Percentage of Body Fat and Fat Mass Index as a Screening Tool for Metabolic Syndrome Prediction in Colombian University Students
Abstract
:1. Introduction
2. Methods
2.1. Study Design and Sample Population
2.2. Data Collection
2.3. Metabolic Syndrome Diagnosis
2.4. Lifestyle Co-Variables
2.5. Ethics Statement
2.6. Statistical Analysis
3. Results
3.1. Descriptive Characteristics
3.2. Clinical Characteristics and Distribution by MetS Status
3.3. Optimal Cut-Off Value in the Screening of MetS
4. Discussion
5. Conclusions
Acknowledgments
Author Contributions
Conflicts of Interest
Abbreviations
| BF | body fat |
| BIA | bioelectrical impedance analysis |
| BMI | body mass index |
| CI | confidence interval |
| CT | computed tomography |
| CVD | cardiovascular disease |
| DXA | dual-energy x-ray absorptiometry |
| FUPRECOL | association between muscular strength and metabolic risk factors in colombia |
| FMI | fat mass index |
| HDL-C | high-density lipoprotein cholesterol |
| IDF | international diabetes federation |
| LDL-C | low-density lipoprotein cholesterol |
| MetS | metabolic syndrome |
| MRI | magnetic resonance imaging |
| PA | physical activity |
| SD | standard deviation |
| WC | waist circumference |
| WHO | World Health Organization |
References
- Roth, G.A.; Johnson, C.; Abajobir, A.; Abd-Allah, F.; Abera, S.F.; Abyu, G.; Ahmed, M.; Aksut, B.; Alam, T.; Alam, K.; et al. Global, Regional, and National Burden of Cardiovascular Diseases for 10 Causes, 1990 to 2015. J. Am. Coll. Cardiol. 2017, 70, 1–25. [Google Scholar] [CrossRef] [PubMed]
- Alberti, K.G.; Eckel, R.H.; Grundy, S.M.; Zimmet, P.Z.; Cleeman, J.I.; Donato, K.A.; Fruchart, J.C.; James, W.P.; Loria, C.M.; Smith, S.C., Jr.; et al. Harmonizing the metabolic syndrome: A joint interim statement of the International Diabetes Federation Task Force on Epidemiology and Prevention; National Heart, Lung, and Blood Institute; American Heart Association; World Heart Federation; International Atherosclerosis Society; and International Association for the Study of Obesity. Circulation 2009, 120, 1640–1645. [Google Scholar] [PubMed]
- Ramírez-Vélez, R.; Correa-Bautista, J.E.; González-Ruíz, K.; Vivas, A.; Triana-Reina, H.R.; Martínez-Torres, J.; Prieto-Benavides, D.H.; Carrillo, H.A.; Ramos-Sepúlveda, J.A.; Villa-González, E.; et al. Body Adiposity Index Performance in Estimating Body Fat Percentage in Colombian College Students: Findings from the FUPRECOL-Adults Study. Nutrients 2017, 9, 40. [Google Scholar] [CrossRef] [PubMed]
- González-Muniesa, P.; Mártinez-González, M.A.; Hu, F.B.; Després, J.P.; Matsuzawa, Y.; Loos, R.J.F.; Moreno, L.A.; Bray, G.A.; Martinez, J.A. Obesity. Nat. Rev. Dis. Prim. 2017, 3, 17034. [Google Scholar] [CrossRef] [PubMed]
- Bener, A.; Yousafzai, M.T.; Darwish, S.; Al-Hamaq, A.O.; Nasralla, E.A.; Abdul-Ghani, M. Obesity index that better predict metabolic syndrome: Body mass index, waist circumference, waist hip ratio, or waist height ratio. J. Obes. 2013, 2013, 269038. [Google Scholar] [CrossRef] [PubMed]
- Fox, C.S.; Massaro, J.M.; Hoffmann, U.; Pou, K.M.; Maurovich-Horvat, P.; Liu, C.Y.; Vasan, R.S.; Murabito, J.M.; Meigs, J.B.; Cupples, L.A.; et al. Abdominal visceral and subcutaneous adipose tissue compartments: Association with metabolic risk factors in the Framingham Heart Study. Circulation 2007, 116, 39–48. [Google Scholar] [CrossRef] [PubMed]
- Wellens, R.I.; Roche, A.F.; Khamis, H.J.; Jackson, A.S.; Pollock, M.L.; Siervogel, R.M. Relationships between the body mass index and body composition. Obes. Res. 1996, 4, 35–44. [Google Scholar] [CrossRef] [PubMed]
- Nuttall, F.Q. Body Mass Index: Obesity, BMI, and Health: A Critical Review. Nutr. Today 2015, 50, 117–128. [Google Scholar] [CrossRef] [PubMed]
- Baumgartner, R.N.; Heymsfield, S.B.; Roche, A.F. Human body composition and the epidemiology of chronic disease. Obes. Res. 1995, 3, 73–95. [Google Scholar] [CrossRef] [PubMed]
- Rollins, K.E.; Javanmard-Emamghissi, H.; Awwad, A.; Macdonald, I.A.; Fearon, K.C.H.; Lobo, D.N. Body composition measurement using computed tomography: Does the phase of the scan matter? Nutrition 2017, 41, 37–44. [Google Scholar] [CrossRef] [PubMed]
- González-Ruíz, K.; Correa-Bautista, J.E.; Ramírez-Vélez, R. Body adiposity and its relationship of metabolic syndrome components in Colombian adults. Nutr. Hosp. 2015, 32, 1468–1475. [Google Scholar] [PubMed]
- De Schutter, A.; Lavie, C.J.; Gonzalez, J.; Milani, R.V. Body composition in coronary heart disease: How does body mass index correlate with body fatness? Ochsner J. 2011, 11, 220–225. [Google Scholar] [PubMed]
- Mazzoccoli, G. Body composition: Where and when. Eur. J. Radiol. 2016, 85, 1456–1460. [Google Scholar] [CrossRef] [PubMed]
- Jeong, D.L.S.; Min, H.; Kim, Y.; Choi, S.; Kim, Y. Measuring performance evaluation of body fat measuring instrument applying body measuring value method. Korean J. Health Promot. Dis. Prev. 2006, 6, 79–87. [Google Scholar]
- Xu, L.; Cheng, X.; Wang, J.; Cao, Q.; Sato, T.; Wang, M.; Zhao, X.; Liang, W. Comparisons of body-composition prediction accuracy: A study of 2 bioelectric impedance consumer devices in healthy Chinese persons using DXA and MRI as criteria methods. J. Clin. Densitom. 2011, 14, 458–464. [Google Scholar] [CrossRef] [PubMed]
- VanItallie, T.B.; Yang, M.U.; Heymsfield, S.B.; Funk, R.C.; Boileau, R.A. Height-normalized indices of the body’s fat-free mass and fat mass: Potentially useful indicators of nutritional status. Am. J. Clin. Nutr. 1990, 52, 953–959. [Google Scholar] [PubMed]
- Liu, P.; Ma, F.; Lou, H.; Liu, Y. The utility of fat mass index vs. body mass index and percentage of body fat in the screening of metabolic syndrome. BMC Public Health 2014, 14, 341. [Google Scholar] [CrossRef] [PubMed]
- Amato, M.C.; Giordano, C. Visceral adiposity index: An indicator of adipose tissue dysfunction. Int. J. Endocrinol. 2014, 2014, 730827. [Google Scholar] [CrossRef] [PubMed]
- Knowles, K.M.; Paiva, L.L.; Sanchez, S.E.; Revilla, L.; Lopez, T.; Yasuda, M.B.; Yanez, N.D.; Gelaye, B.; Williams, M.A. Waist circumference, body mass index, and other measures of adiposity in predicting cardiovascular disease risk factors among Peruvian adults. Int. J. Hypertens. 2011, 2011, 1–10. [Google Scholar] [CrossRef] [PubMed]
- Techatraisak, K.; Wongmeerit, K.; Dangrat, C.; Wongwananuruk, T.; Indhavivadhana, S. Measures of body adiposity and visceral adiposity index as predictors of metabolic syndrome among Thai women with PCOS. Gynecol. Endocrinol. 2016, 32, 276–280. [Google Scholar] [CrossRef] [PubMed]
- Li, L.; Wang, C.; Bao, Y.; Peng, L.; Gu, H.; Jia, W. Optimal body fat percentage cut-offs for obesity in Chinese adults. Clin. Exp. Pharmacol. Physiol. 2012, 39, 393–398. [Google Scholar] [CrossRef] [PubMed]
- Cho, Y.G.; Song, H.J.; Kim, J.M.; Park, K.H.; Paek, Y.J.; Cho, J.J.; Caterson, I.; Kang, J.G. The estimation of cardiovascular risk factors by body mass index and body fat percentage in Korean male adults. Metabolism 2009, 58, 765–771. [Google Scholar] [CrossRef] [PubMed]
- Amato, M.C.; Giordano, C.; Galia, M.; Criscimanna, A.; Vitabile, S.; Midiri, M.; Galluzzo, A.; AlkaMeSy Study Group. Visceral Adiposity Index: A reliable indicator of visceral fat function associated with cardiometabolic risk. Diabetes Care 2010, 33, 920–922. [Google Scholar] [CrossRef] [PubMed]
- World Health Organization. Obesity: Preventing and Managing the Global Epidemic; Report of a WHO Consultation on Obesity, 3–5 June 1997, WHO/NUT/NCD/98.1 1997; WHO: Geneva, Switzerland, 1997. [Google Scholar]
- Marfell-Jones, M.; Olds, T.; Stewart, A. International Standards for Anthropometric Assessment; ISAK: Potchefstroom, South Africa, 2006. [Google Scholar]
- Yamakage, H.; Ito, R.; Tochiya, M.; Muranaka, K.; Tanaka, M.; Matsuo, Y.; Odori, S.; Kono, S.; Shimatsu, A.; Satoh-Asahara, N. The utility of dual bioelectrical impedance analysis in detecting intra-abdominal fat area in obese patients during weight reduction therapy in comparison with waist circumference and abdominal CT. Endocr. J. 2014, 61, 807–819. [Google Scholar] [CrossRef] [PubMed]
- Cornier, M.A.; Després, J.P.; Davis, N.; Grossniklaus, D.A.; Klein, S.; Lamarche, B.; Lopez-Jimenez, F.; Rao, G.; St-Onge, M.P.; Towfighi, A.; et al. Assessing adiposity: A scientific statement from the American Heart Association. Circulation 2011, 124, 1996–2019. [Google Scholar] [CrossRef] [PubMed]
- Ramírez-Vélez, R.; Agredo, R.A. The Fantastic instrument’s validity and reliability for measuring Colombian adults’ life-style. Rev. Salud Publica (Bogota) 2012, 14, 226–237. [Google Scholar] [CrossRef] [PubMed]
- Silva, A.M.; Brito Ida, S.; Amado, J.M. Translation, adaptation and validation of the Fantastic Lifestyle Assessment questionnaire with students in higher education. Cienc. Saude Colet. 2014, 19, 1901–1909. [Google Scholar] [CrossRef]
- Fluss, R.; Faraggi, D.; Reiser, B. Estimation of the Youden Index and its associated cutoff point. Biom. J. 2005, 47, 458–472. [Google Scholar] [CrossRef] [PubMed]
- Ruiz, Á.J.; Aschner, P.J.; Puerta, M.F.; Cristancho, R.A. IDEA study (International Day for the Evaluation of Abdominal Obesity): Primary care study of the prevalence of abdominal obesity and associated risk factors in Colombia. Biomedica 2012, 32, 610–616. [Google Scholar] [CrossRef] [PubMed]
- Fonseca-Camacho, D.F.; Hernández-Fonseca, J.M.; González-Ruíz, K.; Tordecilla-Sanders, A.; Ramírez-Vélez, R. A better self-perception of physical fitness is associated with lower prevalence of metabolic syndrome and its components among university students. Nutr. Hosp. 2014, 31, 1254–1263. [Google Scholar] [PubMed]
- Li, C.I.; Kardia, S.L.; Liu, C.S.; Lin, W.Y.; Lin, C.H.; Lee, Y.D.; Sung, F.C.; Li, T.C.; Lin, C.C. Metabolic syndrome is associated with change in subclinical arterial stiffness: A community-based Taichung community health study. BMC Public Health 2011, 11, 808. [Google Scholar] [CrossRef] [PubMed]
- Ruano-Nieto, C.I.; Melo-Pérez, J.D.; Mogrovejo-Freire, L.; De Paula-Morales, K.R.; Espinoza-Romero, C.V. Prevalence of metabolic syndrome and associated risk factors in ecuadorian university students. Nutr. Hosp. 2015, 31, 1574–1581. [Google Scholar] [PubMed]
- Martínez, M.A.; Leiva, A.M.; Sotomayor, C.; Victoriano, T.; Von Chrismar, A.M.; Pineda, S. Factores de riesgo cardiovascular en estudiantes de la Universidad Austral de Chile. Rev. Med. Chile 2012, 140, 426–435. [Google Scholar] [CrossRef] [PubMed]
- Gotthelf, S.J. Prevalencia de síndrome Metabólico según definición de la International Diabetes Federation (IDF) en adolescentes escolarizados de la provincia de Salta, Argentina. Rev. Fed. Argent. Cardiol. 2013, 42, 119–126. [Google Scholar]
- Wang, X.; Strizich, G.; Hua, S.; Sotres-Alvarez, D.; Buelna, C.; Gallo, L.C.; Gellman, M.D.; Mossavar-Rahmani, Y.; O’Brien, M.J.; Stoutenberg, M.; et al. Objectively Measured Sedentary Time and Cardiovascular Risk Factor Control in US Hispanics/Latinos With Diabetes Mellitus: Results From the Hispanic Community Health Study/Study of Latinos (HCHS/SOL). J. Am. Heart Assoc. 2017, 6, e004324. [Google Scholar] [CrossRef] [PubMed]
- Macias, N.; Quezada, A.D.; Flores, M.; Valencia, M.E.; Denova-Gutiérrez, E.; Quiterio-Trenado, M.; Gallegos-Carrillo, K.; Barquera, S.; Salmerón, J. Accuracy of body fat percent and adiposity indicators cut off values to detect metabolic risk factors in a sample of Mexican adults. BMC Public Health 2014, 14, 341. [Google Scholar] [CrossRef] [PubMed]
- Murphy, M.O.; Loria, A.S. Sex-specific effects of stress on metabolic and cardiovascular disease: Are women at higher risk? Am. J. Physiol. Regul. Integr. Comp. Physiol. 2017, 313, R1–R9. [Google Scholar] [CrossRef] [PubMed]
- Schuster, J.; Vogel, P.; Eckhardt, C.; Morelo, S.D. Applicability of the visceral adiposity index (VAI) in predicting components of metabolic syndrome in young adults. Nutr. Hosp. 2014, 30, 806–812. [Google Scholar] [PubMed]
- Chumlea, W.C.; Sun, S.S. Bioelectrical Impedance Analysis. In Human Body Composition; Heymsfield, S.B., Lohman, T.G., Wang, Z.-M., Going, S.B., Eds.; Human Kinetics: Champaign, IL, USA, 2005; pp. 79–88. [Google Scholar]
- Zhu, S.; Wang, Z.; Shen, W.; Heymsfıeld, S.B.; Heshka, S. Percentage body fat ranges associated with metabolic syndrome risk: Results based on the third National Health and Nutrition Examination Survey (1988–1994). Am. J. Clin. Nutr. 2003, 78, 228–235. [Google Scholar] [PubMed]
- Mohammadreza, B.; Farzad, H.; Davoud, K.; Fereidoun, A.F. Prognostic significance of the complex “Visceral Adiposity Index” vs. simple anthropometric measures: Tehran lipid and glucose study. Cardiovasc. Diabetol. 2012, 11, 20. [Google Scholar] [CrossRef] [PubMed]
- Mousa, U.; Kut, A.; Bozkus, Y.; Cicek Demir, C.; Anil, C.; Bascil Tutuncu, N. Performance of abdominal bioelectrical impedance analysis and comparison with other known parameters in predicting the metabolic syndrome. Exp. Clin. Endocrinol. Diabetes 2013, 121, 391–396. [Google Scholar] [CrossRef] [PubMed]
- Wang, J.; Rennie, K.L.; Gu, W.; Li, H.; Yu, Z.; Lin, X. Independent associations of body-size adjusted fat mass and fat-free mass with the metabolic syndrome in Chinese. Ann. Hum. Biol. 2009, 36, 110–121. [Google Scholar] [CrossRef] [PubMed]
- Kim, J.Y.; Oh, S.; Chang, M.R.; Cho, Y.G.; Park, K.H.; Paek, Y.J.; Yoo, S.H.; Cho, J.J.; Caterson, I.D.; Song, H.J. Comparability and utility of body composition measurement vs. anthropometric measurement for assessing obesity related health risks in Korean men. Int. J. Clin. Pract. 2013, 67, 73–80. [Google Scholar] [CrossRef] [PubMed]
- Peltz, G.; Aguirre, M.T.; Sanderson, M.; Fadden, M.K. The role of fat mass index in determining obesity. Am. J. Hum. Biol. 2010, 22, 639–647. [Google Scholar] [CrossRef] [PubMed]
- Kyle, U.G.; Schutz, Y.; Dupertuis, Y.M.; Pichard, C. Body composition interpretation. Contributions of the fat-free mass index and the body fat mass index. Nutrition 2003, 19, 597–604. [Google Scholar] [CrossRef]
- Johnson Stoklossa, C.A.; Forhan, M.; Padwal, R.S.; Gonzalez, M.C.; Prado, C.M. Practical Considerations for Body Composition Assessment of Adults with Class II/III Obesity Using Bioelectrical Impedance Analysis or Dual-Energy X-ray Absorptiometry. Curr. Obes. Rep. 2016, 5, 389–396. [Google Scholar] [CrossRef] [PubMed]
- Schutz, Y.; Kyle, U.U.G.; Pichard, C. Fat-free mass index and fat mass index percentiles in Caucasions aged 18–98 years. Int. J. Obes. 2002, 26, 953–960. [Google Scholar]
- Martínez-Torres, J.; Correa-Bautista, J.E.; González-Ruíz, K.; Vivas, A.; Triana-Reina, H.R.; Prieto-Benavidez, D.H.; Carrillo, H.A.; Ramos-Sepúlveda, J.A.; Villa-González, E.; García-Hermoso, A.; et al. A Cross-Sectional Study of the Prevalence of Metabolic Syndrome and Associated Factors in Colombian Collegiate Students: The FUPRECOL-Adults Study. Int. J. Environ. Res. Public Health 2017, 14, 233. [Google Scholar] [CrossRef] [PubMed]
- Jaffrin, M.Y.; Morel, H. Body fluid volumes measurements by impedance: A review of bioimpedance spectroscopy (BIS) and bioimpedance analysis (BIA) methods. Med. Eng. Phys. 2008, 30, 1257–1269. [Google Scholar] [CrossRef] [PubMed]


| Characteristic | Men (n = 617) | Women (n = 1070) | p-Value |
|---|---|---|---|
| Anthropometric | |||
| Age (years) | 20.6 (2.2) | 20.6 (2.0) | 0.843 |
| Weight (kg) | 58.9 (10.0) | 69.9 (12.4) | <0.001 |
| Height (cm) | 159.8 (6.1) | 172.5 (6.7) | <0.001 |
| WC (cm) | 78.4 (9.5) | 71.5 (7.9) | <0.001 |
| BMI (kg/m2) | 23.2 (3.7) | 23.2 (3.7) | 0.356 |
| Body fat (%) | 15.7 (6.7) | 27.0 (7.2) | 0.028 |
| FMI | 3.9 (2.3) | 6.5 (2.7) | <0.001 |
| Body mass index status n (%) * | |||
| Underweight | 34 (5.5) | 71 (6.7) | <0.001 |
| Normal weight | 425 (68.8) | 725 (57.8) | |
| Overweight | 128 (20.8) | 220 (20.5) | |
| Obese | 31 (5.0) | 54 (5.0) | |
| Blood pressure | |||
| Systolic blood pressure (mmHg) | 120.83 (13.0) | 111.28 (11.1) | <0.001 |
| Diastolic blood pressure (mmHg) | 74.83 (11.4) | 71.78 (9.3) | <0.001 |
| Mean arterial pressure (mmHg) | 97.83 (10.8) | 91.53 (8.9) | <0.001 |
| Metabolic biomarkers | |||
| Total cholesterol (mg/dL) | 132.26 (30.8) | 146.27 (33.3) | 0.212 |
| Triglycerides (mg/dL) | 93.01 (48.7) | 88.10 (43.7) | 0.011 |
| LDL-C (mg/dL) | 38.92 (10.4) | 43.98 (12.8) | <0.001 |
| HDL-C (mg/dL) | 81.89 (26.5) | 87.85 (26.2) | 0.589 |
| Glucose (mg/dL) | 84.36 (12.2) | 85.99 (11.6) | 0.002 |
| Metabolic Syndrome n (%) * | |||
| Yes | 73 (11.2) | 59 (5.3) | 0.001 |
| Life-style n (%) * | |||
| Tobacco (≥10 cigarettes per week) | 183 (29.7) | 213 (19.9) | 0.289 |
| Alcohol (≥1 times per week) | 294 (47.6) | 381 (35.6) | 0.358 |
| PA (three or more times a week for >30 min) | 213 (34.5) | 228 (21.3) | 0.011 |
| Variable | Men (n = 617) | Women (n = 1070) | ||||
|---|---|---|---|---|---|---|
| MetS (n = 73) | Non-MetS (n = 544) | p Value | MetS (n = 59) | Non-MetS (n = 1011) | p Value | |
| Anthropometric | ||||||
| Age (years) | 21.7 (3.4) | 20.4 (3.1) | 0.229 | 22.3 (3.8) | 20.5 (2.8) | <0.001 |
| Weight (kg) | 80.8 (15.8) | 67.3 (10.7) | <0.001 | 76.4 (13.8) | 57.4 (8.8) | <0.001 |
| Height (cm) | 172.7 (7.5) | 172.1 (6.6) | 0.129 | 161.1 (5.6) | 158.9 (5.8) | 0.902 |
| WC (cm) | 89.5 (11.6) | 76.7 (8.0) | <0.001 | 84.9 (8.8) | 70.5 (7.1) | 0.145 |
| BMI (kg/m2) | 27.0 (4.7) | 22.6 (3.1) | <0.001 | 29.3 (4.7) | 22.7 (3.3) | <0.001 |
| Body fat (%) | 23.5 (7.5) | 14.5 (5.7) | 0.005 | 37.3 (6.0) | 26.2 (6.8) | <0.001 |
| FMI (kg/m2) | 6.6 (3.1) | 3.4 (1.8) | <0.001 | 11.2 (3.4) | 6.1 (2.4) | <0.001 |
| Body mass index status n (%) * | ||||||
| Underweight | 4 (0.6) | 30 (5.0) | <0.001 | 0.0 (0.0) | 71 (6.6) | <0.001 |
| Normal weight | 16 (2.6) | 408 (66.1) | 8 (0.8) | 717 (67.0) | ||
| Overweight | 37 (6.0) | 91 (14.8) | 23 (2.1) | 197 (18.4) | ||
| Obese | 16 (2.6) | 15 (2.4) | 28 (2.6) | 26 (2.4) | ||
| Blood pressure | ||||||
| Systolic blood pressure (mmHg) | 131.01 (11.96) | 119.36 (12.44) | 0.461 | 123.50 (11.03) | 110.33 (10.64) | 0.809 |
| Diastolic blood pressure (mmHg) | 83.60 (10.75) | 73.48 (10.07) | 0.160 | 81.61 (13.82) | 71.10 (8.60) | 0.237 |
| Mean blood pressure (mmHg) | 107.30 (10.20) | 96.42 (10.07) | 0.176 | 102.55 (9.16) | 90.71 (8.36) | 0.518 |
| Metabolic biomarkers | ||||||
| Total cholesterol (mg/dL) | 146.01 (39.6) | 130.27 (29.1) | <0.001 | 153.39 (33.7) | 145.74 (33.3) | 0.955 |
| Triglyceride (mg/dL) | 163.03 (75.9) | 83.04 (33.7) | <0.001 | 139.83 (66.6) | 84.90 (40.2) | <0.001 |
| HDL-C (mg/dL) | 31.27 (5.9) | 40.06 (10.5) | <0.001 | 36.51 (9.0) | 44.52 (12.9) | 0.002 |
| LDL-C (mg/dL) | 86.01 (30.8) | 81.31 (26.0) | 0.077 | 89.61 (28.4) | 87.57 (26.1) | 0.571 |
| Glucose (mg/dL) | 92.44 (13.8) | 83.14 (11.6) | 0.063 | 92.58 (14.4) | 85.49 (11.3) | 0.142 |
| Life-style n (%) * | ||||||
| Tobacco (≥10 cigarettes per week) | 19 (26.0) | 155 (28.5) | 0.769 | 5 (8.5) | 198 (19.6) | 0.088 |
| Alcohol (≥1 times per week) | 36 (49.3) | 294 (54.0) | 0.563 | 22 (37.3) | 394 (38.7) | 0.378 |
| PA (three or more times a week for >30 min) | 13 (17.81) | 188 (34.5) | 0.005 | 4 (6.8) | 213 (21.0) | 0.018 |
| Variable | Glucose (mg/dL) | HDL-C (mg/dL) | Triglycerides (mg/dL) | Total Cholesterol (mg/dL) | MAP (mmHg) | WC (cm) | FMI (kg/m2) |
|---|---|---|---|---|---|---|---|
| Body fat (%) | 0.188 * | −0.239 ** | 0.230 ** | 0.279 ** | 0.276 ** | 0.827 ** | 0.960 ** |
| FMI (kg/m2) | 0.113 ** | −0.256 ** | 0.230 ** | 0.162 * | 0.272 ** | 0.860 ** | 1 |
| WC (cm) | 0.106 * | −0.219 | 0.248 | 0.858 ** | 0.271 ** | 1 | |
| Mean blood pressure (mmHg) | 0.004 | −0.022 ** | 0.179 ** | 0.259 ** | 1 | ||
| Total cholesterol (mg/dL) | −0.008 | −0.341 ** | 0.241 ** | 1 | |||
| Triglycerides (mg/dL) | 0.125 ** | −0.170 ** | 1 | ||||
| HDL-C (mg/dL) | −0.158 ** | 1 | |||||
| Glucose (mg/dL) | 1 |
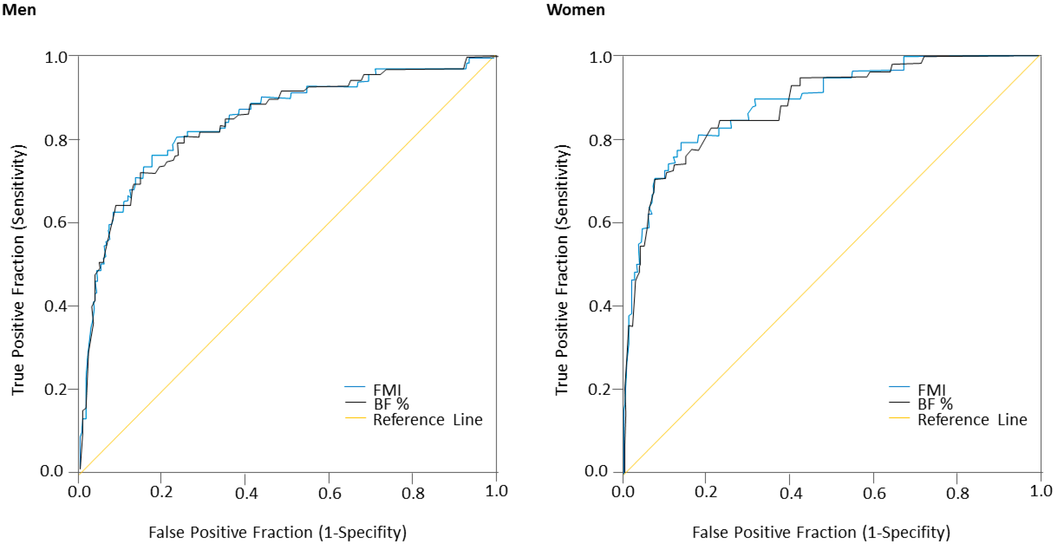
| Parameter | BF% | FMI | ||
|---|---|---|---|---|
| High risk of MetS | Men | AUC | 0.835 | 0.838 |
| 95% CI | 0.779–0.891 | 0.779–0.892 | ||
| p value | <0.001 | <0.001 | ||
| Cut-off | 25.5 | 6.9 | ||
| Sensitivity (%) | 96.1 | 95.8 | ||
| Specificity (%) | 57.5 | 56.2 | ||
| LR (+) | 2.3 | 2.2 | ||
| LR (−) | 0.06 | 0.07 | ||
| Women | AUC | 0.887 | 0.889 | |
| 95% CI | 0.842–0.932 | 0.844–0.933 | ||
| p value | <0.001 | <0.001 | ||
| Cut-off | 38.9 | 11.8 | ||
| Sensitivity (%) | 97.4 | 97.6 | ||
| Specificity (%) | 55.9 | 56.9 | ||
| LR (+) | 2.2 | 2.2 | ||
| LR (−) | 0.04 | 0.04 | ||
© 2017 by the authors. Licensee MDPI, Basel, Switzerland. This article is an open access article distributed under the terms and conditions of the Creative Commons Attribution (CC BY) license (http://creativecommons.org/licenses/by/4.0/).
Share and Cite
Ramírez-Vélez, R.; Correa-Bautista, J.E.; Sanders-Tordecilla, A.; Ojeda-Pardo, M.L.; Cobo-Mejía, E.A.; Castellanos-Vega, R.D.P.; García-Hermoso, A.; González-Jiménez, E.; Schmidt-RioValle, J.; González-Ruíz, K. Percentage of Body Fat and Fat Mass Index as a Screening Tool for Metabolic Syndrome Prediction in Colombian University Students. Nutrients 2017, 9, 1009. https://doi.org/10.3390/nu9091009
Ramírez-Vélez R, Correa-Bautista JE, Sanders-Tordecilla A, Ojeda-Pardo ML, Cobo-Mejía EA, Castellanos-Vega RDP, García-Hermoso A, González-Jiménez E, Schmidt-RioValle J, González-Ruíz K. Percentage of Body Fat and Fat Mass Index as a Screening Tool for Metabolic Syndrome Prediction in Colombian University Students. Nutrients. 2017; 9(9):1009. https://doi.org/10.3390/nu9091009
Chicago/Turabian StyleRamírez-Vélez, Robinson, Jorge Enrique Correa-Bautista, Alejandra Sanders-Tordecilla, Mónica Liliana Ojeda-Pardo, Elisa Andrea Cobo-Mejía, Rocío Del Pilar Castellanos-Vega, Antonio García-Hermoso, Emilio González-Jiménez, Jacqueline Schmidt-RioValle, and Katherine González-Ruíz. 2017. "Percentage of Body Fat and Fat Mass Index as a Screening Tool for Metabolic Syndrome Prediction in Colombian University Students" Nutrients 9, no. 9: 1009. https://doi.org/10.3390/nu9091009
APA StyleRamírez-Vélez, R., Correa-Bautista, J. E., Sanders-Tordecilla, A., Ojeda-Pardo, M. L., Cobo-Mejía, E. A., Castellanos-Vega, R. D. P., García-Hermoso, A., González-Jiménez, E., Schmidt-RioValle, J., & González-Ruíz, K. (2017). Percentage of Body Fat and Fat Mass Index as a Screening Tool for Metabolic Syndrome Prediction in Colombian University Students. Nutrients, 9(9), 1009. https://doi.org/10.3390/nu9091009

