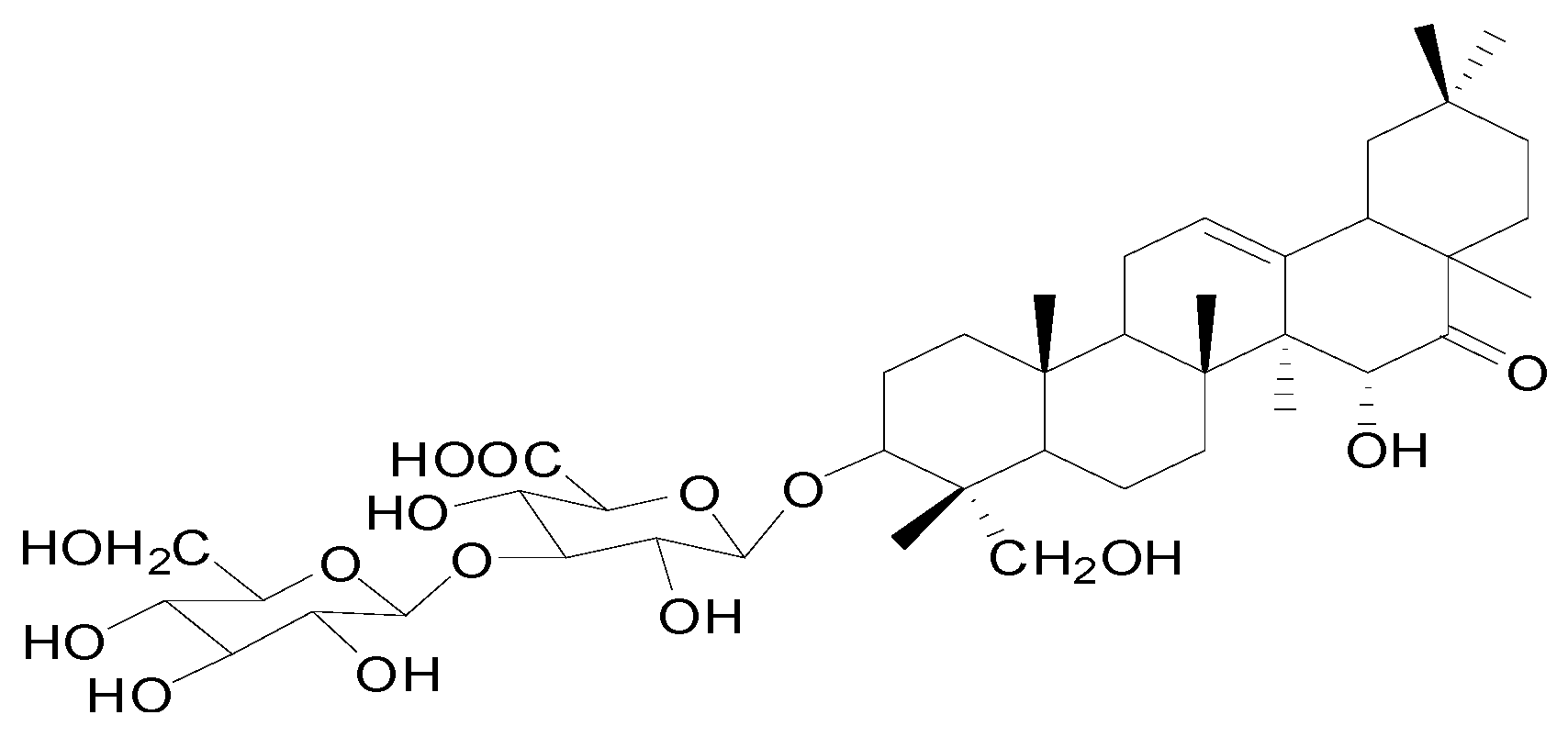
The Damaging Effects of Pedunsaponin A on Pomacea canaliculata Hemocytes
Abstract
1. Introduction
2. Results
2.1. The Effects of Pedunsaponin A on the Mortality of P. canaliculata Hemocytes
2.2. The Effects of Pedunsaponin A on the Apoptosis of P. canaliculata Hemocytes
2.3. The Effects of Pedunsaponin A on the Cell Cycle of P. canaliculata Hemocytes
2.4. The Effects of Pedunsaponin A on the Membrane Potential of P. canaliculata Hemocytes
2.5. The Effects of Pedunsaponin A on the Cytoskeleton of P. canaliculata Hemocytes
3. Discussion
4. Materials and Methods
4.1. Materials
4.2. Methods
4.2.1. Preparation of Hemocyte Suspension
4.2.2. Mortality Analysis of Hemocytes
4.2.3. Apoptosis Analysis of Hemocytes
4.2.4. Cell Cycle Analysis of Hemocytes
4.2.5. Membrane Potential Examination of Hemocytes
4.2.6. Cytoskeletal Analysis of Hemocytes
Author Contributions
Funding
Conflicts of Interest
References
- Xu, J.R.; Han, X.L.; Li, N. AFLP analysis of genetic diversity in three geographic populations of Pomacea canaliculate. Acta Ecol. Sin. 2009, 11, 3–24. [Google Scholar]
- Loker, E.S.; Adema, C.M.; Zhang, S.M.; Kepler, T.B. Invertebrate immune systems-not homogeneous, not simple, not well understood. Immunol. Rev. 2010, 198, 10–24. [Google Scholar] [CrossRef]
- Accorsi, A.; Benatti, S.; Ross, E.; Nasi, M.; Malagoli, D. A prokineticin-like protein responds to immune challenges in the gastropod pest, Pomacea canaliculate. Dev. Comp. Immunol. 2017, 72, 37–43. [Google Scholar] [CrossRef] [PubMed]
- Hillyer, J.F.; Strand, M.R. Mosquito hemocyte-mediated immune responses. Curr. Opin. Insect Sci. 2014, 3, 14–21. [Google Scholar] [CrossRef] [PubMed]
- Zhou, Y.L.; Gu, W.B.; Tu, D.D.; Zhu, Q.H.; Zhou, Z.K.; Chen, Y.Y. Hemocytes of the mud crab, scylla paramamosain: Cytometric, morphological characterization and involvement in immune responses. Fish Shellfish Immunol. 2018, 72, 459–469. [Google Scholar] [CrossRef] [PubMed]
- Wu, S.; Wang, S.H.; Wang, Y.L.; Zhang, Z.P. Phenoloxidase in mollusca and crustacean. Chin. J. Zool. 2009, 44, 137–146. [Google Scholar]
- Cueto, J.A.; Vega, I.A.; Vazquez, A.C. Multicellular spheroid formation and evolutionary conserved behaviors of apple snail hemocytes in culture. Fish Shellfish Immunol. 2013, 34, 443–453. [Google Scholar] [CrossRef]
- Cueto, J.A.; Rodriguez, C.; Vega, I.A.; Vazquez, A.C. Immune defenses of the invasive apple snail pomacea canaliculata (caenogastropoda, ampullariidae): Phagocytic hemocytes in the circulation and the kidney. PLoS ONE 2015, 10, e0123964. [Google Scholar] [CrossRef]
- Yang, C.P.; Zhang, M.; Lei, B.; Gong, G.S.; Yue, G.Z.; Chang, X.L.; Sun, X.F.; Tian, Y.; Chen, H.B. Active saponins from root of pueraria peduncularis (Grah. Ex Benth.) Benth. And their molluscicidal effects on Pomacea canaliculata. Pest Manag. Sci. 2017, 73, 1143–1147. [Google Scholar] [CrossRef]
- Yang, C.P.; Tian, Y.; Lv, T.X.; Chang, X.L.; Zhang, M.; Gong, G.S.; Zhao, L.L.; Yang, S.; Chen, H.B. Histopathological effects of Pedunsaponin A on Pomacea canaliculate. Pestic. Biochem. Physiol. 2018, 148, 151–158. [Google Scholar] [CrossRef]
- Chen, J.L.; Ortiz, R.; Steele, T.W.J.; Stuckey, D.C. Toxicants inhibiting anaerobic digestion: A review. Biotechnol. Adv. 2014, 32, 1523–1534. [Google Scholar] [CrossRef] [PubMed]
- Maldonado, M.D.; Garcia-Moreno, H.; Calvo, J.R. Melatonin protects mast cells against cytotoxicity mediated by chemical stimuli pmaci: Possible clinical use. J. Neuroimmunol. 2013, 262, 62–65. [Google Scholar] [CrossRef] [PubMed]
- Hao, Q.; Liu, Q.; Wang, X. Membrane damage effect of therapeutic ultrasound on Ehrlich ascitic tumor cells. Cancer Biother. Radiopharm. 2009, 24, 41–48. [Google Scholar] [CrossRef] [PubMed]
- Geli, M.; Riezman, H. Endocytic internalization in yeast and animal cells: Similar and different. J. Cell Sci. 1998, 111, 1031–1037. [Google Scholar] [PubMed]
- Bogatcheva, N.V.; Verin, A.D. The role of cytoskeleton in the regulation of vascular endothelial barrier function. Microvasc. Res. 2008, 76, 202–207. [Google Scholar] [CrossRef] [PubMed]
- Fletcher, D.A.; Mullins, R.D. Cell mechanics and the cytoskeleton. Nature 2010, 463, 485–492. [Google Scholar] [CrossRef] [PubMed]
- Wickstead, B.; Gul, K. The evolution of the cytoskeleton. J. Cell Biol. 2011, 194, 513–525. [Google Scholar] [CrossRef] [PubMed]
- Chatel, A.; Lievre, C.; Barrick, A.; Bruneau, M.; Mouneyrac, C. Transcriptomic approach: A promising tool for rapid screening nanomaterial-mediated toxicity in the marine bivalve mytilus edulis—Application to copper oxide nanoparticles. Comp. Biochem. Physiol. Part C Toxicol. Pharmacol. 2018, 205, 26–33. [Google Scholar] [CrossRef]
- Simon, G.; Chen, H.J.; David, T.B.; Davies, K.E. Advances in genetic therapeutic strategies for duchenne muscular dystrophy. Exp. Physiol. 2015, 100, 1458–1467. [Google Scholar]
- Zhu, J.Y.; Ye, Y.G.; Fang, Q. Transcriptional changes of cytoskeleton related proteins of Pieris rapae after parasitization by the endoparasitoid wasp Pteromalus puparum. Acta Entomol. Sin. 2010, 53, 831–840. [Google Scholar]
- Karnowski, A.; Chevrier, S.; Belz, G.T.; Mount, A.; Emslie, D.; D’Costa, K. B and T cells collaborate in antiviral responses via IL-6, IL-21, and transcriptional activator and coactivator, Oct2 and OBF-1. J. Exp. Med. 2012, 209, 2049–2064. [Google Scholar] [CrossRef] [PubMed]
- Zhang, W.F.; Zhang, Q.Y.; Shao, H.H.; Wu, F.L.; Wang, T.; Huang, S.L. Transfection efficiency and cytotoxicity in human T lymphocytes infected with Ad5 adenoviral vector. Chin. J. Pathophysiol. 2014, 30, 318–322. [Google Scholar]
- Zhao, G.J.; Wu, M.F.; Wang, X.F.; Du, Z.W.; Zhang, G.Z. Effect of fabp5 gene silencing on the proliferation, apoptosis and invasion of human gastric SGC-7901 cancer cells. Oncol. Lett. 2017, 14, 4772–4778. [Google Scholar] [CrossRef] [PubMed]
- He, W.; Xiao, L.H.; Sun, Q.A. Effect of Chitosan and its werivatives on membrane potential of HaCaT Cells. Chin. Pharm. J. 2009, 44, 1063–1066. [Google Scholar]








© 2019 by the authors. Licensee MDPI, Basel, Switzerland. This article is an open access article distributed under the terms and conditions of the Creative Commons Attribution (CC BY) license (http://creativecommons.org/licenses/by/4.0/).
Share and Cite
Yang, C.; Lv, T.; Wang, B.; Qiu, X.; Luo, L.; Zhang, M.; Yue, G.; Qin, G.; Xie, D.; Chen, H. The Damaging Effects of Pedunsaponin A on Pomacea canaliculata Hemocytes. Toxins 2019, 11, 390. https://doi.org/10.3390/toxins11070390
Yang C, Lv T, Wang B, Qiu X, Luo L, Zhang M, Yue G, Qin G, Xie D, Chen H. The Damaging Effects of Pedunsaponin A on Pomacea canaliculata Hemocytes. Toxins. 2019; 11(7):390. https://doi.org/10.3390/toxins11070390
Chicago/Turabian StyleYang, Chunping, Tianxing Lv, Bin Wang, Xiaoyan Qiu, Liya Luo, Min Zhang, Guizhou Yue, Guangwei Qin, Deshan Xie, and Huabao Chen. 2019. "The Damaging Effects of Pedunsaponin A on Pomacea canaliculata Hemocytes" Toxins 11, no. 7: 390. https://doi.org/10.3390/toxins11070390
APA StyleYang, C., Lv, T., Wang, B., Qiu, X., Luo, L., Zhang, M., Yue, G., Qin, G., Xie, D., & Chen, H. (2019). The Damaging Effects of Pedunsaponin A on Pomacea canaliculata Hemocytes. Toxins, 11(7), 390. https://doi.org/10.3390/toxins11070390
