomarkers. Lasers Med. Sci. 2017, 32, 1357–1366. [Google Scholar] [CrossRef]
- Silva, G.; da Paixão Sevá, A.; Lessa Silva, F.; Mota Sena de Oliveira, G.; Machado Deorce, D.; de Jesus da Costa Junior, N.; Alzamora Filho, F. Clinical Effects of Combined Red and Infrared Wavelengths in the Treatment of Local Injuries Caused by Bothrops leucurus Snake Venom. Toxicon 2023, 225, 107055. [Google Scholar] [CrossRef]
- Nadur-Andrade, N.; Dale, C.S.; Oliveira, V.R.D.S.; Toniolo, E.F.; Feliciano, R.D.S.; da Silva, J.A., Jr.; Zamuner, S.R. Analgesic effect of photobiomodulation on Bothrops moojeni venom-induced hyperalgesia: A mechanism dependent on neuronal inhibition, cytokines and kinin receptors modulation. PLoS Negl. Trop. Dis. 2017, 10, e0004998. [Google Scholar] [CrossRef] [PubMed]
- Vieira, W.F.; Kenzo-Kagawa, B.; Alvares, L.E.; Cogo, J.C.; Baranauskas, V.; da Cruz-Höfling, M.A. Exploring the Ability of Low-Level Laser Irradiation to Reduce Myonecrosis and Increase Myogenin Transcription after Bothrops jararacussu Envenomation. Photochem. Photobiol. Sci. 2021, 20, 571–583. [Google Scholar] [CrossRef] [PubMed]
- Gouveia, V.A.; Pisete, F.R.F.S.; Wagner, C.L.R.; Dalboni, M.A.; De Oliveira, A.P.L.; Cogo, J.C.; Zamuner, S.R. Photobiomodulation Reduces Cell Death and Cytokine Production in C2C12 Cells Exposed to Bothrops Venoms. Lasers Med. Sci. 2020, 35, 1047–1054. [Google Scholar] [CrossRef] [PubMed]
- Reis, V.P.; Paloschi, M.V.; Rego, C.M.A.; Tavares, M.N.M.; Boeno, C.N.; Lopes, J.A.; Ferreira e Ferreira, A.A.; Soares, A.M.; Zamuner, S.R.; Zuliani, J.P. Photobiomodulation Induces Murine Macrophages Polarization toward M2 Phenotype. Toxicon 2021, 195, 90–99. [Google Scholar] [CrossRef]
- Silva, G.D.; Silva, F.L.; da Paixão Sevá, A.; Deorce, D.M.; da Costa Junior, N.J.; Silva, F.A.; Filho, F.A. Effect of Combined Red and Infrared Wavelengths on Inflammation, Hemorrhage, and Muscle Damage Caused by Bothrops leucurus Snake Venom. Lasers Med. Sci. 2024, 39, 171. [Google Scholar] [CrossRef]
- Mamede, C.C.N.; de Sousa Simamoto, B.B.; da Cunha Pereira, D.F.; de Oliveira, C.J.; Ribeiro, M.S.M.; de Oliveira, F. Edema, Hyperalgesia and Myonecrosis Induced by Brazilian Bothropic Venoms: Overview of the Last Decade. Toxicon 2020, 187, 10–18. [Google Scholar] [CrossRef]
- Hamblin, M.R. Mechanisms and Mitochondrial Redox Signaling in Photobiomodulation. Photochem. Photobiol. 2018, 94, 199–212. [Google Scholar] [CrossRef]
- Freitas, L.F.; Hamblin, M.R. Proposed Mechanisms of Photobiomodulation or Low Level Light Therapy. IEEE J. Sel. Top. Quantum Electron. 2016, 22, 7000417. [Google Scholar] [CrossRef]
- Lubkowska, A.; Pluta, W. Infrared thermography as a non invasive tool in musculoskeletal disease rehabilitation—The control variables in applicability—A systematic review. Appl. Sci. 2022, 12, 4302. [Google Scholar] [CrossRef]
- van der Vinne, V.; Pothecary, C.A.; Wilcox, S.L.; McKillop, L.E.; Benson, L.A.; Kolpakova, J.; Tam, S.K.E.; Krone, L.B.; Fisk, A.S.; Wilson, T.S.; et al. Continuous and Non Invasive Thermography of Mouse Skin Accurately Describes Core Body Temperature Patterns, but Not Absolute Core Temperature. Sci. Rep. 2020, 10, 20680. [Google Scholar] [CrossRef] [PubMed]
- Ricciotti, E.; FitzGerald, G.A. Prostaglandins and Inflammation. Arterioscler. Thromb. Vasc. Biol. 2011, 31, 986–1000. [Google Scholar] [CrossRef] [PubMed]
- Chanmugam, A.; Langemo, D.; Thomason, K.; Haan, J.; Altenburger, E.A.; Tippett, A.; Henderson, L.; Zortman, T.A. Relative Temperature Maximum in Wound Infection and Inflammation as Compared with a Control Subject Using Long Wave Infrared Thermography. Adv. Skin Wound Care 2017, 30, 406–414. [Google Scholar] [CrossRef] [PubMed]
- Santos, S.A.; Serra, A.J.; Stancker, T.G.; Simões, M.C.B.; Vieira, M.A.S.; Leal-Junior, E.C.; Prokic, M.; Vasconsuelo, A.; Santos, S.S.; Carvalho, P.T.C. Effects of Photobiomodulation Therapy on Oxidative Stress in Muscle Injury Animal Models: A Systematic Review. Oxidative Med. Cell. Longev. 2017, 2017, 5273403. [Google Scholar] [CrossRef]
- Franco, A.T.B.; Silva, L.M.G.; Costa, M.S.; Zamuner, S.F.; Vieira, R.P.; Teixeira, C.F.P.; Zamuner, S.R. Effect of Photobiomodulation on Endothelial Cells Exposed to Bothrops jararaca Venom. Lasers Med. Sci. 2017, 32, 1823–1830. [Google Scholar] [CrossRef]
- Oliveira, M.E.; Da Silva, J.T.; Brioschi, M.L.; Chacur, M. Effects of Photobiomodulation Therapy on Neuropathic Pain in Rats: Evaluation of Nociceptive Mediators and Infrared Thermography. Lasers Med. Sci. 2021, 36, 1043–1053. [Google Scholar] [CrossRef]
- Dias, Â.R.; de Oliveira, L.A.; Lauria, P.S.S.; Bordon, K.C.F.; Domênico, A.M.R.; Guerreiro, M.L.S.; Wiezel, G.A.; Cardoso, I.A.; Rossini, B.C.; Marino, C.L.; et al. Bothrops leucurus Snake Venom Protein Profile, Isolation and Biological Characterization of Its Major Toxin PLA2s-like. Toxicon 2022, 213, 27–42. [Google Scholar] [CrossRef]
- Godoy, T.A.; de Lima, E.O.V.; Silveira, G.P.M.; Rodrigues, F.S.; Sant’anna, S.S.; Hatakeyama, D.M.; Grego, K.F.; Tanaka Azevedo, A.M. Analysis of the Genus Bothrops Snake Venom: An Inter and Intraspecific Comparative Study. Heliyon 2024, 10, e37262. [Google Scholar] [CrossRef]
- Nadur Andrade, N.; Barbosa, A.M.; Carlos, F.P.; Lima, C.J.; Cogo, J.C.; Zamuner, S.R. Effects of Photobiostimulation on Edema and Hemorrhage Induced by Bothrops moojeni Venom. Lasers Med. Sci. 2012, 27, 65–70. [Google Scholar] [CrossRef]
- Dourado, D.M.; Fávero, S.; Matias, R.; Carvalho, P.T.C.; da Cruz Höfling, M.A. Low Level Laser Therapy Promotes Vascular Endothelial Growth Factor Receptor 1 Expression in Endothelial and Nonendothelial Cells of Mice Gastrocnemius Exposed to Snake Venom. Photochem. Photobiol. 2011, 87, 418–426. [Google Scholar] [CrossRef]
- Giaretta, V.M.A.; Santos, L.P.; Barbosa, A.M.; Hyslop, S.; Corrado, A.P.; Galhardo, M.S.; Nicolau, R.A.; Cogo, J.C. Low Intensity Laser Therapy Improves Tetanic Contractions in Mouse Anterior Tibialis Muscle Injected with Bothrops jararaca Snake Venom. Res. Biomed. Eng. 2016, 32, 153–160. [Google Scholar] [CrossRef]
- Morandi, L.; Angelini, C.; Prelle, A.; Pini, A.; Grassi, B.; Bernardi, G.; Politano, L.; Bruno, C.; De Grandis, D.; Cudia, P.; et al. High Plasma Creatine Kinase: Review of the Literature and Proposal for a Diagnostic Algorithm. Neurol. Sci. 2006, 27, 303–311. [Google Scholar] [CrossRef] [PubMed]
- Moghadam Kia, S.; Oddis, C.V.; Aggarwal, R. Approach to Asymptomatic Creatine Kinase Elevation. Clevel. Clin. J. Med. 2016, 83, 37–42. [Google Scholar] [CrossRef] [PubMed]
- Feng, W.; Wang, Y.; Zhu, X. Baseline Serum Lactate Dehydrogenase Level Predicts Survival Benefit in Patients with Metastatic Colorectal Cancer Receiving Bevacizumab as First Line Chemotherapy: A Systematic Review and Meta Analysis of 7 Studies and 1,219 Patients. Ann. Transl. Med. 2019, 7, 133. [Google Scholar] [CrossRef]
- Tokinoya, K.; Ishikura, K.; Yoshida, Y.; Ra, S.-G.; Sugasawa, T.; Aoyagi, A.; Nabekura, Y.; Takekoshi, K.; Ohmori, H. LDH Isoenzyme 5 Is an Index of Early Onset Muscle Soreness during Prolonged Running. J. Sports Med. Phys. Fitness 2020, 60, 1020–1026. [Google Scholar] [CrossRef]
- Silva, L.M.G.; da Silva, C.A.A.; da Silva, A.; Vieira, R.P.; Mesquita-Ferrari, R.A.; Cogo, J.C.; Zamuner, S.R. Photobiomodulation Protects and Promotes Differentiation of C2C12 Myoblast Cells Exposed to Snake Venom. PLoS ONE 2016, 11, e0152890. [Google Scholar] [CrossRef]
- Reis, V.P.; Tavares, M.N.M.; Rego, C.M.A.; Ferreira, A.A.F.E.; Setubal, S.S.; Soares, A.M.; Zamuner, S.R.; Zuliani, J.P. Light Emitting Diode (LED) Photobiomodulation Therapy on Murine Macrophages Exposed to Bothropstoxin-I and Bothropstoxin-II Myotoxins. Toxicon 2019, 170, 77–84. [Google Scholar] [CrossRef]
- Greenacre, M.; Groenen, P.J.F.; Hastie, T.; Iodice D’Enza, A.; Markos, A.; Tuzhilina, E. Principal Component Analysis. Nat. Rev. Methods Primers 2022, 2, 100. [Google Scholar] [CrossRef]
- Gautam, M.; Yamada, A.; Yamada, A.I.; Wu, Q.; Kridsada, K.; Ling, J.; Yu, H.; Dong, P.; Ma, M.; Gu, J.; et al. Distinct Local and Global Functions of Mouse Aβ Low Threshold Mechanoreceptors in Mechanical Nociception. Nat. Commun. 2024, 15, 2911. [Google Scholar] [CrossRef]
- Geppetti, P.; Veldhuis, N.A.; Lieu, T.M.; Bunnett, N.W.G. Protein Coupled Receptors: Dynamic Machines for Signaling Pain and Itch. Neuron 2015, 88, 635–649. [Google Scholar] [CrossRef]
- Zambelli, V.O.; Picolo, G.; Fernandes, C.A.H.; Fontes, M.R.M.; Cury, Y. Secreted Phospholipases A2 from Animal Venoms in Pain and Analgesia. Toxins 2017, 9, 406. [Google Scholar] [CrossRef] [PubMed]
- Chen, X.; Zhang, J.; Wang, X. Hormones in Pain Modulation and Their Clinical Implications for Pain Control: A Critical Review. Hormones 2016, 15, 313–320. [Google Scholar] [CrossRef] [PubMed]
- Yam, M.F.; Loh, Y.C.; Tan, C.S.; Adam, S.K.; Manan, N.A.; Basir, R. General Pathways of Pain Sensation and the Major Neurotransmitters Involved in Pain Regulation. Int. J. Mol. Sci. 2018, 19, 2164. [Google Scholar] [CrossRef] [PubMed]
- Oliveira, M.F.; Johnson, D.S.; Demchak, T.; Tomazoni, S.S.; Leal-Junior, E.C. Low-Intensity LASER and LED (Photobiomodulation Therapy) for Pain Control of the Most Common Musculoskeletal Conditions. Eur. J. Phys. Rehabil. Med. 2022, 58, 282–289. [Google Scholar] [CrossRef]
- Zychar, B.C.; Clissa, P.B.; Carvalho, E.; Alves, A.S.; Baldo, C.; Faquim-Mauro, E.L.; Gonçalves, L.R.C. Modulation of Adhesion Molecules Expression by Different Metalloproteases Isolated from Bothrops Snakes. Toxins 2021, 13, 803. [Google Scholar] [CrossRef]
- Waiddyanatha, S.; Silva, A.; Siribaddana, S.; Isbister, G.K. Long-Term Effects of Snake Envenoming. Toxins 2019, 11, 193. [Google Scholar] [CrossRef]
- Fleming, M.K.; Stinear, C.M.; Byblow, W.D. Bilateral Parietal Cortex Function during Motor Imagery. Exp. Brain Res. 2010, 201, 499–508. [Google Scholar] [CrossRef]
- Matsuura, K.; Kabuto, H.; Makino, H.; Ogawa, N. Pole Test Is a Useful Method for Evaluating the Mouse Movement Disorder Caused by Striatal Dopamine Depletion. J. Neurosci. Methods 1997, 73, 45–48. [Google Scholar] [CrossRef]
- Antonialli, F.C.; De Marchi, T.; Tomazoni, S.S.; Vanin, A.A.; Leal-Junior, E.C.P.; Miranda, E.F.; Cogo, J.C.; Bjordal, J.M.; Lima, A.P. Phototherapy in Skeletal Muscle Performance and Recovery after Exercise: Effect of Combination of Super-Pulsed Laser and Light-Emitting Diodes. Lasers Med. Sci. 2014, 6, 1967–1976. [Google Scholar] [CrossRef]
- Lima, A.M.C.T.; da Silva Sergio, L.P.; da Silva Neto Trajano, L.A.; de Souza, B.P.; da Motta Mendes, J.P.; Cardoso, A.F.R.; Figueira, C.P.; dos Anjos Tavares, B.; Figueira, D.S.; Mencalha, A.L.; et al. Photobiomodulation by Dual-Wavelength Low-Power Laser Effects on Infected Pressure Ulcers. Lasers Med. Sci. 2020, 35, 651–660. [Google Scholar] [CrossRef]
- Miranda, E.F.; Diniz, W.A.; Gomes, M.V.N.; Oliveira, M.F.D.; Carvalho, P.T.C.D.; Leal-Junior, E.C.P. Acute Effects of Photobiomodulation Therapy (PBMT) Combining Laser Diodes, Light-Emitting Diodes, and Magnetic Field in Exercise Capacity Assessed by 6MST in Patients with COPD: A Crossover, Randomized, and Triple-Blinded Clinical Trial. Lasers Med. Sci. 2019, 34, 711–719. [Google Scholar] [CrossRef] [PubMed]
- Dompe, C.; Moncrieff, L.; Matys, J.; Grzech-Leśniak, K.; Kocherova, I.; Bryja, A.; Bruska, M.; Dominiak, M.; Mozdziak, P.; Skiba, T.H.I.; et al. Photobiomodulation—Underlying Mechanism and Clinical Applications. J. Clin. Med. 2020, 9, 1724. [Google Scholar] [CrossRef] [PubMed]
- Hamblin, M.R. Photobiomodulation for Skin Pigmentation Disorders: A Dual-Function Treatment. Photomed. Laser Surg. 2023, 41, 199–200. [Google Scholar] [CrossRef] [PubMed]
- Barbosa, A.M.; Villaverde, A.B.; Guimarães-Souza, L.G.; Ribeiro, W.; Cogo, J.C.; Zamuner, S.R. Effect of low-level laser therapy in the inflammatory response induced by Bothrops jararacussu snake venom. Toxicon 2008, 51, 1236–1244. [Google Scholar] [CrossRef]
- Bradman, M.J.G.; Ferrini, F.; Salio, C.; Merighi, A. Practical mechanical threshold estimation in rodents using von Frey hairs/Semmes–Weinstein monofilaments: Towards a rational method. J. Neurosci. Methods. 2015, 255, 92–103. [Google Scholar] [CrossRef]
- Balkaya, M.; Kröber, J.; Gertz, K.; Peruzzaro, S.; Endres, M. Characterization of long term functional outcome in a murine model of mild brain ischemia. J. Neurosci. Methods. 2013, 213, 179–187. [Google Scholar] [CrossRef]
- Fiebig, K.; Jourdan, T.; Kock, M.H.; Merle, R.; Thöne-Reineke, C. Evaluation of infrared thermography for temperature measurement in adult male NMRI nude mice. J. Am. Assoc. Lab. Anim. Sci. 2018, 57, 715–724. [Google Scholar] [CrossRef]
- Patil, I. Visualizations with statistical details: The ‘ggstatsplot’ approach. J. Open Source Softw. 2021, 6, 3141. [Google Scholar] [CrossRef]
- The Jamovi Project. Jamovi (Version 2.4) [Computer Software]. 2025. Available online: https://www.jamovi.org (accessed on 15 October 2025).







| Wavelength | Energy/Point | Time (sec) | Energy Density (ED) | Device Power | Spot | Power Density (PD) | 
|---|---|---|---|---|---|---|
| NC | NA | 10 | NA | NA | NA | NA | 
| CP | NA | 10 | NA | NA | NA | NA | 
| IG | 1 J | 10 | 10 J/cm2 | 100 mW | 0.1 cm2 | 1 W/cm2 | 
| RIG | 0.5 J + 0.5 J | 10 | 10 J/cm2 | 100 mW | 0.1 cm2 | 1 W/cm2 | 
| Disclaimer/Publisher’s Note: The statements, opinions and data contained in all publications are solely those of the individual author(s) and contributor(s) and not of MDPI and/or the editor(s). MDPI and/or the editor(s) disclaim responsibility for any injury to people or property resulting from any ideas, methods, instructions or products referred to in the content. | 
© 2025 by the authors. Licensee MDPI, Basel, Switzerland. This article is an open access article distributed under the terms and conditions of the Creative Commons Attribution (CC BY) license (https://creativecommons.org/licenses/by/4.0/).
Share and Cite
Silva, G.D.d.; Silva, F.L.; Sevá, A.d.P.; Silva, J.F.; Deorce, D.M.; Costa Junior, N.d.J.d.; Silva, F.A.; Filho, F.A. Photobiomodulation with Combined Wavelengths Results in Improved Clinical Recovery in a Murine Model of Bothrops leucurus Venom Envenomation. Toxins 2025, 17, 535. https://doi.org/10.3390/toxins17110535
Silva GDd, Silva FL, Sevá AdP, Silva JF, Deorce DM, Costa Junior NdJd, Silva FA, Filho FA. Photobiomodulation with Combined Wavelengths Results in Improved Clinical Recovery in a Murine Model of Bothrops leucurus Venom Envenomation. Toxins. 2025; 17(11):535. https://doi.org/10.3390/toxins17110535
Chicago/Turabian StyleSilva, Gisele Dias da, Fabiana Lessa Silva, Anaiá da Paixão Sevá, Juneo Freitas Silva, Danilo Machado Deorce, Nerildo de Jesus da Costa Junior, Fernanda Amaral Silva, and Fernando Alzamora Filho. 2025. "Photobiomodulation with Combined Wavelengths Results in Improved Clinical Recovery in a Murine Model of Bothrops leucurus Venom Envenomation" Toxins 17, no. 11: 535. https://doi.org/10.3390/toxins17110535
APA StyleSilva, G. D. d., Silva, F. L., Sevá, A. d. P., Silva, J. F., Deorce, D. M., Costa Junior, N. d. J. d., Silva, F. A., & Filho, F. A. (2025). Photobiomodulation with Combined Wavelengths Results in Improved Clinical Recovery in a Murine Model of Bothrops leucurus Venom Envenomation. Toxins, 17(11), 535. https://doi.org/10.3390/toxins17110535
 
        


 
                         
       