Geographic Variability, Seasonality, and Increase in ASPCA Animal Poison Control Center Harmful Blue-Green Algae Calls—United States and Canada, 2010–2022
Abstract
1. Introduction
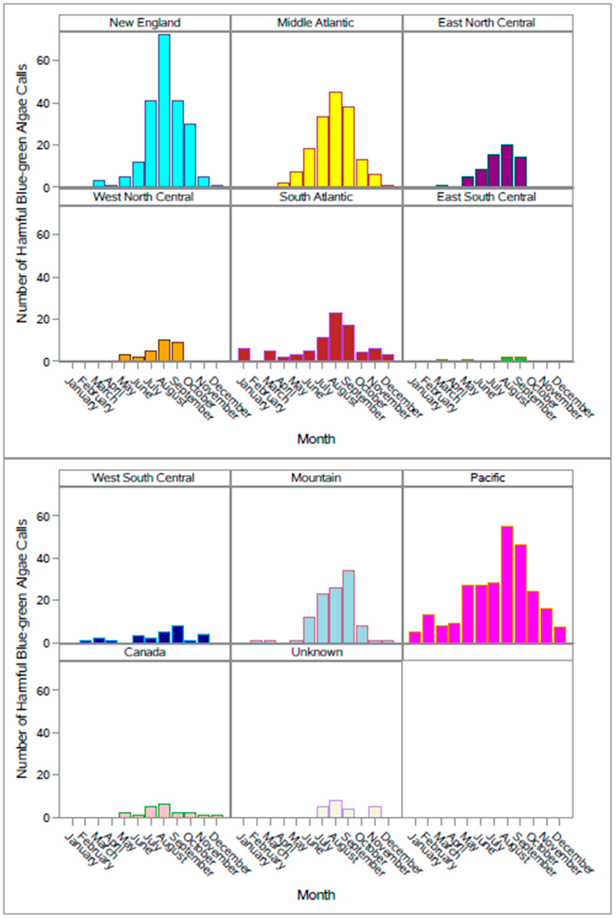
2. Results
3. Discussion
4. Conclusions
5. Materials and Methods
| Observed: Caller has original packaging, label, or image from receipt |
| Evidence: Caller has majority of information on package, label, receipt, image, but some identifiers are missing |
| Suspected: Caller believes this is the agent involved based on partial identifiers or how the animal is acting |
| Possible: Caller knows the product but not the specific ingredients, or observed a potential exposure (e.g., licking a puddle of unknown liquid by a car) such that all potential agents the animal could have had access to (e.g., antifreeze, brake fluid) receive this designation |
| Not specific: Agent is known but concentration is not known, or the agent indicated in the call record has the same ingredients but is not the exact product |
| Unknown: Information to designate agent certainty is unknown |
Author Contributions
Funding
Institutional Review Board Statement
Data Availability Statement
Acknowledgments
Conflicts of Interest
References
- Vermeylen, M.K.; Knowles, T.G.; Barron, H.W. The influence of Lake Okeechobee discharges on Karenia brevis blooms and the effects on wildlife along the central west coast of Florida. Harmful Algae 2022, 115, 102237. [Google Scholar] [CrossRef] [PubMed]
- Paerl, H.W.; Huisman, J. Climate change: A catalyst for global expansion of harmful cyanobacterial blooms. Environ. Microbiol. Rep. 2009, 1, 27–37. [Google Scholar] [CrossRef] [PubMed]
- Zhou, Y.; Yan, W.; Wei, W. Effect of sea surface temperature and precipitation on annual frequency of harmful algal blooms in the East China Sea over the past decades. Env. Pollut. 2021, 270, 116224. [Google Scholar] [CrossRef]
- Schaeffer, B.A.; Urquhart, E.; Coffer, M.; Salls, W.; Stumpf, R.P.; Loftin, K.A.; Werdell, P.J. Satellites quantify the spatial extent of cyanobacterial blooms across the United States at multiple scales. Ecol. Indic. 2022, 140, 108990. [Google Scholar] [CrossRef]
- CDC. General Information about Harmful Algal Blooms. Available online: https://www.cdc.gov/habs/general.html (accessed on 24 January 2023).
- Turner, A.D.; Lewis, A.M.; Bradley, K.; Maskrey, B.H. Marine invertebrate interactions with Harmful Algal Blooms—Implications for One Health. J. Invertebr. Pathol. 2021, 186, 107555. [Google Scholar] [CrossRef]
- Rolton, A.; Rhodes, L.; Hutson, K.S.; Biessy, L.; Bui, T.; MacKenzie, L.; Symonds, J.E.; Smith, K.F. Effects of Harmful Algal Blooms on Fish and Shellfish Species: A Case Study of New Zealand in a Changing Environment. Toxins 2022, 14, 341. [Google Scholar] [CrossRef]
- Burdick, S.M.; Hewitt, D.A.; Martin, B.A.; Schenk, L.; Rounds, S.A. Effects of harmful algal blooms and associated water-quality on endangered Lost River and shortnose suckers. Harmful Algae 2020, 97, 101847. [Google Scholar] [CrossRef]
- Trevino-Garrison, I.; DeMent, J.; Ahmed, F.S.; Haines-Lieber, P.; Langer, T.; Ménager, H.; Neff, J.; Van der Merwe, D.; Carney, E. Human illnesses and animal deaths associated with freshwater harmful algal blooms-Kansas. Toxins 2015, 7, 353–366. [Google Scholar] [CrossRef]
- Backer, L.C.; Landsberg, J.H.; Miller, M.; Keel, K.; Taylor, T.K. Canine cyanotoxin poisonings in the United States (1920s–2012): Review of suspected and confirmed cases from three data sources. Toxins 2013, 5, 1597–1628. [Google Scholar] [CrossRef]
- Wolfe, E.M. Harmful algal bloom resources for livestock veterinarians. J. Am. Vet. Med. Assoc. 2021, 259, 151–161. [Google Scholar] [CrossRef]
- Jessup, D.A.; Miller, M.A.; Kreuder-Johnson, C.; Conrad, P.A.; Tinker, M.T.; Estes, J.; Mazet, J.A. Sea otters in a dirty ocean. J. Am. Vet. Med. Assoc. 2007, 231, 1648–1652. [Google Scholar] [CrossRef] [PubMed]
- Raposo, M.I.C.; Gomes, M.T.S.R.; Botelho, M.J.; Rudnitskaya, A. Paralytic Shellfish Toxins (PST)-Transforming Enzymes: A Review. Toxins 2020, 12, 344. [Google Scholar] [CrossRef]
- Young, N.; Sharpe, R.A.; Barciela, R.; Nichols, G.; Davidson, K.; Berdalet, E.; Fleming, L.E. Marine harmful algal blooms and human health: A systematic scoping review. Harmful Algae 2020, 98, 101901. [Google Scholar] [CrossRef] [PubMed]
- Codd, G.A.; Edwards, C.; Beattie, K.A.; Barr, W.M.; Gunn, G.J. Fatal attraction to cyanobacteria? Nature 1992, 359, 110–111. [Google Scholar] [CrossRef]
- US EPA. State HABs Monitoring Programs and Resources. Available online: https://www.epa.gov/cyanohabs/state-habs-monitoring-programs-and-resources (accessed on 22 February 2023).
- NOAA National Centers for Coastal Ocean Science. Harmful Algal Bloom Monitoring System. Available online: https://coastalscience.noaa.gov/science-areas/stressor-impacts-mitigation/hab-monitoring-system/ (accessed on 10 April 2023).
- CDC. Using OHHABS. Available online: https://www.cdc.gov/habs/using-ohhabs.html (accessed on 24 January 2023).
- National Academies of Sciences, Engineering, and Medicine; Division on Earth and Life Studies; Standing Committee on the Use of Emerging Science for Environmental Health Decisions; Health and Medicine Division; Board on Health Care Services; Forum on Aging, Disability and Independence; National Cancer Policy Forum. Companion Animals as Sentinels for Predicting Environmental Exposure Effects on Aging and Cancer Susceptibility in Humans: Proceedings of a Workshop; Cooper, R., Berkower, C., Nass, S., Eds.; National Academies Press: Cambridge, MA, USA, 2022; p. 26547. [Google Scholar] [CrossRef]
- Hilborn, E.D.; Beasley, V.R. One Health and Cyanobacteria in Freshwater Systems: Animal Illnesses and Deaths Are Sentinel Events for Human Health Risks. Toxins 2015, 7, 1374–1395. [Google Scholar] [CrossRef] [PubMed]
- Backer, L.C.; Manassaram-Baptiste, D.; LePrell, R.; Bolton, B. Cyanobacteria and algae blooms: Review of health and environmental data from the Harmful Algal Bloom-Related Illness Surveillance System (HABISS) 2007–2011. Toxins 2015, 7, 1048–1064. [Google Scholar] [CrossRef]
- AnTox. ASPCApro. Available online: https://www.aspcapro.org/animal-poison-control-center-1 (accessed on 24 January 2023).
- Swirski, A.L.; Pearl, D.L.; Berke, O.; O’Sullivan, T.L. Companion animal exposures to potentially poisonous substances reported to a national poison control center in the United States in 2005 through 2014. J. Am. Vet. Med. Assoc. 2020, 257, 517–530. [Google Scholar] [CrossRef]
- Means, C.; Wismer, T. An Overview of Trends in Animal Poisoning Cases in the United States: 2011 to 2017. Vet. Clin. North Am. Small Anim. Pr. 2018, 48, 899–907. [Google Scholar] [CrossRef]
- Shahin, K.; Pearl, D.L.; Martinko, C.; Berke, O.; O’Sullivan, T.L. Examining the differential use of a North American animal poison control call center by veterinarians and the public for dog-related calls. PLoS ONE 2022, 17, e0276959. [Google Scholar] [CrossRef]
- Khan, S.A.; McLean, M.K. Toxicology of Frequently Encountered Nonsteroidal Anti-Inflammatory Drugs in Dogs and Cats. Vet. Clin. N. Am. Small Anim. Pract. 2012, 42, 289–306. [Google Scholar] [CrossRef]
- US Census Bureau. Geographic Levels. 2021. Available online: https://www.census.gov/programs-surveys/economic-census/guidance-geographies/levels.html (accessed on 28 July 2023).
- Rabinowitz, P.; Conti, L. Links Among Human Health, Animal Health, and Ecosystem Health. Annu. Rev. Public Health 2013, 34, 189–204. [Google Scholar] [CrossRef]
- Schmidt, P.L. Companion animals as sentinels for public health. Vet. Clin. North Am. Small Anim. Pr. 2009, 39, 241–250. [Google Scholar] [CrossRef]
- Karacostas, C.; Toxic Algae Blooms That Kill Dogs Are Becoming More Common. And Climate Change Is Making It Worse, Scientists Say. The Texas Tribune. Available online: https://www.texastribune.org/2019/11/14/texas-climate-change-worsening-toxic-algae-blooms/ (accessed on 7 March 2023).
- CDC. Summary Report—One Health Harmful Algal Bloom System (OHHABS), United States. 2020. Available online: https://www.cdc.gov/habs/data/2020-ohhabs-data-summary.html (accessed on 21 November 2022).
- CDC. Summary Report—One Health Harmful Algal Bloom System (OHHABS), United States. 2019. Available online: https://www.cdc.gov/habs/data/2019-ohhabs-data-summary.html (accessed on 7 February 2023).
- Visser, P.M.; Verspagen, J.M.; Sandrini, G.; Stal, L.J.; Matthijs, H.C.; Davis, T.W.; Paerl, H.W.; Huisman, J. How rising CO2 and global warming may stimulate harmful cyanobacterial blooms. Harmful Algae 2016, 54, 145–159. [Google Scholar] [CrossRef] [PubMed]
- Yan, X.; Xu, X.; Wang, M.; Wang, G.; Wu, S.; Li, Z.; Sun, H.; Shi, A.; Yang, Y. Climate warming and cyanobacteria blooms: Looks at their relationships from a new perspective. Water Res. 2017, 125, 449–457. [Google Scholar] [CrossRef]
- Carmichael, W.W.; Boyer, G.L. Health impacts from cyanobacteria harmful algae blooms: Implications for the North American Great Lakes. Harmful Algae 2016, 54, 194–212. [Google Scholar] [CrossRef] [PubMed]
- Löptien, U.; Dietze, H. Retracing cyanobacteria blooms in the Baltic Sea. Sci. Rep. 2022, 12, 10873. [Google Scholar] [CrossRef]
- Shahin, K.; Pearl, D.L.; Berke, O.; O’Sullivan, T.L. Investigating the distribution of calls to a North American animal poison control call center by veterinarians and the public in space, time, and space-time. PLoS ONE 2023, 18, e0279299. [Google Scholar] [CrossRef]
- US Department of Commerce; NOAA National Ocean Service. NOAA Forecasts and Responds to Lake Erie Harmful Algal Bloom. Available online: https://oceanservice.noaa.gov/news/aug14/lake-erie-hab.html (accessed on 10 April 2023).
- Hauser, C. Algae Can Poison Your Dog. The New York Times. Available online: https://www.nytimes.com/2019/08/12/us/blue-green-algaedogs.html#:~:text=The%20blooms%20can%20release%20toxins,gone%20swimming%20in%20a%20pond (accessed on 10 April 2023).
- Ebert, A.; Joyce, S. Dog Deaths Raise Algal Bloom Alarm as States Report More Toxins. Bloomberg Law. Available online: https://news.bloomberglaw.com/environment-and-energy/dog-deaths-raise-algal-bloom-alarm-as-states-report-more-toxins. (accessed on 10 April 2023).
- Lavery, A.M. Evaluation of Syndromic Surveillance Data for Studying Harmful Algal Bloom-Associated Illnesses—United States, 2017–2019. MMWR Morb. Mortal Wkly. Rep. 2021, 70, 1191–1194. [Google Scholar] [CrossRef]
- Lavery, A.M.; Kieszak, S.M.; Law, R.; Bronstein, A.C.; Funk, A.R.; Banerji, S.; Brown, K.; Sollee, D.; Backer, L.C. Harmful Algal Bloom Exposures Self-reported to Poison Centers in the United States, May–October 2019. Public Health Rep 2023. published online. [Google Scholar] [CrossRef]
- Swirski, A.; Pearl, D.R.D.; Berke, D.R.O.; O’Sullivan, T.; Stacey, D. Suitability of Data for the Surveillance of Toxicological Events in Companion Animals. OJPHI 2018, 10, e172. [Google Scholar] [CrossRef]
- Hilborn, E.D.; Roberts, V.A.; Backer, L.; DeConno, E.; Egan, J.S.; Hyde, J.B.; Nicholas, D.C.; Wiegert, E.J.; Billing, L.M.; DiOrio, M.; et al. Algal bloom-associated disease outbreaks among users of freshwater lakes--United States, 2009–2010. MMWR Morb. Mortal Wkly. Rep. 2014, 63, 11–15. [Google Scholar] [PubMed]
- CDC. Waterborne Disease Outbreak Investigation Toolkit. Available online: https://www.cdc.gov/healthywater/emergency/preparedness-resources/outbreak-response.html (accessed on 12 April 2023).




| January–March (n = 47) | April–June (n = 157) | July–September (n = 655) | October–December (n = 140) | Total b (n = 999) | |
|---|---|---|---|---|---|
| Geographic Division a n (%) | |||||
| New England | 3 (6.4) | 18 (11.5) | 154 (23.5) | 36 (25.7) | 211 (21.1) |
| Mid Atlantic | 0 | 27 (17.2) | 116 (17.7) | 20 (14.3) | 163 (16.3) |
| East North Central | 1 (2.1) | 13 (8.3) | 49 (7.5) | 0 | 63 (6.3) |
| West North Central | 0 | 5 (3.2) | 24 (3.7) | 0 | 29 (2.9) |
| South Atlantic | 11 (23.4) | 10 (6.4) | 51 (7.8) | 13 (9.3) | 85 (8.5) |
| East South Central | 1 (2.1) | 1 (0.6) | 4 (0.6) | 0 | 6 (0.6) |
| West South Central | 3 (6.4) | 4 (2.6) | 15 (2.3) | 5 (3.6) | 27 (2.7) |
| Mountain | 2 (4.3) | 13 (8.3) | 83 (12.7) | 10 (7.1) | 108 (10.8) |
| Pacific | 26 (55.3) | 63 (40.1) | 129 (19.7) | 47 (33.6) | 265 (26.5) |
| Canada | 0 | 3 (1.9) | 13 (2.0) | 4 (2.9) | 20 (2.0) |
| Unknown | 0 | 0 | 17 (2.6) | 5 (3.6) | 22 (2.2) |
| Exposure route c n (%) | |||||
| Dermal and oral | 17 (36.2) | 61 (38.9) | 335 (51.2) | 57 (40.7) | 470 (47.0) |
| Oral | 30 (63.8) | 86 (54.8) | 293 (44.7) | 77 (55.0) | 486 (48.6) |
| Dermal | 0 | 4 (2.6) | 14 (2.1) | 3 (2.1) | 21 (2.1) |
| Other | 0 | 0 | 2 (0.3) | 0 | 2 (0.2) |
| Unknown | 0 | 6 (3.8) | 11 (1.7) | 3 (2.1) | 20 (2.0) |
| Species n (%) | |||||
| Dog | 42 (89.4) | 157 (100.0) | 654 (99.8) | 140 (100.0) | 993 (99.4) |
| Cat | 5 (10.6) | 0 | 1 (0.2) | 0 | 6 (0.6) |
| Certainty of Agent n (%) | |||||
| Observed | 8 (17.0) | 63 (40.1) | 257 (39.2) | 68 (48.6) | 396 (39.6) |
| Evidence | 22 (46.8) | 36 (22.9) | 127 (19.4) | 22 (15.7) | 207 (20.7) |
| Suspected | 2 (4.3) | 11 (7.0) | 56 (8.6) | 16 (11.4) | 85 (8.5) |
| Possible | 14 (29.8) | 42 (26.8) | 210 (32.1) | 33 (23.6) | 299 (29.9) |
| Not Specific | 0 | 1 (0.6) | 1 (0.2) | 1 (0.7) | 3 (0.3) |
| Unknown | 1 (2.1) | 4 (2.6) | 4 (0.6) | 0 | 9 (0.9) |
Disclaimer/Publisher’s Note: The statements, opinions and data contained in all publications are solely those of the individual author(s) and contributor(s) and not of MDPI and/or the editor(s). MDPI and/or the editor(s) disclaim responsibility for any injury to people or property resulting from any ideas, methods, instructions or products referred to in the content. |
© 2023 by the authors. Licensee MDPI, Basel, Switzerland. This article is an open access article distributed under the terms and conditions of the Creative Commons Attribution (CC BY) license (https://creativecommons.org/licenses/by/4.0/).
Share and Cite
Bloch, R.A.; Faulkner, G.; Hilborn, E.D.; Wismer, T.; Martin, N.; Rhea, S. Geographic Variability, Seasonality, and Increase in ASPCA Animal Poison Control Center Harmful Blue-Green Algae Calls—United States and Canada, 2010–2022. Toxins 2023, 15, 505. https://doi.org/10.3390/toxins15080505
Bloch RA, Faulkner G, Hilborn ED, Wismer T, Martin N, Rhea S. Geographic Variability, Seasonality, and Increase in ASPCA Animal Poison Control Center Harmful Blue-Green Algae Calls—United States and Canada, 2010–2022. Toxins. 2023; 15(8):505. https://doi.org/10.3390/toxins15080505
Chicago/Turabian StyleBloch, Rebecca A., Grace Faulkner, Elizabeth D. Hilborn, Tina Wismer, Nicole Martin, and Sarah Rhea. 2023. "Geographic Variability, Seasonality, and Increase in ASPCA Animal Poison Control Center Harmful Blue-Green Algae Calls—United States and Canada, 2010–2022" Toxins 15, no. 8: 505. https://doi.org/10.3390/toxins15080505
APA StyleBloch, R. A., Faulkner, G., Hilborn, E. D., Wismer, T., Martin, N., & Rhea, S. (2023). Geographic Variability, Seasonality, and Increase in ASPCA Animal Poison Control Center Harmful Blue-Green Algae Calls—United States and Canada, 2010–2022. Toxins, 15(8), 505. https://doi.org/10.3390/toxins15080505

