Annona cherimola Seed Extract Activates Extrinsic and Intrinsic Apoptotic Pathways in Leukemic Cells
Abstract
1. Introduction
2. Results
2.1. A. cherimola Mill Seeds Extract Selectively Reduces the Proliferation of AML Cell Lines
2.2. A. cherimola Seeds Extract Induces an Increase in Sub-G1 Cells in AML Cell Lines
2.3. A. cherimola Seeds Extract Induces Apoptosis in AML Cell Lines
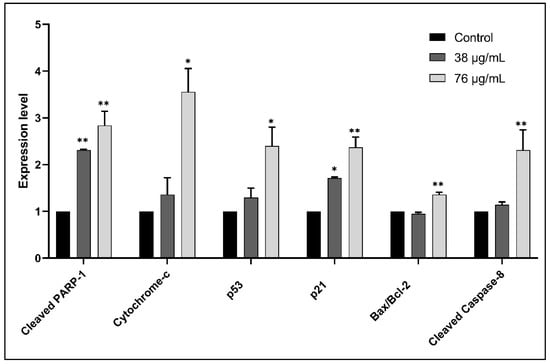
2.4. A. cherimola Seeds Extract Causes Upregulation of Pro-Apoptotic Proteins
2.5. A. cherimola Ethanolic Seeds Extract Exhibits Antioxidant Properties
2.6. GC-MS Analysis of ASEE
3. Discussion
4. Conclusions
5. Materials and Methods
5.1. AML Cell Culture
5.2. Isolation and Culture of Mesenchymal Stem Cells from Rat Bone Marrow
5.3. Plant Material
5.4. Preparation of the Crude Seed Extract
5.5. Cytotoxicity Assay
5.6. Cell Cycle Analysis Using PI Staining
5.7. Apoptosis Detection Using Annexin V Staining by Fluorescence Microscopy
5.8. Apoptosis Quantification by Annexin V/PI Staining
5.9. Apoptosis Detection Using Cell Death ELISA
5.10. Western Blot
5.11. Reactive Oxygen Species Detection
5.12. Gas Chromatography Mass Spectrometry Analysis of the Ethanolic Extract of A. Cherimola Seeds
5.13. Statistical Analysis
Supplementary Materials
Author Contributions
Funding
Conflicts of Interest
References
- The Plant List. Annona Cherimola Mill. Available online: http://theplantlist.org/ tpl1.1/record/kew-2640812 (accessed on 7 April 2019).
- Jamkhande, P.G.; Ajgunde, B.R.; Jadge, D.R. Annona cherimola Mill. (Custard apple): A review on its plant profile, nutritional claims and ethnomedicinal properties. Orient. Pharm. Exp. Med. 2017, 17, 189. [Google Scholar] [CrossRef]
- Morton, J. Fruits of Warm Climates; Julia, F., Ed.; Morton: Miami, FL, USA, 1987; pp. 65–69. [Google Scholar]
- Le Ven, J.; Schmitz-Afonso, I.; Lewin, G.; Brunelle, A.; Touboul, D.; Champy, P. Identification of the environmental neurotoxins annonaceous acetogenins in an Annona cherimolia Mill. Alcoholic beverage using HPLC-ESI-LTQ-Orbitrap. J. Agric. Food Chem. 2014, 62, 8696–8704. [Google Scholar] [CrossRef] [PubMed]
- Garcia-Aguirre, K.K.; Zepeda-Vallejo, L.G.; Ramon-Gallegos, E.; AlvarezGonzalez, I.; Madrigal-Bujaidar, E. Genotoxic and cytotoxic effects produced by Acetogenins obtained from Annona cherimolia Mill. Biol. Pharm. Bull. 2008, 31, 2346–2349. [Google Scholar] [CrossRef] [PubMed][Green Version]
- Ravaomanarivo, L.H.R.; Razafindraleva, H.A.; Raharimalala, F.N.; Rasoahantaveloniaina, B.; Ravelonandro, P.H.; Mavinqui, P. Efficacy of seed extracts of Annona squamosa and Annona muricate (Annonaceae) for control of Aedes albopictus and Culex quinquefascitus (Culicidae). Asian Pac. J. Trop. Biomed. 2014, 4, 787–795. [Google Scholar] [CrossRef]
- Moghadamtousi, S.Z.; Fadaeinasab, M.; Nikzad, S.; Mohan, G.; Ali, H.M.; Kadir, H.A. Annona muricate (Annonaceae): A review of its traditional uses, isolated acetogenins and biological activities. Int. J. Mol. Sci. 2015, 16, 15625–15658. [Google Scholar] [CrossRef] [PubMed]
- Bonneau, N.; Le Ven, J.; Schmitz-Afonso, I.; Guérineau, V.; Bajin ba Ndob, I.; Baloul, L.; Lewin, G.; Laprévote, O.; Brunelle, A.; Touboul, D.; et al. Annonaceous acetogenins as environmental neurotoxins: Human exposure from edible Annona fruits. Planta Med. 2012, 78, 25. [Google Scholar] [CrossRef]
- Lannuzel, A.; Michel, P.P.; Caparros-Lefebre, D.; Abaul, J.; Hocquemiller, R.; Ruberg, M. Toxicity of Annonaceae for dopaminergic neurons: Potential role in atypical parkinsonism in Guadeloupe. Mov. Disord. 2002, 17, 84–90. [Google Scholar] [CrossRef] [PubMed]
- Albuquerque, T.G.; Santos, F.; Sanches-Silva, A.; Beatriz Oliveira, M.; Bento, A.C.; Costa, H.S. Nutritional and phytochemical composition of Annona cherimola Mill. fruits and by-products: Potential health benefits. Food Chem. 2016, 193, 187–195. [Google Scholar] [CrossRef]
- Adarsh Verma, M.; Ajay Kumar, P.; Kavitha, D.; Anurag, K.B. Anti-denaturation and antioxidant activities of Annona cherimola in-vitro. Int. J. Pharm. Bio. Sci. 2011, 2, 1–6. [Google Scholar]
- Aguilar, A.; Camacho, J.; Chino, S.; Jáquez, P.; López, M.E. Herbário Medicinal del Instituto Mexicano del Seguro Social. Inf. Etnobotánica 1994, 1, 17. [Google Scholar]
- Elhawary, S.S.; Tantawy, M.E.; Rabeh, M.A.; Fawaz, N.E. DNA fingerprinting, chemical composition, antitumor and antimicrobial activities of the essential oils and extractives of four Annona species from Egypt. J. Nat. Sci. Res. 2013, 3, 59–68. [Google Scholar]
- Kim, D.H.; Ma, E.S.; Suk, K.D.; Son, J.K.; Lee, J.S.; Woo, M.H. Annomolin and Annocherimolin, new cytotoxic Annonaceous Acetogenins from Annona cherimolia seeds. J. Nat. Prod. 2001, 64, 502–506. [Google Scholar] [CrossRef] [PubMed]
- Löwenberg, B.; Rowe, J.M. Introduction to the review series on advances in acute myeloid leukemia (AML). Blood 2016, 127, 1. [Google Scholar] [CrossRef] [PubMed]
- Atanasov, A.G. Discovery and resupply of pharmacologically active plant-derived natural products: A review. Biotechnol. Adv. 2015, 33, 1582–1614. [Google Scholar] [CrossRef] [PubMed]
- Chang, H.; Liu, P.; Tsai, W.; Hu, W.; Hu, Y.; Yang, H.; Ling, W.; Wang, J.; Shu, C. Xanthium strumarium fruit extract inhibits ATG4B and diminishes the proliferation and metastatic characteristics of colorectal cancer cells. Toxins 2019, 11, 313. [Google Scholar] [CrossRef] [PubMed]
- Hodroj, M.H.; Abi Raad, S.; Jardaly, A.; Rizk, S. Andrographolide potentiates the anti-tumor effects of Topotecan in U937 acute myeloid leukemia cells. Cancer Manag. Res. 2018, 10, 1079–1088. [Google Scholar] [CrossRef] [PubMed]
- Khalifeh, R.; Hodroj, M.H.; Fakhoury, R.; Rizk, S. Thymoquinone from Nigella sativa Seeds Promotes the Antitumor Activity of Non-cytotoxic Doses of Topotecan in Human Colorectal Cancer Cells In Vitro. Planta Med. 2016, 82, 312–321. [Google Scholar]
- Snyder, L.R. Classification of the solvent properties of common liquids. J. Chromatogr. 1974, 92, 223–230. [Google Scholar] [CrossRef]
- Ranisaharivony, B.G.; Ramanandraibe, V.; Rasoanaivo, L.H.; Rakotovao, M.; Lemaire, M. Separation and potential valorization of chemical constituents of soursop seeds. J. Pharmacogn. Phytochem. 2015, 4, 161–171. [Google Scholar]
- Solowey, E.; Lichtenstein, M.; Sallon, S.; Paavilainen, H.; Solowey, E.; Lorberboum-Galski, H. Evaluating medicinal plants for anticancer activity. Sci. World J. 2014, 2014, 721402. [Google Scholar] [CrossRef]
- Fattoruso, S.I.; Di Lauro, L.; Conti, F.; Amodio, A.; Lopez, M. Target selectivity of anticancer drugs. Clin. Ter. 2008, 3, 189–206. [Google Scholar]
- Alagkiozidis, I.; Facciabene, A.; Tsiatas, M.; Carpenito, C.; Benencia, F.; Adams, S.; Jonak, Z.; June, C.H.; Powell, D.J.; Coukos, G. Time-dependent cytotoxic drugs selectively cooperate with IL-18 for cancer chemo-immunotherapy. J. Transl. Med. 2011, 9, 77. [Google Scholar] [CrossRef] [PubMed]
- Saraste, A.; Pulkki, K. Morphologic and biochemical hallmarks of apoptosis. Cardiovasc. Res. 2000, 45, 528–537. [Google Scholar] [CrossRef]
- Bratton, D.L.; Fadok, V.A.; Richter, D.A.; Kailey, J.M.; Guthrie, L.A.; Henson, P.M. Appearance of phosphatidylserine on apoptotic cells requires calcium-mediated nonspecific flip-flop and is enhanced by loss of the aminophospholipid translocase. J. Biol. Chem. 1997, 272, 26159–26165. [Google Scholar] [CrossRef] [PubMed]
- Slee, E.A.; Adrain, C.; Martin, S.J. Executioner caspase-3, -6, and -7 perform distinct, non-redundant roles during the demolition phase of apoptosis. J. Biol. Chem. 2001, 276, 7320–7326. [Google Scholar] [CrossRef] [PubMed]
- Simbulan-Rosenthal, C.; Rosenthal, D.; Iyer, S.; Boulares, H.; Smulson, M. Transient Poly(ADP-ribosyl)ation of Nuclear Proteins and Role of Poly(ADP-ribose) Polymerase in the Early Stages of Apoptosis. J. Biol. Chem. 1998, 273, 13703–13712. [Google Scholar] [CrossRef] [PubMed]
- Joza, N.; Susin, S.A.; Daugas, E.; Stanford, W.L.; Cho, S.K.; Li, C.Y.; Sasaki, T.; Elia, A.J.; Cheng, H.Y.; Ravagnan, L.; et al. Essential role of the mitochondrial apoptosis-inducing factor in programmed cell death. Nature 2001, 410, 549–554. [Google Scholar] [CrossRef] [PubMed]
- Schuler, M.; Green, D.R. Mechanisms of p53-dependent apoptosis. Biochem. Soc. Trans. 2001, 29, 684–688. [Google Scholar] [CrossRef]
- Redza-Dutordoir, M.; Averill-Bates, D.A. Activation of apoptosis signaling pathways by reactive oxygen species. Biochim. Biophys. Acta Mol. Cell Res. 2016, 1863, 2977–2992. [Google Scholar] [CrossRef]
- Grigalius, I.; Petrikaite, V. Relationship between antioxidant and anticancer activity of trihydroxyflavones. Molecules 2017, 22, 2169. [Google Scholar] [CrossRef]
- Mut-Salud, N.; Álvarez, P.J.; Garrido, J.M.; Carrasco, E.; Aránega, A.; Rodríguez-Serrano, F. Antioxidant intake and antitumor therapy: Toward nutritional recommendations for optimal results. Oxid. Med. Cell. Longev. 2016, 2016, 6719534. [Google Scholar] [CrossRef] [PubMed]
- Park, C.; Moon, D.O.; Rhu, C.H.; Choi, B.T.; Lee, W.H. Beta-sitosterol induces anti-proliferation and apoptosis in human leukemic U937 cells through activation of caspase-3 and induction of Bax/Bcl-2 ratio. Biol. Pharm. Bull. 2007, 30, 1317–1323. [Google Scholar] [CrossRef] [PubMed]
- Zhao, Y.; Chang, S.K.; Qu, G.; Li, T.; Cui, H. Beta-sitosterol inhibits cell growth and induces apoptosis in SGC-7901 human stomach cancer cells. J. Agric. Food Chem. 2009, 57, 5211. [Google Scholar] [CrossRef] [PubMed]
- Awad, A.B.; von Holtz, R.L.; Cone, J.P.; Fink, C.S.; Chen, Y.C. Beta-Sitosterol inhibits growth of HT-29 human colon cancer cells by activating the sphingomyelin cycle. Anticancer Res. 1998, 18, 471–473. [Google Scholar] [PubMed]
- Awad, A.B.; Roy, R.; Fink, C.S. Beta-sitosterol, a plant sterol, induces apoptosis and activates key caspases in MDA-MB-231 human breast cancer cells. Oncol. Rep. 2003, 10, 497–500. [Google Scholar] [PubMed]
- Gómez, M.A.; García, M.D.; Sáenz, M.T.; Ahumada, M.C.; Aznar, J. Cytostatic activity of Achillea ageratum against cultured hep-2 and McCoy cells. Pharm. Biol. 2001, 39, 79–81. [Google Scholar] [CrossRef]
- Jang, M.; Kim, H.; Park, R.; Jo, D.; Lee, E.J.; Oh, W.K.; Park, J. 2,2′-Methylenebis (6-tert-butyl 4-methylphenol) enhances the antitumor efficacy of belotecan, a derivative of camptothecin, by inducing autophagy. Oncotarget 2017, 8, 115068. [Google Scholar] [CrossRef]
- National Research Council (US) Committee for the Update of the Guide for the Care and Use of Laboratory Animals. Guide for the Care and Use of Laboratory Animals, 8th ed.; National Academies Press (US): Washington, DC, USA, 2011. [Google Scholar]
- Zeeni, N.; Daher, C.; Fromentin, G.; Tome, D.; Darcel, N.; Chaumontet, C. A cafeteria diet modifies the response to chronic variable stress in rats. Stress 2013, 16, 211–219. [Google Scholar] [CrossRef]
- Najar, M.; Fayyad-Kazan, H.; Faour, W.H.; Merimi, M.; Sokal, E.M.; Lombard, C.A.; Fahmi, H. Immunological modulation following bone marrow-derived mesenchymal stromal cells and Th17 lymphocyte co-cultures. Inflamm. Res. 2019, 68, 203–213. [Google Scholar] [CrossRef]
- Soleimani, M.; Nadri, S. A protocol for isolation and culture of mesenchymal stem cells from mouse bone marrow. Nat. Protoc. 2009, 4, 102–106. [Google Scholar] [CrossRef]
- Vanhove, W. Descriptors for cherimoya (Annona cherimola Mill). Biodivers. Int. Cherla Proj. 2008, 1, 3–4. [Google Scholar]











| Peak | Retention Time | Compound | % of the Extract |
|---|---|---|---|
| 1 | 51.7057 | Methylene DI-T-butylcresol | 6.5493 |
| 2 | 56.3352 | Unidentified A | 4.1418 |
| 3 | 56.7639 | Unidentified B | 10.2537 |
| 4 | 60.3532 | Dihydrobrassicasterol | 9.7107 |
| 5 | 60.6504 | Beta-Stigmasterol | 18.7066 |
| 6 | 61.2219 | Beta-Sitosterol | 37.8041 |
| 7 | 64.926 | Unidentified C | 12.83 |
© 2019 by the authors. Licensee MDPI, Basel, Switzerland. This article is an open access article distributed under the terms and conditions of the Creative Commons Attribution (CC BY) license (http://creativecommons.org/licenses/by/4.0/).
Share and Cite
Haykal, T.; Nasr, P.; Hodroj, M.H.; Taleb, R.I.; Sarkis, R.; Moujabber, M.N.E.; Rizk, S. Annona cherimola Seed Extract Activates Extrinsic and Intrinsic Apoptotic Pathways in Leukemic Cells. Toxins 2019, 11, 506. https://doi.org/10.3390/toxins11090506
Haykal T, Nasr P, Hodroj MH, Taleb RI, Sarkis R, Moujabber MNE, Rizk S. Annona cherimola Seed Extract Activates Extrinsic and Intrinsic Apoptotic Pathways in Leukemic Cells. Toxins. 2019; 11(9):506. https://doi.org/10.3390/toxins11090506
Chicago/Turabian StyleHaykal, Tony, Peter Nasr, Mohammad H. Hodroj, Robin I. Taleb, Rita Sarkis, Marvy Nadine El. Moujabber, and Sandra Rizk. 2019. "Annona cherimola Seed Extract Activates Extrinsic and Intrinsic Apoptotic Pathways in Leukemic Cells" Toxins 11, no. 9: 506. https://doi.org/10.3390/toxins11090506
APA StyleHaykal, T., Nasr, P., Hodroj, M. H., Taleb, R. I., Sarkis, R., Moujabber, M. N. E., & Rizk, S. (2019). Annona cherimola Seed Extract Activates Extrinsic and Intrinsic Apoptotic Pathways in Leukemic Cells. Toxins, 11(9), 506. https://doi.org/10.3390/toxins11090506

