Dose–Response Effects of Short-Term Rhodiola rosea (Golden Root Extract) Supplementation on Anaerobic Exercise Performance and Cognitive Function in Resistance-Trained Athletes: A Randomized, Crossover, Double-Blind, and Placebo-Controlled Study
Abstract
1. Introduction
2. Materials and Methods
2.1. Study Design, Oversight, and Reporting
2.2. Participants and Eligibility
2.3. Screening, Familiarization, and Standardization
2.4. Randomization, Allocation Concealment, and Blinding
2.5. Interventions and Dosing Regimen
2.6. Pre-Visit Restrictions, Adherence, and Co-Interventions
2.7. Outcome Measures and Instruments
2.7.1. Performance Testing
2.7.2. Cognitive and Subjective Assessments
2.7.3. Hemodynamic and Perceptual Responses; Tolerability
2.8. Dietary Monitoring and Standardization
2.9. Statistical Analysis
3. Results
3.1. Participants
3.2. Primary Outcomes
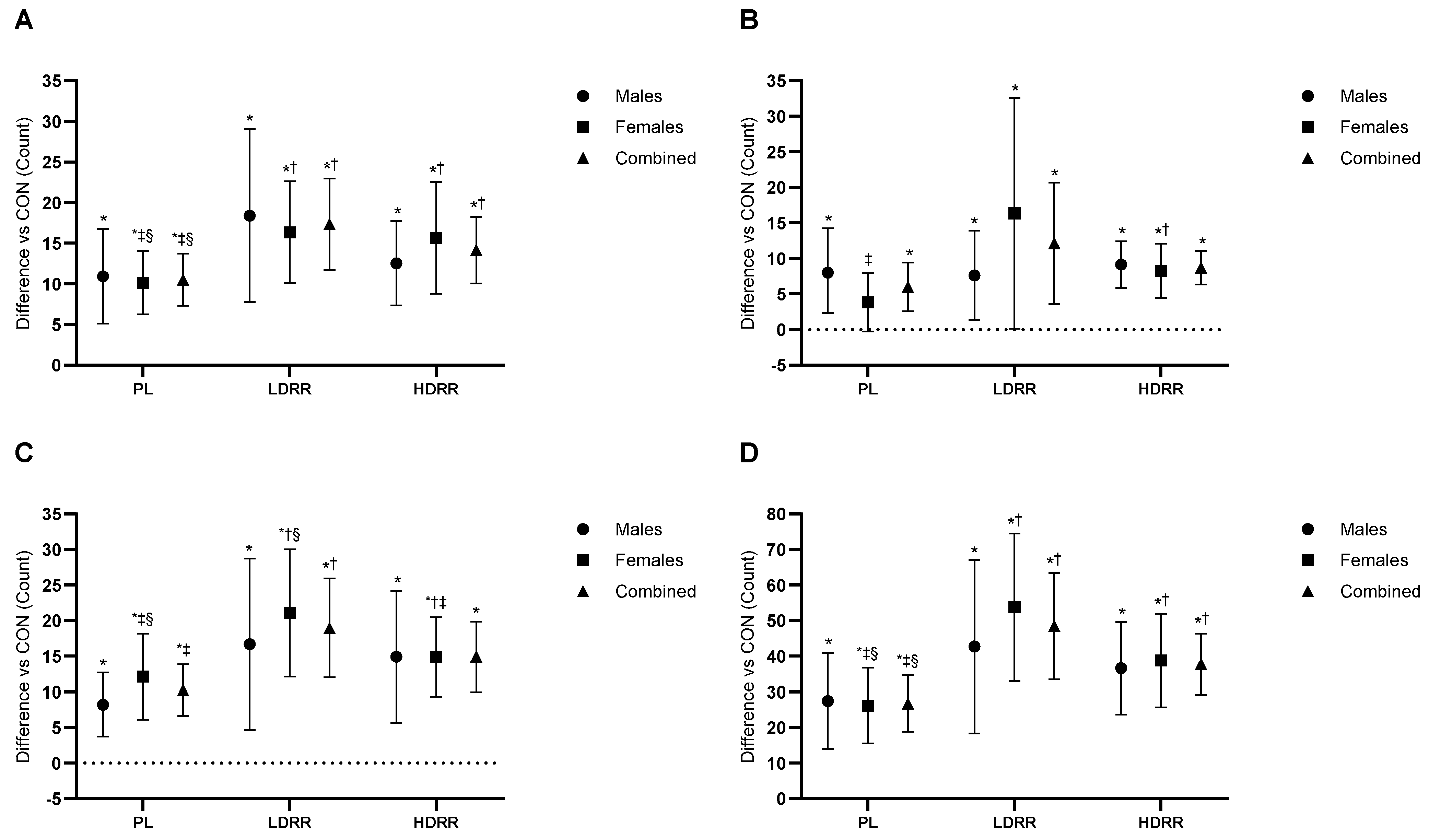
3.2.1. Exercise Performance
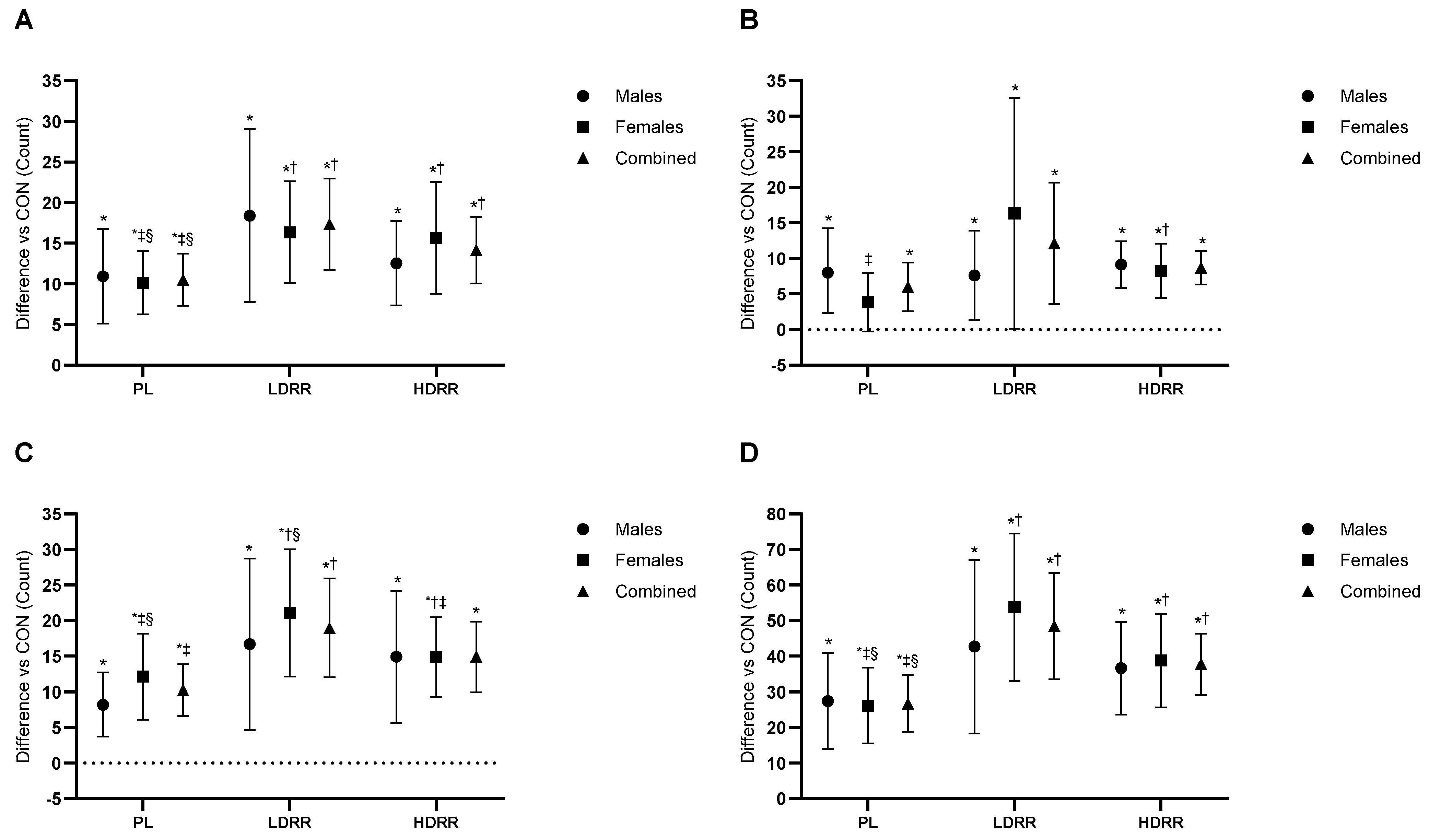
3.2.2. Effects on Cognitive Function
3.3. Secondary Outcomes
3.3.1. Perceptual Responses (VAS Readiness and RPE)
3.3.2. Hemodynamic Responses (Resting and 1 Min Post-Exercise HR and Blood Pressure)
3.3.3. Analysis of Adverse Events
4. Discussion
5. Conclusions
Author Contributions
Funding
Institutional Review Board Statement
Informed Consent Statement
Data Availability Statement
Acknowledgments
Conflicts of Interest
Abbreviations
| RR | Rhodiola rosea |
| CON | Control |
| PL | Placebo |
| LDRR | Low-dose Rhodiola rosea |
| HDRR | High-dose Rhodiola rosea |
| HR | Heart rate |
| SBP | Systolic blood pressure |
| DBP | Diastolic blood pressure |
| RPE | Rating of perceived exertion |
| BP | Bench press |
| LP | Leg press |
| VAS | Visual analog scale |
| SCWT | Stroop color word test |
| 1RM | 1 Repetition maximum |
| TRT | Treatment |
| G | Gender |
References
- Tinsley, G.M.; Jagim, A.R.; Potter, G.D.M.; Garner, D.; Galpin, A.J. Rhodiola rosea as an adaptogen to enhance exercise performance: A review of the literature. Br. J. Nutr. 2023, 131, 461–473. [Google Scholar] [CrossRef] [PubMed]
- Lu, Y.; Deng, B.; Xu, L.; Liu, H.; Song, Y.; Lin, F. Effects of Rhodiola rosea Supplementation on Exercise and Sport: A Systematic Review. Front. Nutr. 2022, 9, 856287. [Google Scholar]
- Noreen, E.E.; Buckley, J.G.; Lewis, S.L.; Brandauer, J.; Stuempfle, K.J. The effects of an acute dose of Rhodiola rosea on endurance exercise performance. J. Strength Cond. Res. 2013, 27, 839–847. [Google Scholar] [CrossRef]
- Duncan, M.J.; Clarke, N.D. The Effect of Acute Rhodiola rosea Ingestion on Exercise Heart Rate, Substrate Utilisation, Mood State, and Perceptions of Exertion, Arousal, and Pleasure/Displeasure in Active Men. J. Sports Med. 2014, 2014, 563043. [Google Scholar] [CrossRef]
- De Bock, K.; Eijnde, B.O.; Ramaekers, M.; Hespel, P. Acute Rhodiola rosea intake can improve endurance exercise performance. Int. J. Sport Nutr. Exerc. Metab. 2004, 14, 298–307. [Google Scholar] [CrossRef]
- Ballmann, C.G.; Maze, S.B.; Wells, A.C.; Marshall, M.R.; Rogers, R.R. Effects of short-term Rhodiola rosea (Golden Root Extract) supplementation on anaerobic exercise performance. J. Sports Sci. 2019, 37, 998–1003. [Google Scholar] [CrossRef]
- Williams, T.D.; Langley, H.N.; Roberson, C.C.; Rogers, R.R.; Ballmann, C.G. Effects of Short-Term Golden Root Extract (Rhodiola rosea) Supplementation on Resistance Exercise Performance. Int. J. Environ. Res. Public Health 2021, 18, 6953. [Google Scholar] [CrossRef] [PubMed]
- Marcos-Frutos, D.; Leban, Ž.; Li, Z.; Zhang, X.; Lara, P.M.; Alix-Fages, C.; Jiménez-Martínez, P.; Zebboudji, N.; Caillet, A.; Redondo, B.; et al. The Impact of Rhodiola rosea Extract on Strength Performance in Alternative Bench-Press and Bench-Pull Exercises Under Resting and Mental Fatigue Conditions: A Randomized, Triple-Blinded, Placebo-Controlled, Crossover Trial. Nutrients 2025, 17, 940. [Google Scholar] [CrossRef] [PubMed]
- Wang, X.; Yang, X.; Gao, Z.; Zeng, J.; Liu, Y. The effect of Rhodiola rosea supplementation on endurance performance and related biomarkers: A systematic review and meta-analysis. Front. Nutr. 2025, 12, 1645346. [Google Scholar] [CrossRef]
- Van Diermen, D.; Marston, A.; Bravo, J.; Reist, M.; Carrupt, P.A.; Hostettmann, K. Monoamine oxidase inhibition by Rhodiola rosea L. roots. J. Ethnopharmacol. 2009, 122, 397–401. [Google Scholar] [CrossRef]
- Lee, W.; Chung, H.; Cheng, Y.; Lin, H.J.; Cheng, J. Rhodiola-water extract induces β-endorphin secretion to lower blood pressure in spontaneously hypertensive rats. Phytother. Res. 2013, 27, 1543–1547. [Google Scholar] [CrossRef] [PubMed]
- Maslova, L.V.; Kondrat’Ev, B.I.; Maslov, L.N.; Lishmanov, I.B. The cardioprotective and antiadrenergic activity of an extract of Rhodiola rosea in stress. Eksp. Klin. Farmakol. 1994, 57, 61–63. [Google Scholar] [PubMed]
- Huang, Z.; Fang, Q.; Ma, W.; Zhang, Q.; Qiu, J.; Gu, X.; Yang, H.; Sun, H. Skeletal Muscle Atrophy Was Alleviated by Salidroside Through Suppressing Oxidative Stress and Inflammation During Denervation. Front. Pharmacol. 2019, 10, 997. [Google Scholar] [CrossRef]
- Wu, C.; Tang, L.; Ni, X.; Xu, T.; Fang, Q.; Xu, L.; Ma, W.; Yang, X.; Sun, H. Salidroside Attenuates Denervation-Induced Skeletal Muscle Atrophy Through Negative Regulation of Pro-inflammatory Cytokine. Front. Physiol. 2019, 10, 665. [Google Scholar] [CrossRef] [PubMed]
- Reznick, R.M.; Shulman, G.I. The role of AMP-activated protein kinase in mitochondrial biogenesis. J. Physiol. 2006, 574 Pt 1, 33–39. [Google Scholar] [CrossRef]
- Zong, H.; Ren, J.M.; Young, L.H.; Pypaert, M.; Mu, J.; Birnbaum, M.J.; Shulman, G.I. AMP kinase is required for mitochondrial biogenesis in skeletal muscle in response to chronic energy deprivation. Proc. Natl. Acad. Sci. USA 2002, 99, 15983–15987. [Google Scholar] [CrossRef]
- Chen, L.; Qin, Y.; Liu, B.; Gao, M.; Li, A.; Li, X.; Gong, G. PGC-1α-Mediated Mitochondrial Quality Control: Molecular Mechanisms and Implications for Heart Failure. Front. Cell Dev. Biol. 2022, 10, 871357. [Google Scholar] [CrossRef]
- Shevtsov, V.; Zholus, B.; Shervarly, V.; Vol’SKij, V.; Korovin, Y.; Khristich, M.; Roslyakova, N.; Wikman, G. A randomized trial of two different doses of a SHR-5 Rhodiola rosea extract versus placebo and control of capacity for mental work. Phytomedicine 2003, 10, 95–105. [Google Scholar] [CrossRef]
- Darbinyan, V.; Kteyan, A.; Panossian, A.; Gabrielian, E.; Wikman, G.; Wagner, H. Rhodiola rosea in stress induced fatigue--a double blind crossover study of a standardized extract SHR-5 with a repeated low-dose regimen on the mental performance of healthy physicians during night duty. Phytomedicine 2000, 7, 365–371. [Google Scholar] [CrossRef]
- Olsson, E.M.; von Schéele, B.; Panossian, A.G. A randomised, double-blind, placebo-controlled, parallel-group study of the standardised extract shr-5 of the roots of Rhodiola rosea in the treatment of subjects with stress-related fatigue. Planta Med. 2009, 75, 105–112. [Google Scholar] [CrossRef]
- Sanz-Barrio, P.M.; Noreen, E.E.; Gilsanz-Estebaranz, L.; Lorenzo-Calvo, J.; Martínez-Ferrán, M.; Pareja-Galeano, H. Rhodiola rosea supplementation on sports performance: A systematic review of randomized controlled trials. Phytother. Res. 2023, 37, 4414–4428. [Google Scholar] [CrossRef]
- Dwan, K.; Li, T.; Altman, D.G.; Elbourne, D. CONSORT 2010 statement: Extension to randomised crossover trials. BMJ 2019, 366, l4378. [Google Scholar] [CrossRef] [PubMed]
- Baechle, T.R.; Earle, R.W. Essentials of Strength and Conditioning; Human Kinetics: Champaign, IL, USA, 2008. [Google Scholar]
- Jówko, E.; Sadowski, J.; Długołęcka, B.; Gierczuk, D.; Opaszowski, B.; Cieśliński, I. Effects of Rhodiola rosea supplementation on mental performance, physical capacity, and oxidative stress biomarkers in healthy men. J. Sport Health Sci. 2018, 7, 473–480. [Google Scholar] [CrossRef] [PubMed]
- Noreen, E.; Buckley, J.; Lewis, S. The effects of an acute dose of Rhodiola rosea on exercise performance and cognitive function. J. Int. Soc. Sports Nutr. 2009, 6, P14. [Google Scholar] [CrossRef]
- American College of Sports Medicine position stand. Progression models in resistance training for healthy adults. Med. Sci. Sports Exerc. 2009, 41, 687–708. [Google Scholar] [CrossRef]
- Suchomel, T.J.; Techmanski, B.S.; Kissick, C.R.; Comfort, P. Reliability, Validity, and Comparison of Barbell Velocity Measurement Devices during the Jump Shrug and Hang High Pull. J. Funct. Morphol. Kinesiol. 2023, 8, 35. [Google Scholar] [CrossRef]
- Kerksick, C.M.; Wilborn, C.D.; Campbell, B.I.; Roberts, M.D.; Rasmussen, C.J.; Greenwood, M.; Kreider, R.B. Early-phase adaptations to a split-body, linear periodization resistance training program in college-aged and middle-aged men. J. Strength Cond. Res. 2009, 23, 962–971. [Google Scholar] [CrossRef] [PubMed]
- Garnacho-Castaño, M.V.; López-Lastra, S.; Maté-Muñoz, J.L. Reliability and validity assessment of a linear position transducer. J. Sports Sci. Med. 2015, 14, 128–136. [Google Scholar]
- Stock, M.S.; Beck, T.W.; DeFreitas, J.M.; Dillon, M.A. Test-retest reliability of barbell velocity during the free-weight bench-press exercise. J. Strength Cond. Res. 2011, 25, 171–177. [Google Scholar] [CrossRef]
- Koozehchian, M.S.; Earnest, C.P.; Jung, Y.P.; Collins, P.B.; O’Connor, A.; Dalton, R.; Shin, S.Y.; Sowinski, R.; Rasmussen, C.; Murano, P.S. Dose Response to One Week of Supplementation of a Multi-Ingredient Preworkout Supplement Containing Caffeine Before Exercise. J. Caffeine Res. 2017, 7, 81–94. [Google Scholar] [CrossRef]
- Dun, Y.; Liu, S.; Zhang, W.; Xie, M.; Qiu, L. Exercise Combined with Rhodiola sacra Supplementation Improves Exercise Capacity and Ameliorates Exhaustive Exercise-Induced Muscle Damage through Enhancement of Mitochondrial Quality Control. Oxid. Med. Cell Longev. 2017, 2017, 8024857. [Google Scholar] [CrossRef]
- Stroop, J.R. Studies of interference in serial verbal reactions. J. Exp. Psychol. 1935, 18, 643. [Google Scholar] [CrossRef]
- Stroop, J.R. Factors affecting speed in serial verbal reactions. Psychol. Monogr. 1938, 50, 38. [Google Scholar] [CrossRef]
- Golden, C.J. A group version of the Stroop Color and Word Test. J. Pers. Assess. 1975, 39, 386–388. [Google Scholar] [CrossRef]
- Jensen, A.R.; Rohwer, W.D., Jr. The Stroop color-word test: A review. Acta Psychol. 1966, 25, 36–93. [Google Scholar] [CrossRef] [PubMed]
- Morse, C.I.; Onambele-Pearson, G.; Edwards, B.; Wong, S.C.; Jacques, M.F. Objective and subjective measures of sleep in men with Muscular Dystrophy. PLoS ONE 2022, 17, e0274970. [Google Scholar] [CrossRef]
- Walker, T.B.; Altobelli, S.A.; Caprihan, A.; Robergs, R.A. Failure of Rhodiola rosea to alter skeletal muscle phosphate kinetics in trained men. Metabolism 2007, 56, 1111–1117. [Google Scholar] [CrossRef] [PubMed]
- Dimpfel, W.; Schombert, L.; Panossian, A.G. Assessing the Quality and Potential Efficacy of Commercial Extracts of Rhodiola rosea L. by Analyzing the Salidroside and Rosavin Content and the Electrophysiological Activity in Hippocampal Long-Term Potentiation, a Synaptic Model of Memory. Front. Pharmacol. 2018, 9, 425. [Google Scholar] [CrossRef]
- Girard, O.; Mendez-Villanueva, A.; Bishop, D. Repeated-sprint ability—Part I: Factors contributing to fatigue. Sports Med. 2011, 41, 673–694. [Google Scholar] [CrossRef]
- Glaister, M. Multiple sprint work: Physiological responses, mechanisms of fatigue and the influence of aerobic fitness. Sports Med. 2005, 35, 757–777. [Google Scholar] [CrossRef]
- Panossian, A.; Wikman, G. Effects of Adaptogens on the Central Nervous System and the Molecular Mechanisms Associated with Their Stress-Protective Activity. Pharmaceuticals 2010, 3, 188–224. [Google Scholar] [CrossRef]
- Hawley, J.A.; Hargreaves, M.; Joyner, M.J.; Zierath, J.R. Integrative biology of exercise. Cell 2014, 159, 738–749. [Google Scholar] [CrossRef] [PubMed]
- Granata, C.; Jamnick, N.A.; Bishop, D.J. Training-Induced Changes in Mitochondrial Content and Respiratory Function in Human Skeletal Muscle. Sports Med. 2018, 48, 1809–1828. [Google Scholar] [CrossRef] [PubMed]
- Panossian, A.; Wikman, G. Evidence-based efficacy of adaptogens in fatigue, and molecular mechanisms related to their stress-protective activity. Curr. Clin. Pharmacol. 2009, 4, 198–219. [Google Scholar] [CrossRef] [PubMed]
- Panossian, A.; Wikman, G.; Kaur, P.; Asea, A. Adaptogens stimulate neuropeptide y and hsp72 expression and release in neuroglia cells. Front. Neurosci. 2012, 6, 6. [Google Scholar] [CrossRef]
- Lishmanov, I.B.; Trifonova, Z.V.; Tsibin, A.N.; Maslova, L.V.; Dement’eva, L.A. Plasma beta-endorphin and stress hormones in stress and adaptation. Biull Eksp. Biol. Med. 1987, 103, 422–424. [Google Scholar] [CrossRef]







| Measurement | Total | Male | Female | p-Value |
|---|---|---|---|---|
| n | 27 | 13 | 14 | |
| Age (years) | 22.3 ± 3.78 | 23.0 ± 5.33 | 21.7 ± 1.25 | 0.09 |
| Height (cm) | 170.3 ± 10.7 | 178.2 ± 9.47 | 163.1 ± 5.32 | 0.08 |
| Weight (kg) | 75.4 ± 21.9 | 91.3 ± 15.5 | 60.6 ± 15.9 | 0.92 |
| Body Mass Index (kg/m2) | 25.7 ± 6.24 | 28.8 ± 4.96 | 22.8 ± 6.02 | 0.77 |
| Bench press 1RM (kg) | 67.7 ± 39.8 | 101.1 ± 29.9 | 36.7 ± 13.6 | 0.51 |
| Leg press 1RM (kg) | 290.3 ± 117.6 | 391.2 ± 83.5 | 196.5 ± 39.9 † | 0.01 |
| Variable | Treatment | Total | Male | Female | p-Value |
|---|---|---|---|---|---|
| Energy Intake | CON | 1702.3 ± 580.5 | 1962.5 ± 687.4 | 1460.7 ± 327.4 | 0.58 |
| PL | 1795.5 ± 594.9 | 2234.1 ± 512.7 | 1388.4 ± 307.2 | ||
| LDRR | 1660.8 ± 545.8 | 2024.2 ± 517.3 | 1323.4 ± 307.0 | ||
| HDRR | 1721.7 ± 569.7 | 2029.9 ± 594.3 | 1435.5 ± 374.3 | ||
| Protein | CON | 88.4 ± 44.3 | 112.1 ± 47.2 | 66.5 ± 28.2 | 0.96 |
| PL | 90.5 ± 40.8 | 114.1 ± 40.6 | 68.6 ± 27.2 | ||
| LDRR | 88.4 ± 40.8 | 112.3 ± 42.2 | 66.2 ± 24.1 | ||
| HDRR | 88.2 ± 41.8 | 110.3 ± 50.1 | 67.6 ± 15.6 | ||
| Carbohydrate | CON | 187.1 ± 44.3 | 207.0 ± 46.1 | 168.6 ± 34.8 | 0.22 |
| PL | 182.0 ± 74.3 | 214.1 ± 83.8 | 152.1 ± 50.6 | ||
| LDRR | 169.7 ± 49.6 | 190.4 ± 52.8 | 150.6 ± 39.0 | ||
| HDRR | 172.8 ± 57.9 | 191.4 ± 59.3 | 155.6 ± 53.0 | ||
| Fat | CON | 79.7 ± 53.8 | 106.0 ± 64.5 | 55.2 ± 24.9 | 0.09 |
| PL | 73.8 ± 31.5 | 92.8 ± 33.8 | 56.3 ± 15.6 | ||
| LDRR | 63.9 ± 31.9 | 82.5 ± 34.3 | 46.6 ± 16.8 | ||
| HDRR | 69.5 ± 26.3 | 82.5 ± 26.6 | 57.3 ± 20.2 |
| Variable | Treatment | Male Mean ± SD | Female Mean ± SD | Mean ± SE | p-Value | |
|---|---|---|---|---|---|---|
| BP 1RM (kg) | CON | 103.1 ± 29.5c | 38.6 ± 13.8 b,c,d | 70.8 ± 4.40 c,d | Trt | 0.001 *** |
| PL | 102.2 ± 30.6c | 39.7 ± 13.3 a | 71.0 ± 4.50 c,d | Trt × G | 0.08 | |
| LDRR | 108.7 ± 30.4 a,b | 40.7 ± 13.7 a | 74.7 ± 4.50 a,b | |||
| HDRR | 106.2 ± 32.1 | 40.5 ± 13.4 a | 73.4 ± 4.67 a,b | |||
| LP 1RM (kg) | CON | 409.1 ± 85.1 b,c,d | 226.5 ± 42.6 c,d | 314.4 ± 113.5 a,b,c | Trt | <0.001 *** |
| PL | 422.7 ± 89.3 a,c,d | 236.7 ± 45.6 c | 326.2 ± 117.0 a,c,d | Trt × G | 0.001 *** | |
| LDRR | 475.4 ± 101.4 a,b | 256.8 ± 44.3 a,b,d | 362.1 ± 134.6 a,b | |||
| HDRR | 465.6 ± 101.4 a,b | 242.8 ± 42.5 a,c | 350.1 ± 136.1 a,b | |||
| BP Reps to Failure S3 @ 60% 1RM (reps) | CON | 12.3 ± 5.37c | 9.36 ± 3.62 b,c,d | 10.8 ± 0.87 c,d | Trt | <0.001 *** |
| PL | 12.8 ± 5.22c | 11.3 ± 3.91 a,d | 12.1 ± 0.88 c,d | Trt × G | 0.24 | |
| LDRR | 16.4 ± 6.65 a,b,d | 13.8 ± 6.52 a | 15.1 ± 1.26 a,b | |||
| HDRR | 13.4 ± 5.41c | 13.7 ± 4.42 a,b | 13.5 ± 0.94 a,b | |||
| LP Reps to Failure S3 @ 60% 1RM (reps) | CON | 22.9 ± 12.9 b,c,d | 25.7 ± 8.03 b,c,d | 24.3 ± 2.06 b,c,d | Trt | <0.001 *** |
| PL | 27.9 ± 12.2 a,c | 30.8 ± 11.4 a,d | 28.9 ± 2.28 a,c | Trt × G | 0.34 | |
| LDRR | 40.6 ± 25.8 a,b | 36.6 ± 9.50 a | 38.6 ± 3.69 a,b,d | |||
| HDRR | 28.7 ± 10.6 a | 31.0 ± 7.81 a,b | 29.8 ± 1.78 a,c | |||
| BP—S3 Lifting Volume (kg) | CON | 819.4 ± 437.6 c | 239.6 ± 145.3 c,d | 518.8 ± 431.4 c | Trt | <0.001 *** |
| PL | 813.8 ± 499.5 c | 277.2 ± 118.9 d | 535.6 ± 443.7 c | Trt × G | 0.039 * | |
| LDRR | 1058.6 ± 642.6 a,b,d | 342.7 ± 201.1 a | 687.4 ± 586.2 a,b,d | |||
| HDRR | 847.5 ± 528.9 c | 339.6 ± 152.9 a,b | 584.1 ± 455.7 c | |||
| LP—S3 Lifting Volume (kg) | CON | 5606.1 ± 4050.0 b,c | 3081.5 ± 1295.1 c,d | 4297.1 ± 3171.9 b,c,d | Trt | 0.006 ** |
| PL | 6747.5 ± 4068.3 a,c | 3627.4 ± 1834.2 a,c | 5129.7 ± 3441.6 a,c | Trt × G | 0.14 | |
| LDRR | 9713.4 ± 8549.2 a,b | 4418.4 ± 1749.9 a,d | 6967.9 ± 6521.7 a,b | |||
| HDRR | 6826.1 ± 2942.9 | 3725.3 ± 1372.6 a,c | 5218.3 ± 2726.1a | |||
| Tendo Mean Power (Watt) | CON | 291.9 ± 104.4 c,d | 116.0 ± 69.5 | 204.0 ± 16.9 c,d | Trt | 0.010 * |
| PL | 302.3 ± 106.3c | 112.7 ± 43.3 | 207.5 ± 15.4 c,d | Trt × G | 0.035 * | |
| LDRR | 349.8 ± 120.2 a,b | 119.7 ± 42.5 | 234.7 ± 17.1 a,b | |||
| HDRR | 334.8 ± 116.4a | 116.4 ± 41.4 | 225.6 ± 16.5 a,b | |||
| Tendo Peak Power (Watt) | CON | 459.3 ± 196.4 | 151.1 ± 83.8 | 305.1 ± 28.6 | Trt | 0.11 |
| PL | 463.6 ± 175.2 | 169.1 ± 75.1 | 316.3 ± 25.6 | Trt × G | 0.34 | |
| LDRR | 552.1 ± 321.5 | 179.3 ± 98.7 | 365.7 ± 45.0 | |||
| HDRR | 503.1 ± 203.7 | 176.3 ± 76.7 | 339.7 ± 29.2 | |||
| Variable | Treatment | Male Mean ± SD | Female Mean ± SD | Mean ± SE | p-Value | |
|---|---|---|---|---|---|---|
| Peak Power (W) | CON | 851.4 ± 138.7 | 536.9 ± 120.8 | 694.1 ± 24.9 | Trt | 0.54 |
| PL | 854.2 ± 149.1 | 557.4 ± 108.1 | 705.8 ± 24.9 | Trt × G | 0.45 | |
| LDRR | 838.1 ± 140.9 | 544.3 ± 121.6 | 691.2 ± 25.2 | |||
| HDRR | 885.9 ± 183.4 | 541.6 ± 111.4 | 713.7 ± 28.9 | |||
| Mean Power (W) | CON | 627.9 ± 102.5 | 382.9 ± 79.7 | 505.4 ± 17.5 | Trt | 0.277 |
| PL | 634.7 ± 123.5 | 385.2 ± 77.8 | 510.0 ± 19.7 | Trt × G | 0.71 | |
| LDRR | 634.2 ± 131.5 | 383.2 ± 86.1 | 508.7 ± 21.2 | |||
| HDRR | 656.3 ± 114.6 | 390.1 ± 80.5 | 523.2 ± 18.9 | |||
| Total Work (J) | CON | 18202.1 ± 3246.8 | 11,039.1 ± 2341.6 | 14,620.6 ± 541.6 | Trt | 0.287 |
| PL | 18,270.6 ± 4083.2 | 11,176.2 ± 2306.1 | 14,723.4 ± 631.9 | Trt × G | 0.62 | |
| LDRR | 18,448.6 ± 4197.6 | 11,299.2 ± 2344.5 | 14,873.9 ± 647.8 | |||
| HDRR | 19,057.7 ± 3452.1 | 11,278.6 ± 2413.5 | 15,168.2 ± 569.6 | |||
| Fatigue Index (%) | CON | 53.1 ± 15.7 | 56.7 ± 12.2 | 54.9 ± 2.71 | Trt | 0.609 |
| PL | 54.0 ± 15.3 | 57.5 ± 12.3 | 55.7 ± 2.67 | Trt × G | 0.77 | |
| LDRR | 50.9 ± 18.4 | 55.2 ± 12.4 | 53.1 ± 3.01 | |||
| HDRR | 54.6 ± 19.2 | 54.9 ± 13.2 | 54.7 ± 3.16 | |||
| Variable | Treatment | Male ± SD | Female ± SD | Mean ± SE | p-Value | |
|---|---|---|---|---|---|---|
| Word (counts) | CON | 104.5 ± 11.9 | 110.9 ± 8.49 | 107.7 ± 1.98 b,c,d | Trt | <0.001 *** |
| PL | 115.4 ± 15.5 | 121.1 ± 5.98 | 118.2 ± 2.23 a,c,d | Trt × G | 0.63 | |
| LDRR | 117.1 ± 17.2 | 126.5 ± 11.5 | 121.8 ± 2.81 a,b | |||
| HDRR | 122.9 ± 22.2 | 127.2 ± 7.84 | 125.1 ± 3.16 a,b | |||
| Color (counts) | CON | 75.6 ± 12.2 | 82.6 ± 11.8 | 79.1 ± 2.31 b,c,d | Trt | 0.03 * |
| PL | 84.0 ± 10.4 | 86.5 ± 11.1 | 85.2 ± 2.07 a | Trt × G | 0.24 | |
| LDRR | 84.8 ± 10.7 | 90.9 ± 11.0 | 87.8 ± 2.1 a | |||
| HDRR | 83.3 ± 18.1 | 99.0 ± 28.2 | 91.1 ± 4.61 a | |||
| Color- Word (counts) | CON | 92.3 ± 17.2 | 95.6 ± 20.1 | 93.9 ± 3.62 b,c,d | Trt | <0.001 *** |
| PL | 100.5 ± 17.5 | 107.7 ± 14.7 | 104.1 ± 3.11 a,d | Trt × G | 0.73 | |
| LDRR | 107.2 ± 25.3 | 110.5 ± 15.9 | 108.9 ± 4.04 a | |||
| HDRR | 109.0 ± 23.8 | 116.7 ± 10.6 | 112.8 ± 3.51 a,b | |||
| Total Stroop Results (counts) | CON | 272.5 ± 34.8 | 289.2 ± 25.8 | 280.8 ± 5.87 b,c,d | Trt | <0.001 *** |
| PL | 300.0 ± 37.6 | 315.3 ± 18.2 | 307.6 ± 5.63 a,c,d | Trt × G | 0.63 | |
| LDRR | 309.1 ± 46.4 | 328.1 ± 22.4 | 318.6 ± 6.93 a,b | |||
| HDRR | 315.2 ± 58.7 | 343.0 ± 31.5 | 329.1 ± 8.98 a,b | |||
Disclaimer/Publisher’s Note: The statements, opinions and data contained in all publications are solely those of the individual author(s) and contributor(s) and not of MDPI and/or the editor(s). MDPI and/or the editor(s) disclaim responsibility for any injury to people or property resulting from any ideas, methods, instructions or products referred to in the content. |
© 2025 by the authors. Licensee MDPI, Basel, Switzerland. This article is an open access article distributed under the terms and conditions of the Creative Commons Attribution (CC BY) license (https://creativecommons.org/licenses/by/4.0/).
Share and Cite
Koozehchian, M.S.; Newton, A.T.; Mabrey, G.; Bonness, F.M.; Rafajlovska, R.; Naderi, A. Dose–Response Effects of Short-Term Rhodiola rosea (Golden Root Extract) Supplementation on Anaerobic Exercise Performance and Cognitive Function in Resistance-Trained Athletes: A Randomized, Crossover, Double-Blind, and Placebo-Controlled Study. Nutrients 2025, 17, 3736. https://doi.org/10.3390/nu17233736
Koozehchian MS, Newton AT, Mabrey G, Bonness FM, Rafajlovska R, Naderi A. Dose–Response Effects of Short-Term Rhodiola rosea (Golden Root Extract) Supplementation on Anaerobic Exercise Performance and Cognitive Function in Resistance-Trained Athletes: A Randomized, Crossover, Double-Blind, and Placebo-Controlled Study. Nutrients. 2025; 17(23):3736. https://doi.org/10.3390/nu17233736
Chicago/Turabian StyleKoozehchian, Majid S., Andrew T. Newton, Gina Mabrey, Faith M. Bonness, Rafaela Rafajlovska, and Alireza Naderi. 2025. "Dose–Response Effects of Short-Term Rhodiola rosea (Golden Root Extract) Supplementation on Anaerobic Exercise Performance and Cognitive Function in Resistance-Trained Athletes: A Randomized, Crossover, Double-Blind, and Placebo-Controlled Study" Nutrients 17, no. 23: 3736. https://doi.org/10.3390/nu17233736
APA StyleKoozehchian, M. S., Newton, A. T., Mabrey, G., Bonness, F. M., Rafajlovska, R., & Naderi, A. (2025). Dose–Response Effects of Short-Term Rhodiola rosea (Golden Root Extract) Supplementation on Anaerobic Exercise Performance and Cognitive Function in Resistance-Trained Athletes: A Randomized, Crossover, Double-Blind, and Placebo-Controlled Study. Nutrients, 17(23), 3736. https://doi.org/10.3390/nu17233736

