The Toxicokinetics, Excretion Patterns, and Milk Transmission of Ochratoxin A in Lactating Sows
Abstract
1. Introduction
2. Results
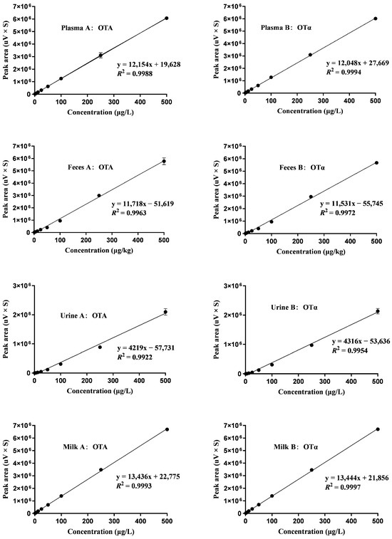
2.1. Validation Parameters
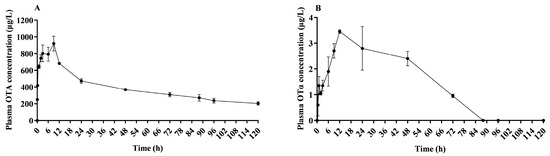
2.2. Plasma Toxicokinetics Parameters of OTA and OTα in Lactating Sows
2.3. Plasma Concentration of OTA and OTα
2.4. Excretion of OTA and OTα through Feces, Urine, and Milk
3. Discussion
4. Conclusions
5. Materials and Methods
5.1. Mycotoxins
5.2. Animals and Experimental Diets
5.3. Toxin Administration Route
5.4. Collection of Plasma, Feces, Urine, and Milk
5.5. Standard Solutions
5.6. Sample Pretreatment
5.7. UPLC-MS/MS Method Validation
5.8. Detecting OTA and OTα in Plasma, Feces, Urine, and Milk Using UPLC-MS/MS
5.9. Statistical Analysis
Supplementary Materials
Author Contributions
Funding
Institutional Review Board Statement
Informed Consent Statement
Data Availability Statement
Conflicts of Interest
References
- EFSA Panel on Contaminants in the Food Chain; Schrenk, D.; Bignami, M.; Bodin, L.; Chipman, J.K.; Del Mazo, J.; Grasl-Kraupp, B.; Hogstrand, C.; Hoogenboom, L.R.; Leblanc, J.C.; et al. Risks for animal health related to the presence of ochratoxin a (ota) in feed. EFSA J. 2023, 21, e08375. [Google Scholar] [CrossRef] [PubMed]
- Iqbal, S.Z.; Asi, M.R.; Hanif, U.; Zuber, M.; Jinap, S. The presence of aflatoxins and ochratoxin a in rice and rice products; and evaluation of dietary intake. Food Chem. 2016, 210, 135–140. [Google Scholar] [CrossRef] [PubMed]
- Li, X.; Ma, W.; Ma, Z.; Zhang, Q.; Li, H. The occurrence and contamination level of ochratoxin a in plant and animal-derived food commodities. Molecules 2021, 26, 6928. [Google Scholar] [CrossRef] [PubMed]
- Leitão, A.L. Occurrence of ochratoxin a in coffee: Threads and solutions—A mini-review. Beverages 2019, 5, 36. [Google Scholar] [CrossRef]
- Vlachou, M.; Pexara, A.; Solomakos, N.; Govaris, A. Ochratoxin a in slaughtered pigs and pork products. Toxins 2022, 14, 67. [Google Scholar] [CrossRef]
- Boudra, H.; Saivin, S.; Buffiere, C.; Morgavi, D. Short communication: Toxicokinetics of ochratoxin a in dairy ewes and carryover to milk following a single or long-term ingestion of contaminated feed. J. Dairy Sci. 2013, 96, 6690–6696. [Google Scholar] [CrossRef]
- Bui-Klimke, T.R.; Wu, F. Ochratoxin a and human health risk: A review of the evidence. Crit. Rev. Food Sci. Nutr. 2015, 55, 1860–1869. [Google Scholar] [CrossRef]
- Wang, Y.; Wang, L.; Wu, F.; Liu, F.; Wang, Q.; Zhang, X.; Selvaraj, J.N.; Zhao, Y.; Xing, F.; Yin, W.-B.; et al. A consensus ochratoxin a biosynthetic pathway: Insights from the genome sequence of aspergillus ochraceus and a comparative genomic analysis. Appl. Environ. Microbiol. 2018, 84, e01009-18. [Google Scholar] [CrossRef]
- EFSA Panel on Contaminants in the Food Chain; Schrenk, D.; Bodin, L.; Chipman, J.K.; Del Mazo, J.; GraslKraupp, B.; Hogstrand, C.; Hoogenboom, L.; Leblanc, J.-C.; Nebbia, C.S.; et al. Risk assessment of ochratoxin a in food. EFSA J. 2020, 18, e06113. [Google Scholar] [CrossRef]
- Battacone, G.; Nudda, A.; Pulina, G. Effects of ochratoxin a on livestock production. Toxins 2010, 2, 1796–1824. [Google Scholar] [CrossRef] [PubMed]
- Qing, H.; Huang, S.; Zhan, K.; Zhao, L.; Zhang, J.; Ji, C.; Ma, Q. Combined toxicity evaluation of ochratoxin a and aflatoxin b1 on kidney and liver injury, immune inflammation, and gut microbiota alteration through pair-feeding pullet model. Front. Immunol. 2022, 13, 920147. [Google Scholar] [CrossRef]
- Qing, H.; Huo, X.; Huang, S.; Zhao, L.; Zhang, J.; Ji, C.; Ma, Q. Bacillus subtilis ansb168 producing d-alanyl-d-alanine carboxypeptidase could alleviate the immune injury and inflammation induced by ochratoxin a. Int. J. Mol. Sci. 2021, 22, 12059. [Google Scholar] [CrossRef]
- Zheng, R.; Qing, H.; Ma, Q.; Huo, X.; Huang, S.; Zhao, L.; Zhang, J.; Ji, C. A newly isolated alcaligenes faecalis ansa176 with the capability of alleviating immune injury and inflammation through efficiently degrading ochratoxin a. Toxins 2022, 14, 569. [Google Scholar] [CrossRef] [PubMed]
- Creppy, E.E.; Röschenthaler, R.; Dirheimer, G. Inhibition of protein synthesis in mice by ochratoxin a and its prevention by phenylalanine. Food Chem. Toxicol. 1984, 22, 883–886. [Google Scholar] [CrossRef] [PubMed]
- Omar, R.F.; Rahimtula, A.D.; Bartsch, H. Role of cytochrome p-450 in ochratoxin a-stimulated lipid peroxidation. J. Biochem. Toxicol. 1991, 6, 203–209. [Google Scholar] [CrossRef] [PubMed]
- Wang, W.; Zhai, S.; Xia, Y.; Wang, H.; Ruan, D.; Zhou, T.; Zhu, Y.; Zhang, H.; Zhang, M.; Ye, H.; et al. Ochratoxin a induces liver inflammation: Involvement of intestinal microbiota. Microbiome 2019, 7, 151. [Google Scholar] [CrossRef] [PubMed]
- Longobardi, C.; Ferrara, G.; Andretta, E.; Montagnaro, S.; Damiano, S.; Ciarcia, R. Ochratoxin a and kidney oxidative stress: The role of nutraceuticals in veterinary medicine-a review. Toxins 2022, 14, 398. [Google Scholar] [CrossRef]
- Galtier, P.; Alvinerie, M.; Charpenteau, J.L. The pharmacokinetic profiles of ochratoxin a in pigs, rabbits and chickens. Food Cosmet. Toxicol. 1981, 19, 735–738. [Google Scholar] [CrossRef]
- Li, S.; Marquardt, R.R.; Frohlich, A.A.; Vitti, T.G.; Crow, G. Pharmacokinetics of ochratoxin a and its metabolites in rats. Toxicol. Appl. Pharmacol. 1997, 145, 82–90. [Google Scholar] [CrossRef]
- Stander, M.A.; Nieuwoudt, T.W.; Steyn, P.S.; Shephard, G.S.; Creppy, E.E.; Sewram, V. Toxicokinetics of ochratoxin a in vervet monkeys (Cercopithecus aethiops). Arch. Toxicol. 2001, 75, 262–269. [Google Scholar] [CrossRef]
- Bernhoft, A.; Hogasen, H.R.; Rosenlund, G.; Ivanova, L.; Berntssen, M.H.G.; Alexander, J.; Eriksen, G.S.; Fæste, C.K. Tissue distribution and elimination of deoxynivalenol and ochratoxin a in dietary-exposed atlantic salmon (salmo salar). Food Addit. Contam. Part A Chem. Anal. Control Expo. Risk Assess. 2017, 34, 1211–1224. [Google Scholar] [CrossRef]
- Kang, R.; Qu, H.; Guo, Y.; Zhang, M.; Fu, T.; Huang, S.; Zhao, L.; Zhang, J.; Ji, C.; Ma, Q. Toxicokinetics of a single oral dose of ota on dezhou male donkeys. Toxins 2023, 15, 88. [Google Scholar] [CrossRef]
- Yoder, A.D.; Stark, C.R.; DeRouchey, J.M.; Tokach, M.D.; Paulk, C.B.; Gebhardt, J.; Woodworth, J.C.; Jones, C.K.; Zumbaugh, C.A. Effect of cleaning corn on mycotoxin concentration and nursery pig growth performance. Transl. Anim. Sci. 2021, 5, txab134. [Google Scholar] [CrossRef]
- Hagelberg, S.; Hult, K.; Fuchs, R. Toxicokinetics of ochratoxin a in several species and its plasma-binding properties. J. Appl. Toxicol. 1989, 9, 91–96. [Google Scholar] [CrossRef]
- Devreese, M.; Croubels, S.; De Baere, S.; Gehring, R.; Antonissen, G. Comparative toxicokinetics and plasma protein binding of ochratoxin a in four avian species. J. Agric. Food Chem. 2018, 66, 2129–2135. [Google Scholar] [CrossRef] [PubMed]
- Boudra, H.; Barnouin, J.; Dragacci, S.; Morgavi, D.P. Aflatoxin m1 and ochratoxin a in raw bulk milk from french dairy herds. J. Dairy Sci. 2007, 90, 3197–3201. [Google Scholar] [CrossRef] [PubMed]
- Munoz, K.; Blaszkewicz, M.; Campos, V.; Vega, M.; Degen, G.H. Exposure of infants to ochratoxin a with breast milk. Arch. Toxicol. 2014, 88, 837–846. [Google Scholar] [CrossRef]
- Blank, R.; Wolffram, S. Effect of dietary sodium bicarbonate supplementation on the toxicokinetics of ochratoxin a in pigs. Mycotoxin Res. 2005, 21, 147–149. [Google Scholar] [CrossRef] [PubMed]





| Matrix | Composition | Slope | R2 | Range (µg/L)/(µg/kg) | Sensitivity (µg/L)/(µg/kg) | |
|---|---|---|---|---|---|---|
| LOD | LOQ | |||||
| Plasma | OTA | 12,154 | 0.9988 | 1.25–500 | 0.2 | 0.6 |
| OTα | 12,048 | 0.9994 | 1.25–500 | 0.2 | 0.6 | |
| Feces | OTA | 11,718 | 0.9963 | 1.25–500 | 0.4 | 1.2 |
| OTα | 11,531 | 0.9972 | 1.25–500 | 0.4 | 1.2 | |
| Urine | OTA | 4219 | 0.9922 | 1.25–500 | 0.2 | 1.0 |
| OTα | 4316 | 0.9954 | 1.25–500 | 0.2 | 1.0 | |
| Milk | OTA | 13,436 | 0.9993 | 1.25–500 | 0.2 | 0.6 |
| OTα | 13,444 | 0.9997 | 1.25–500 | 0.2 | 0.6 | |
| Item | Spike Level (µg/L)/(µg/kg) | Average Recovery (%) | |||
|---|---|---|---|---|---|
| Plasma | Feces | Urine | Milk | ||
| OTA | 20 | 87.03 | 85.50 | 90.68 | 96.65 |
| 100 | 84.25 | 82.50 | 82.30 | 92.78 | |
| OTα | 20 | 86.95 | 87.20 | 92.35 | 95.20 |
| 100 | 85.23 | 83.60 | 84.50 | 93.60 | |
| Parameters | Value of OTA | Value of OTα |
|---|---|---|
| OTA (μg/kg BW) | 500 | |
| Tmax (h) | 9.00 ± 0.00 | 12.00 ± 0.00 |
| Cmax (µg·L−1) | 920.25 ± 88.46 | 3.45 ± 0.07 |
| T1/2Elim (h) | 78.47 ± 7.68 | 33.61 ± 12.13 |
| AUC (µg·mL−1·h) | 69.50 ± 7.90 | 0.21 ± 0.01 |
| MRT (h) | 107.78 ± 9.33 | 51.91 ± 11.98 |
| Cl (L·kg·BW−1·h−1) | 0.0014 ± 0.00 | 0.44 ± 0.02 |
| Vd (L/kg BW) | 0.16 ± 0.003 | 26.18 ± 13.36 |
| Parameters | Mass Value (mg) | The Amount of Substance (µmol) |
|---|---|---|
| Body weight (kg) | 186.25 ± 10.30 | |
| OTA (μg/kg BW) | 500 | |
| OTA intake | 93.12 ± 5.15 | 230.62 ± 12.76 |
| OTA excretion via feces | 0.07 ± 0.01 | 0.17 ± 0.02 |
| OTα excretion via feces | 11.02 ± 2.38 | 42.96 ± 9.28 |
| Total OTA and OTα excretion through feces(%) | 11.91 ± 0.03 | 18.70 ± 0.04 |
| Absorption rate (%) | 88.09 ± 0.03 | 81.30 ± 0.04 |
| OTA excretion via urine | 2.46 ± 0.18 | 6.11 ± 0.47 |
| OTα excretion via urine | 3.40 ± 0.04 | 13.26 ± 0.18 |
| Total OTA and OTα excretion through urine (%) | 6.29 ± 0.001 | 8.40 ± 0.002 |
| Parameters | Value | Value |
|---|---|---|
| OTA (μg/kg BW) | 500 | 66 * |
| OTA excretion via feces (%) | 0.08 ± 0.00 | 0.8 ± 0.2 |
| OTα excretion via feces (%) | 18.63 ± 0.04 | 45.4 ± 2.7 |
| OTA excretion via urine (%) | 2.65 ± 0.002 | 5.5 ± 1.9 |
| OTα excretion via urine (%) | 5.75 ± 0.001 | 3.8 ± 0.3 |
| Animals | ||
| Physiological stage | Lactating | Growing |
| Body weight (kg) | 186.25 ± 10.30 | 36.7 ± 2.0 |
| Reference | This study | Blank et al. (2005) [28] |
| Time | Milk Concentration of OTA (μg/L) | Plasma Concentration of OTA (μg/L) | * M/P |
|---|---|---|---|
| 0 min | 0 | 0 | 0 |
| 6 h | 39.55 ± 14.77 | 792.30 ± 84.57 | 0.06 ± 0.01 |
| 12 h | 137.87 ± 3.67 | 681.40 ± 15.98 | 0.20 ± 0.01 |
| 24 h | 200.03 ± 35.35 | 472.50 ± 25.88 | 0.46 ± 0.08 |
| 48 h | 69.35 ± 9.34 | 368.60 ± 11.46 | 0.18 ± 0.04 |
| 72 h | 0 | 308.85 ± 26.80 | 0 |
| Ingredients | Content | Nutrient Levels ② | Content |
|---|---|---|---|
| Corn | 55.50 | Net energy (NE) ③ | 10.67 |
| Soybean meal | 13.00 | Crude Protein (CP) | 17.50 |
| Steamed dried fish meal | 2.00 | Calcium (Ca) | 0.96 |
| Extruded soybean | 7.00 | Total phosphorus (TP) | 0.65 |
| Rice bran meal | 7.00 | Available phosphorus(AP) | 0.36 |
| Sugar beet pulp | 2.00 | Crude fiber (CF) | 3.20 |
| Coarse wheat bran | 3.00 | Sodium chloride (NaCl) | 0.75 |
| Extruded flax seed | 2.50 | Sodium (Na+) | 0.21 |
| Soybean oil | 2.00 | Chloride (Cl−) | 0.43 |
| Glucose | 2.00 | Standard ileal digestible lysine (SID-Lys) | 1.10 |
| Premix ① | 4.00 |
Disclaimer/Publisher’s Note: The statements, opinions and data contained in all publications are solely those of the individual author(s) and contributor(s) and not of MDPI and/or the editor(s). MDPI and/or the editor(s) disclaim responsibility for any injury to people or property resulting from any ideas, methods, instructions or products referred to in the content. |
© 2024 by the authors. Licensee MDPI, Basel, Switzerland. This article is an open access article distributed under the terms and conditions of the Creative Commons Attribution (CC BY) license (https://creativecommons.org/licenses/by/4.0/).
Share and Cite
Zhu, Q.; Qu, H.; Kang, R.; Zheng, Y.; Guo, Q.; Huang, S.; Zhao, L.; Ma, Q. The Toxicokinetics, Excretion Patterns, and Milk Transmission of Ochratoxin A in Lactating Sows. Toxins 2024, 16, 128. https://doi.org/10.3390/toxins16030128
Zhu Q, Qu H, Kang R, Zheng Y, Guo Q, Huang S, Zhao L, Ma Q. The Toxicokinetics, Excretion Patterns, and Milk Transmission of Ochratoxin A in Lactating Sows. Toxins. 2024; 16(3):128. https://doi.org/10.3390/toxins16030128
Chicago/Turabian StyleZhu, Qiufeng, Honglei Qu, Ruifen Kang, Yunduo Zheng, Qiuying Guo, Shimeng Huang, Lihong Zhao, and Qiugang Ma. 2024. "The Toxicokinetics, Excretion Patterns, and Milk Transmission of Ochratoxin A in Lactating Sows" Toxins 16, no. 3: 128. https://doi.org/10.3390/toxins16030128
APA StyleZhu, Q., Qu, H., Kang, R., Zheng, Y., Guo, Q., Huang, S., Zhao, L., & Ma, Q. (2024). The Toxicokinetics, Excretion Patterns, and Milk Transmission of Ochratoxin A in Lactating Sows. Toxins, 16(3), 128. https://doi.org/10.3390/toxins16030128

