The Impact of Vitamin D Supplementation on Fasting Plasma Glucose, Insulin Sensitivity, and Inflammation in Type 2 Diabetes Mellitus: A Systematic Review and Meta-Analysis
Abstract
1. Introduction
2. Materials and Methods
2.1. Study Design and Registration
2.2. Eligibility Criteria
2.3. Data Search and Selection
2.4. Data Extraction
2.5. Risk of Bias Assessment
2.6. Statistical Analysis
3. Results
3.1. Study Selection
3.2. Risk of Bias in Studies
3.3. Study Result Summaries
3.4. Fasting Plasma Glucose (FPG)
3.5. Insulin Level
3.6. HOMA-IR
3.7. HOMA-B
3.8. HbA1c Level
3.9. Hs-CRP
3.10. Level Change in Serum Vitamin D from Baseline
3.11. GRADE Analysis
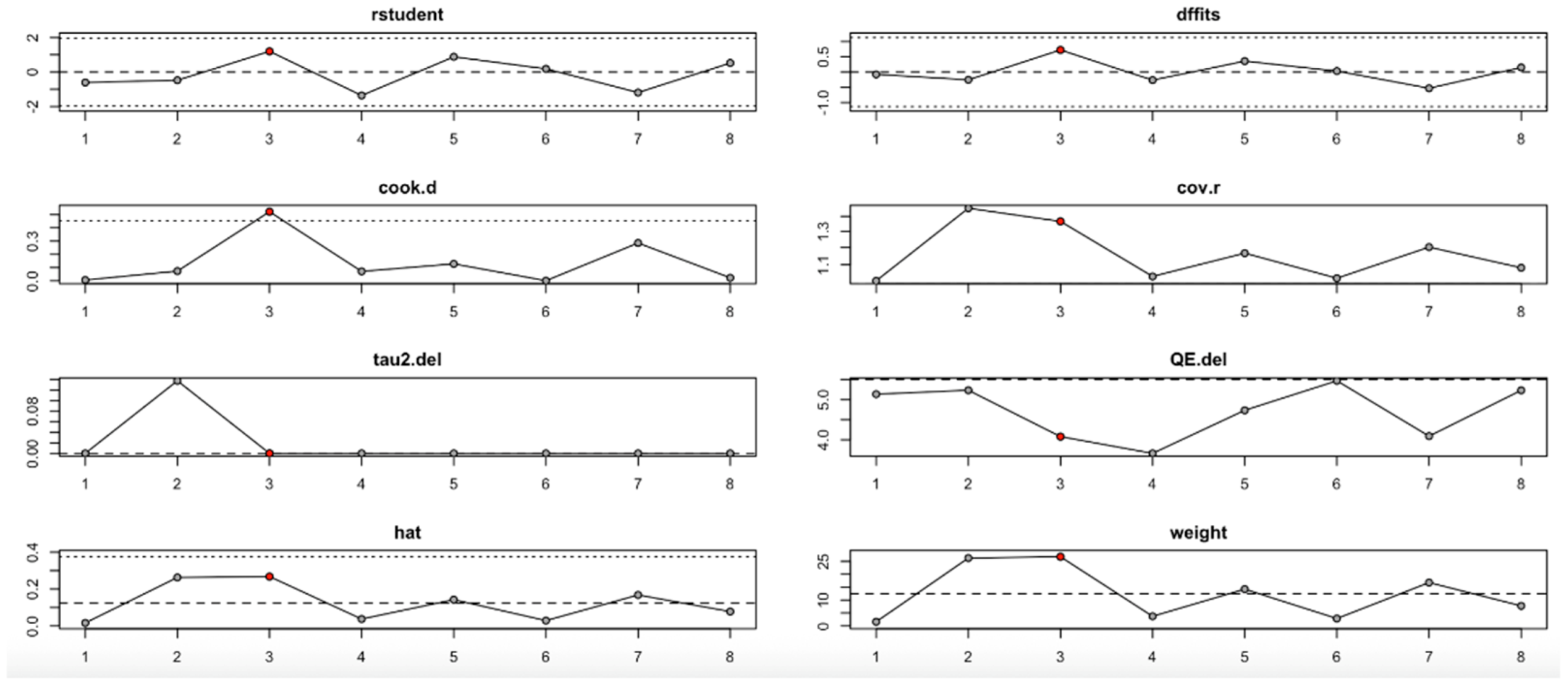
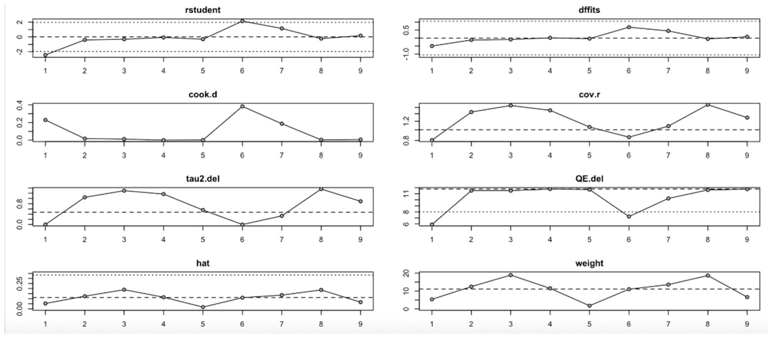
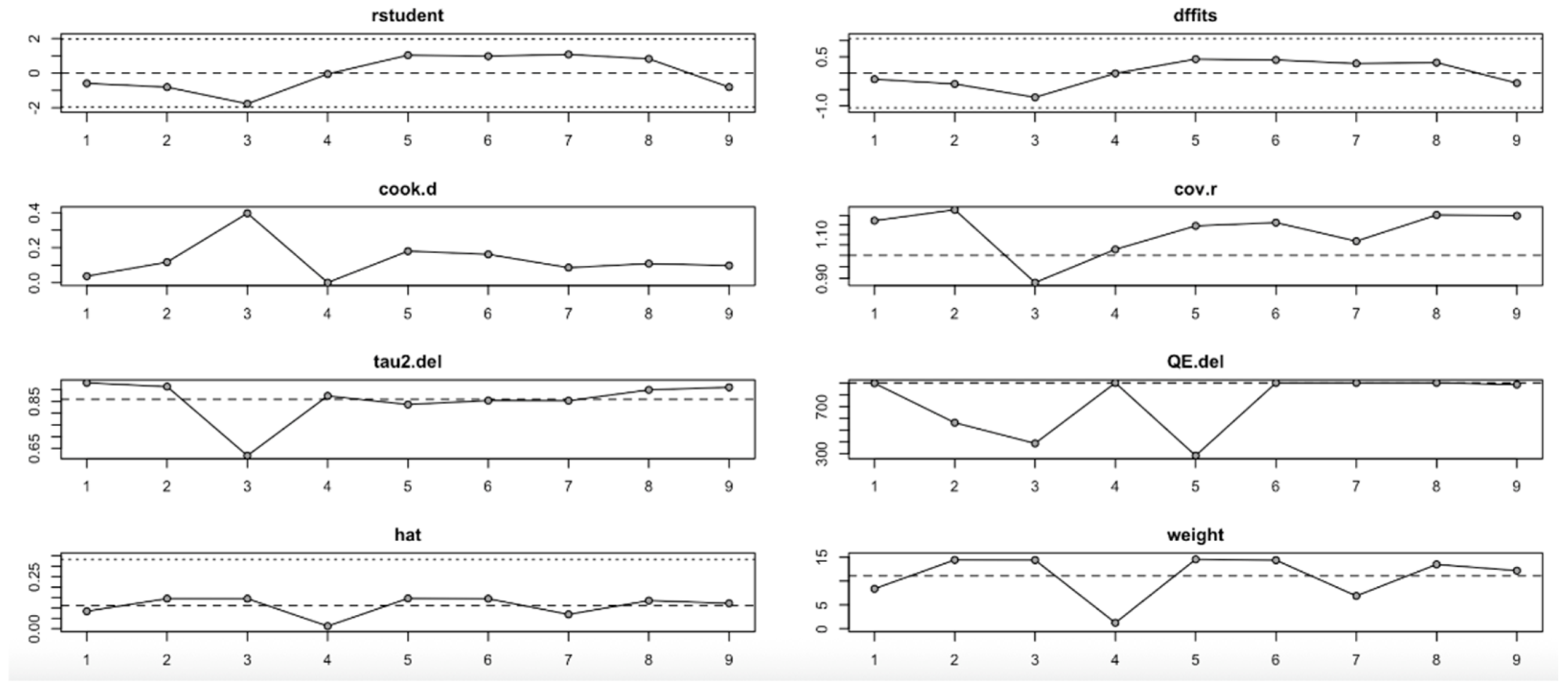
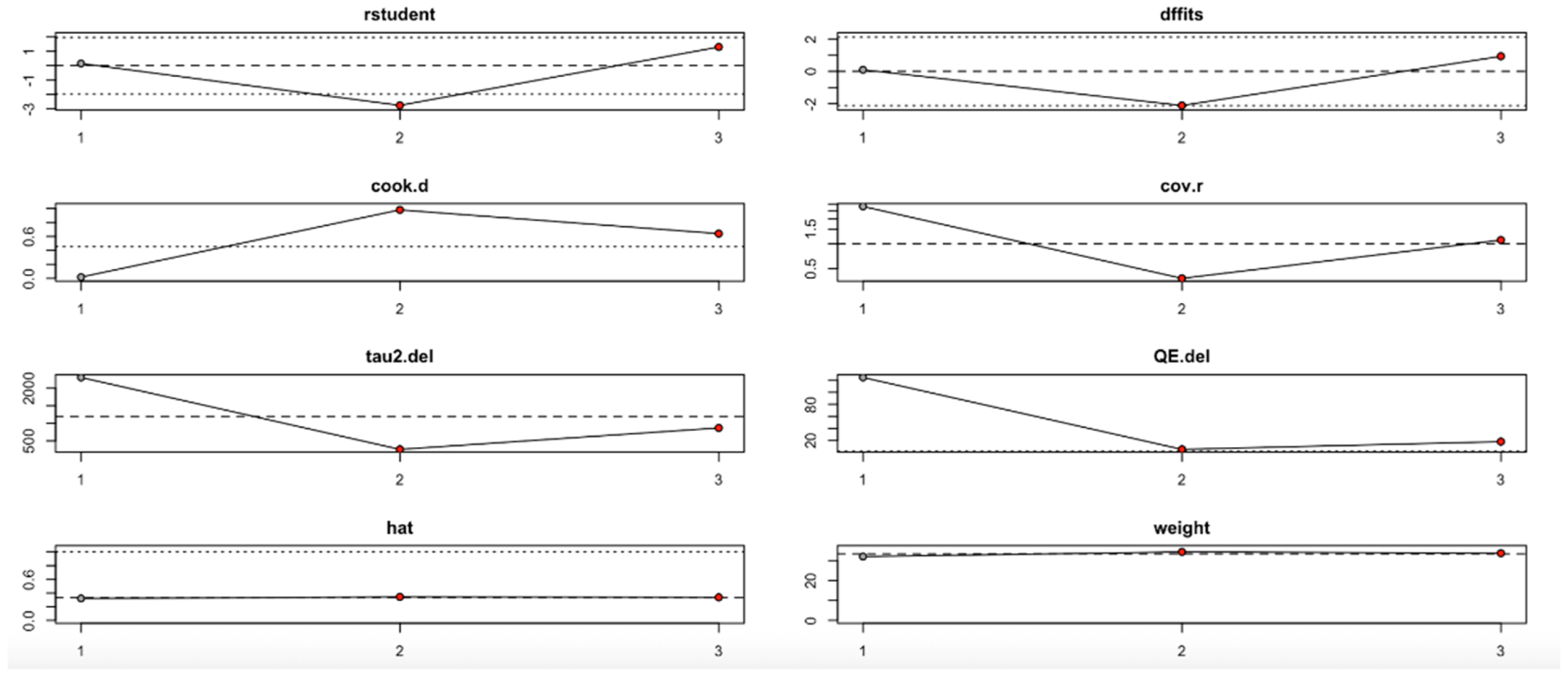
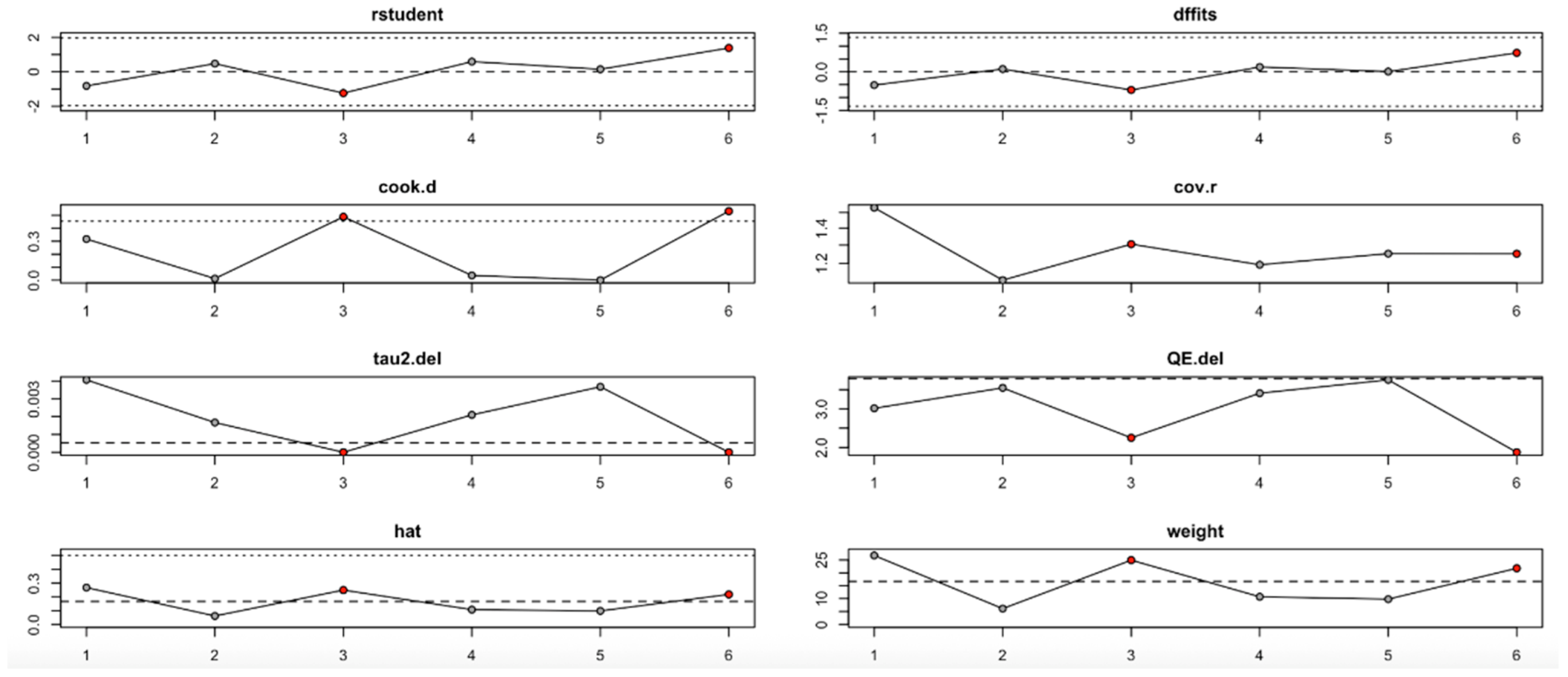
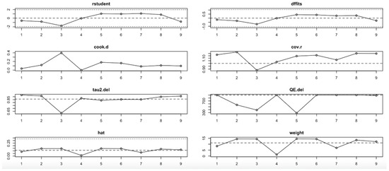
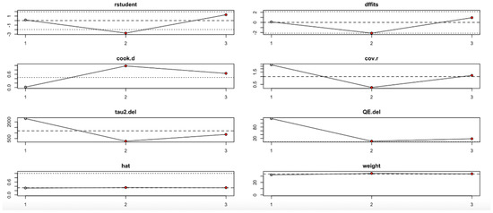
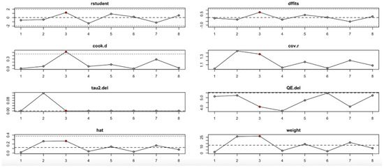
3.12. Leave-One-Out Sensitivity Analysis
4. Discussion
5. Conclusions
Supplementary Materials
Author Contributions
Funding
Institutional Review Board Statement
Informed Consent Statement
Data Availability Statement
Acknowledgments
Conflicts of Interest
References
- Tabesh, M.; Azadbakht, L.; Faghihimani, E.; Tabesh, M.; Esmaillzadeh, A. Effects of calcium-vitamin D co-supplementation on metabolic profiles in vitamin D insufficient people with type 2 diabetes: A randomised controlled clinical trial. Diabetologia 2014, 57, 2038–2047. [Google Scholar] [CrossRef] [PubMed]
- Haines, S.T.; Park, S.K. Vitamin D supplementation: What’s known, what to do, and what’s needed. Pharmacotherapy 2012, 32, 354–382. [Google Scholar] [CrossRef] [PubMed]
- Melguizo-Rodríguez, L.; Costela-Ruiz, V.J.; García-Recio, E.; De Luna-Bertos, E.; Ruiz, C.; Illescas-Montes, R. Role of Vitamin D in the Metabolic Syndrome. Nutrients 2021, 13, 830. [Google Scholar] [CrossRef]
- Kaseb, F.; Haghighyfard, K.; Salami, M.S.; Ghadiri-Anari, A. Relationship Between Vitamin D Deficiency and Markers of Metabolic Syndrome Among Overweight and Obese Adults. Acta Medica Iran. 2017, 55, 399–403. [Google Scholar]
- Koziarska-Rościszewska, M.; Rysz, J.; Stępień, M. High prevalence of vitamin D deficiency and its association with metabolic disorders in elderly patients. Fam. Med. Prim. Care Rev. 2017, 9, 372–376. [Google Scholar] [CrossRef]
- Ruze, R.; Liu, T.; Zou, X.; Song, J.; Chen, Y.; Xu, R.; Yin, X.; Xu, Q. Obesity and type 2 diabetes mellitus: Connections in epidemiology, pathogenesis, and treatments. Front. Endocrinol. 2023, 14, 1161521. [Google Scholar] [CrossRef] [PubMed]
- Goyal, R.; Singhal, M.; Jialal, I. Type 2 Diabetes. In StatPearls; StatPearls Publishing: Treasure Island, FL, USA, 2024. [Google Scholar]
- Galicia-Garcia, U.; Benito-Vicente, A.; Jebari, S.; Larrea-Sebal, A.; Siddiqi, H.; Uribe, K.B.; Ostolaza, H.; Martín, C. Pathophysiology of Type 2 Diabetes Mellitus. Int. J. Mol. Sci. 2020, 21, 6275. [Google Scholar] [CrossRef]
- Scragg, R.; Holdaway, I.; Singh, V.; Metcalf, P.; Baker, J.; Dryson, E. Serum 25-hydroxyvitamin D3 levels decreased in impaired glucose tolerance and diabetes mellitus. Diabetes Res. Clin. Pract. 1995, 27, 181–188. [Google Scholar] [CrossRef]
- Boucher, B.J.; Mannan, N.; Noonan, K.; Hales, C.N.; Evans, S.J. Glucose intolerance and impairment of insulin secretion in relation to vitamin D deficiency in east London Asians. Diabetologia 1995, 38, 1239–1245. [Google Scholar] [CrossRef][Green Version]
- Baynes, K.C.; Boucher, B.J.; Feskens, E.J.; Kromhout, D. Vitamin D, glucose tolerance and insulinaemia in elderly men. Diabetologia 1997, 40, 344–347. [Google Scholar] [CrossRef]
- Maestro, B.; Dávila, N.; Carranza, M.C.; Calle, C. Identification of a Vitamin D response element in the human insulin receptor gene promoter. J. Steroid Biochem. Mol. Biol. 2003, 84, 223–230. [Google Scholar] [CrossRef]
- Wolden-Kirk, H.; Overbergh, L.; Gysemans, C.; Brusgaard, K.; Naamane, N.; Van Lommel, L.; Schuit, F.; Eizirik, D.L.; Christesen, H.; Mathieu, C. Unraveling the effects of 1,25OH2D3 on global gene expression in pancreatic islets. J. Steroid Biochem. Mol. Biol. 2013, 136, 68–79. [Google Scholar] [CrossRef] [PubMed]
- Sergeev, I.N.; Rhoten, W.B. 1,25-Dihydroxyvitamin D3 evokes oscillations of intracellular calcium in a pancreatic beta-cell line. Endocrinology 1995, 136, 2852–2861. [Google Scholar] [CrossRef] [PubMed]
- Doyle, M.E.; Egan, J.M. Pharmacological agents that directly modulate insulin secretion. Pharmacol. Rev. 2003, 55, 105–131. [Google Scholar] [CrossRef] [PubMed]
- Gilon, P.; Chae, H.Y.; Rutter, G.A.; Ravier, M.A. Calcium signaling in pancreatic β-cells in health and in Type 2 diabetes. Cell Calcium. 2014, 56, 340–361. [Google Scholar] [CrossRef]
- Kjalarsdottir, L.; Tersey, S.A.; Vishwanath, M.; Chuang, J.C.; Posner, B.A.; Mirmira, R.G.; Repa, J.J. 1,25-Dihydroxyvitamin D(3) enhances glucose-stimulated insulin secretion in mouse and human islets: A role for transcriptional regulation of voltage-gated calcium channels by the vitamin D receptor. J. Steroid Biochem. Mol. Biol. 2019, 185, 17–26. [Google Scholar] [CrossRef]
- Altieri, B.; Grant, W.; della casa, S.; Orio, F.; Pontecorvi, A.; Colao, A.; Sarno, G.; Muscogiuri, G. Vitamin D and pancreas: The role of sunshine vitamin in the pathogenesis of Diabetes Mellitus and Pancreatic Cancer. Crit. Rev. Food Sci. Nutr. 2016, 57, 3472–3488. [Google Scholar] [CrossRef]
- Chen, W.; Liu, L.; Hu, F. Efficacy of vitamin D supplementation on glycaemic control in type 2 diabetes: An updated systematic review and meta-analysis of randomized controlled trials. Diabetes Obes. Metab. 2024, 26, 5713–5726. [Google Scholar] [CrossRef]
- El Hajj, C.; Walrand, S.; Helou, M.; Yammine, K. Effect of Vitamin D Supplementation on Inflammatory Markers in Non-Obese Lebanese Patients with Type 2 Diabetes: A Randomized Controlled Trial. Nutrients 2020, 12, 2033. [Google Scholar] [CrossRef]
- Higgins, J.P.T.; Thomas, J.; Chandler, J.; Cumpston, M.; Li, T.; Page, M.J.; Welch, V.A. (Eds.) Cochrane Handbook for Systematic Reviews of Interventions, version 6.4 (updated February 2023); Wiley: Hoboken, NJ, USA, 2023; Available online: https://training.cochrane.org/handbook (accessed on 22 July 2024).
- Moher, D.; Liberati, A.; Tetzlaff, J.; Altman, D.G. Preferred reporting items for systematic reviews and meta-analyses: The PRISMA statement. PLoS Med. 2009, 6, e1000097. [Google Scholar] [CrossRef]
- Sterne, J.A.C.; Savović, J.; Page, M.J.; Elbers, R.G.; Blencowe, N.S.; Boutron, I.; Cates, C.J.; Cheng, H.-Y.; Corbett, M.S.; Eldridge, S.M.; et al. RoB 2: A revised tool for assessing risk of bias in randomised trials. BMJ 2019, 366, l4898. [Google Scholar] [CrossRef]
- DerSimonian, R.; Laird, N. Meta-analysis in clinical trials. Control. Clin. Trial 1986, 7, 177–188. [Google Scholar] [CrossRef]
- Higgins, J.P.T.; Thompson, S.G.; Deeks, J.J.; Altman, D.G. Measuring inconsistency in meta-analyses. BMJ 2003, 327, 557–560. [Google Scholar] [CrossRef] [PubMed]
- Muñoz-Aguirre, P.; Flores, M.; Macias, N.; Quezada, A.D.; Denova-Gutiérrez, E.; Salmerón, J. The effect of vitamin D supplementation on serum lipids in postmenopausal women with diabetes: A randomized controlled trial. Clin. Nutr. 2015, 34, 799–804. [Google Scholar] [CrossRef]
- Jafari, T.; Faghihimani, E.; Feizi, A.; Iraj, B.; Javanmard, S.H.; Esmaillzadeh, A.; Fallah, A.A.; Askari, G. Effects of vitamin D-fortified low fat yogurt on glycemic status, anthropometric indexes, inflammation, and bone turnover in diabetic postmenopausal women: A randomised controlled clinical trial. Clin. Nutr. 2016, 35, 67–76. [Google Scholar] [CrossRef]
- Krul-Poel, Y.H.M.; Westra, S.; Boekel ETen Wee, M.M.T.; Van Schoor, N.M.; Van Wijland, H.; Stam, F.; Lips, P.T.; Simsek, S. Effect of Vitamin D supplementation on glycemic control in patients with type 2 diabetes (SUNNY Trial): A randomized placebo-controlled trial. Diabetes Care 2015, 38, 1420–1426. [Google Scholar] [CrossRef] [PubMed]
- Asemi, Z.; Raygan, F.; Bahmani, F.; Rezavandi, Z.; Talari, H.R.; Rafiee, M.; Poladchang, S.; Darooghegi Mofrad, M.; Taheri, S.; Mohammadi, A.A.; et al. The effects of vitamin D, K and calcium co-supplementation on carotid intima-media thickness and metabolic status in overweight type 2 diabetic patients with CHD. Br. J. Nutr. 2016, 116, 286–293. [Google Scholar] [CrossRef] [PubMed]
- Mousa, A.; Naderpoor, N.; De Courten, M.P.J.; Teede, H.; Kellow, N.; Walker, K.; Scragg, R.; de Courten, B. Vitamin D supplementation has no effect on insulin sensitivity or secretion in Vitamin D-deficient, overweight or obese adults: A randomized placebo-controlled trial. Am. J. Clin. Nutr. 2017, 105, 1372–1381. [Google Scholar] [CrossRef] [PubMed]
- Bhatt, S.P.; Misra, A.; Pandey, R.M.; Upadhyay, A.D.; Gulati, S.; Singh, N. Vitamin D Supplementation in Overweight/obese Asian Indian Women with Prediabetes Reduces Glycemic Measures and Truncal Subcutaneous Fat: A 78 Weeks Randomized Placebo-Controlled Trial (PREVENT-WIN Trial). Sci. Rep. 2020, 10, 220. [Google Scholar] [CrossRef]
- Cojic, M.; Kocic, R.; Klisic, A.; Kocic, G. The Effects of Vitamin D Supplementation on Metabolic and Oxidative Stress Markers in Patients With Type 2 Diabetes: A 6-Month Follow Up Randomized Controlled Study. Front. Endocrinol. 2021, 12, 610893. [Google Scholar] [CrossRef]
- Sun, X.; Yan, T.; Li, Z.; Zhou, S.; Peng, W.; Cui, W.; Xu, J.; Cao, Z.B.; Shi, L.; Wang, Y. Effects of Endurance Exercise and Vitamin D Supplementation on Insulin Resistance and Plasma Lipidome in Middle-Aged Adults with Type 2 Diabetes. Nutrients 2023, 15, 3027. [Google Scholar] [CrossRef] [PubMed]
- Pittas, A.G.; Lau, J.; Hu, F.B.; Dawson-Hughes, B. The role of vitamin D and calcium in type 2 diabetes. A systematic review and meta-analysis. J. Clin. Endocrinol. Metab. 2007, 92, 2017–2029. [Google Scholar] [CrossRef] [PubMed]
- Argano, C.; Mirarchi, L.; Amodeo, S.; Orlando, V.; Torres, A.; Corrao, S. The Role of Vitamin D and Its Molecular Bases in Insulin Resistance, Diabetes, Metabolic Syndrome, and Cardiovascular Disease: State of the Art. Int. J. Mol. Sci. 2023, 24, 15485. [Google Scholar] [CrossRef]
- Pramono, A.; Jocken, J.W.E.; Blaak, E.E.; van Baak, M.A. The Effect of Vitamin D Supplementation on Insulin Sensitivity: A Systematic Review and Meta-analysis. Diabetes Care 2020, 43, 1659–1669. [Google Scholar] [CrossRef] [PubMed]
- Lemieux, P.; Weisnagel, S.J.; Caron, A.Z.; Julien, A.S.; Morisset, A.S.; Carreau, A.M.; Poirier, J.; Tchernof, A.; Robitaille, J.; Bergeron, J.; et al. Effects of 6-month vitamin D supplementation on insulin sensitivity and secretion: A randomised, placebo-controlled trial. Eur. J. Endocrinol. 2019, 181, 287–299. [Google Scholar] [CrossRef]
- Hu, Z.; Chen, J.; Sun, X.; Wang, L.; Wang, A. Efficacy of vitamin D supplementation on glycemic control in type 2 diabetes patients: A meta-analysis of interventional studies. Medicine 2019, 98, e14970. [Google Scholar] [CrossRef]
- Yu, Y.; Tian, L.; Xiao, Y.; Huang, G.; Zhang, M. Effect of Vitamin D Supplementation on Some Inflammatory Biomarkers in Type 2 Diabetes Mellitus Subjects: A Systematic Review and Meta-Analysis of Randomized Controlled Trials. Ann. Nutr. Metab. 2018, 73, 62–73. [Google Scholar] [CrossRef]















| Database | Combined Keywords with Boolean Operators | Filter Applies | 
|---|---|---|
| PubMed | (“Vitamin D” OR Calcitriol) AND (adult OR obesity) AND “Diabetes Mellitus Type 2” | - Publication date: Last 10 years - Article type: Randomized Controlled Trial (RCT) and Clinical Trial (CT) | 
| Scopus | TITLE-ABS-KEY (“Vitamin D” OR Calcitriol) AND (adult OR obesity) AND “Diabetes Mellitus Type 2” | - Publication date: Last 10 years - Document type: Article (Research Article) | 
| Cochrane Library | (“Vitamin D” OR Calcitriol) AND (adult OR obesity) AND “Diabetes Mellitus Type 2”: ti, ab, kw | - Publication date: Last 10 years - Study type: Randomized Controlled Trial (RCT) and Clinical Trial (CT) | 
| Epistemonikos | (“Vitamin D” OR Calcitriol) AND (adult OR obesity) AND “Diabetes Mellitus Type 2” | - Publication date: Last 10 years - Study type: Randomized Controlled Trial (RCT) and Clinical Trial (CT) | 
| ScienceDirect | TITLE-ABSTR-KEY (“Vitamin D” OR Calcitriol) AND (adult OR obesity) AND “Diabetes Mellitus Type 2”) | - Publication date: Last 10 years - Document type: Research Article | 
| Author; Year | Country/ Place | Study Design | Vitamin D Level Before Treatment (Intervention/Control) | Vitamin D Level Before Treatment (Intervention/Control) | Supplementation | Population | Functional Outcome (Intervention/Control) (Mean ± SD) | |||||||||
|---|---|---|---|---|---|---|---|---|---|---|---|---|---|---|---|---|
| Sample Size (n) | Supplementation/Placebo | Mean Age (Years) (Mean ± SD) | Follow-Up (Weeks) | FPG | Insulin | HOMA-IR | HOMA-B | HbA1c | Hs-CRP | TNF-a | ||||||
| Muñoz, et al.; 2014 [26] | Mexico | Randomized Clinical Trial | Not Reported | Not Reported | vit D3 4000 IU/day | 104 | 52/52 | Supplementation: 56.1 ± 5.1; Placebo: 57.4 ± 5.0 | 24 weeks | 146 ± 40/154 ± 42 | 19.0 ± 9.0/20.8 ± 11.0 | 6.7 ± 3.7/7.5 ± 4.0 | No Result | 9.0 ± 1.6/9.0 ± 1.8 | No Result | No Result | 
| Jafari., et al.; 2015 [27] | Iran | Randomized Clinical Trial | 62.23 ± 4.52/62.72 ± 4.27 | 86.83 ± 4.87/56.13 ± 2.89 | 2000 IU vitamin D3 in 100 g/day | 59 | 30/29 | Supplementation: 57.8 ± 5.5; Placebo: 56.8 ± 5.7 | 12 | No Result | 5.17 ± 0.46/11.20 ± 1.04 | 2.13 ± 0.20/4.72 ± 0.44 | 64.27 ± 5.98/135.02 ± 13.08 | 7.24 ± 0.22/7.58 ± 0.23 | 9.8 ± 0.4/12.1 ± 1.0 | No Result | 
| Krul., et al.; 2015 [28] | Netherlands | Randomized Clinical Trial | 60.6 ± 23.3/59.1 ± 23.2 | 90.3 ± 22.2/48.4 ± 26.2 | vit D3 50,000 IU/month | 261 | 129/132 | Supplementation: 67 ± 8; Placebo: 67 ± 9 | 24 | 8.1 ± 1.4/7.8 ± 1.2 | 16.3 (11.1)/16.3 (9.8) | 4.99 (3.29–6.98)/4.83 (3.37–7.24) | 64.8 (46.1–93.8)/67.4 (42.5–102.7) | 6.86 (0.6)/6.86 (0.6) | No Result | No Result | 
| Asemi., et al.; 2016 [29] | Iran | Randomized Clinical Trial | Not Reported | Not Reported | 5 μg vit D3, 90 μg vit K plus 500 mg Ca | 66 | 33/33 | Supplementation: 65.9 (11.4); Placebo: 65.0 (11.1) | 12 | 140.7 (56.2)/145·5 (70.4) | 12.7 (7.2)/20.1 (10.5) | 4.0 (2.4)/6.0 (3.9) | 36.6 (30.1)/64.5 (47.2) | No Result | 2.7 (2.3)/6.3 (5.8) | No Result | 
| Mousa., et al.; 2017 [30] | Australia | Randomized Clinical Trial | 31.4 ± 12.6/34.2 ± 10.0 | 88.4 ± 21.0/36.1 ± 10.0 | vit D3 100,000 IU bolus followed by 4000 IU/day | 54 | 28/26 | Supplementation: 30.5 (25–35); Placebo: 29.5 (25–41) | 16 | 4.6 ± 0.5/4.7 ± 0.3 | 10.2 (6.9–18.2)/7.9 (5.8–13.6) | No Result | No Result | No Result | No Result | No Result | 
| Bhatt., et al.; 2020 [31] | India | Randomized Clinical Trial | 29.9 ± 5.9/32.1 ± 5.2 | 56.6 ± 12.6/49.1 ± 12.1 | vit D3 60,000 IU/week | 121 | 61/60 | Not stated | 26 | 110.9 ± 8.5/111.8 ± 7.9 | 12.3 ± 7.3/11.5 ± 8.7 | 1.39 ± 0.08/1.81 ± 0.09 | No Result | No Result | No Result | No Result | 
| 52 | 108.4 ± 21.0/105.5 ± 17.5 | 10.7 ± 5.6/10.3 ± 4.8 | 1.42 ± 0.09/1.38 ± 0.07 | No Result | No Result | No Result | No Result | |||||||||
| 78 | 101.8 ± 11.9/106.9 ± 26.9 | 10.6 ± 4.8/10.1 ± 4.7 | 1.20 ± 0.06/1.24 ± 0.04 | No Result | No Result | No Result | No Result | |||||||||
| Hajj., et al.; 2020 [20] | Lebanon | Randomized Clinical Trial | 14.8 ± 4.5/15.02 ± 4.2 | 34.9 ± 4.7/14.5 ± 3.9 | vit D3 30,000 IU/week | 88 | 45/43 | Supplementation: 66.9 ± 4.1; Placebo: 65.7 ± 4.5 | 24 | No Result | No Result | 2.51 ± 2.46/2.41± 1.92 | No Result | 6.53 ± 0.63/6.64 ± 1.31 | 5.3 ± 2.31/5.19 ± 2.23 | 2.61 ± 1.04/3.01 ± 0.83 | 
| Cojic., et al.; 2021 [32] | Serbia | Randomized Clinical Trial | 48.79 ± 31.63/58.02 ± 32.32 | 92.24 ± 20.25/51.77 ± 23.99 | vit D3 14,000 IU/week | 130 | 65/65 | Supplementation: 60.41 (8.5); Placebo: 63.65 (8.2) | 12 | 7.28 (1.16)/7.97 (1.74) | 9.81 (7.04)/12.62 (8.30) | 3.63 (3.02)/3.42 (2.64) | No Result | 6.32 (0.69)/6.66 (0.85) | No Result | No Result | 
| 24 | 7.23 (1.26)/7.74 (1.49) | 11.26 (6.68)/11.92 (7.86) | 3.44 (2.89)/3.39 (3.37) | No Result | 6.48 (0.70)/6.87 (0.92) | No Result | No Result | |||||||||
| Sun., et al.; 2023 [33] | China | Randomized Clinical Trial | Not Reported | Not Reported | Vit D3 1000 IU/day | 30 | 15/15 | Not stated | 12 | 6.5 ± 0.8/7.1 ± 1.3 | 11.0 ± 8.9/15.1 ± 11.0 | 3.2 ± 2.7/5.1 ± 4.9 | No Result | 6.6 ± 0.8/6.7 ± 0.8 | No Result | No Result | 
| Outcome | Effect Size (MD, 95% CI) | No. of Studies | Risk of Bias | Certainty | Key Justification(s) | 
|---|---|---|---|---|---|
| Fasting Plasma Glucose (FPG) | −2.61 [−5.53 to 0.32]; p = 0.08 | Multiple | Moderate | ⬤⬤◯◯ Low | Downgraded for inconsistency (I2 = 73%) and imprecision (non-significant, CI crosses 0); 3/9 studies had unclear randomization. | 
| Insulin Level | −2.09 [−4.75 to 0.56]; p = 0.12 | Multiple | Moderate | ⬤⬤◯◯ Low | Downgraded for inconsistency (I2 = 91%) and imprecision; risk of bias due to unclear randomization in several studies. | 
| HOMA-IR | −0.74 [−1.75 to 0.27]; p = 0.15 | Multiple | Moderate | ⬤⬤◯◯ Low | Downgraded for imprecision (CI crosses 0) and moderate inconsistency (I2 = 59%); some studies with unclear randomization. | 
| HOMA-B | −33.97 [−83.42 to 15.48]; p = 0.18 | Multiple | Moderate | ⬤◯◯◯ Very Low | Downgraded for inconsistency (I2 = 99%), imprecision (wide CI), and subgroup inconsistency (p = 0.03); moderate RoB due to unclear randomization. | 
| HbA1c Level | −0.17 [−0.35 to 0.00]; p = 0.05 | Multiple | Low–Moderate | ⬤⬤⬤◯ Moderate | Downgraded for imprecision (borderline p and CI), but heterogeneity was acceptable (I2 = 44%); most studies low risk, some concerns in 3/9 studies. | 
| Hs-CRP | −1.79 [−3.70 to 0.13]; p = 0.07 | Multiple | Moderate | ⬤⬤◯◯ Low | Downgraded for inconsistency (I2 = 91%), imprecision, and significant subgroup inconsistency (p = 0.0001); 3 studies had randomization issues. | 
| Serum Vitamin D Change | +33.88 [23.24 to 44.52]; p < 0.00001 | Multiple | Low–Moderate | ⬤⬤⬤◯ Moderate | Downgraded for inconsistency (I2 = 97%) but retained moderate certainty due to consistent large effect and direction despite some RoB concerns. | 
| Outcome | Leave-One-Out | Estimate | SE | Z-Value | p-Value | CI Lower | CI Upper | Q | Qp | Tau2 | I2 (%) | H2 | 
|---|---|---|---|---|---|---|---|---|---|---|---|---|
| FPG | −1 | 6.867 | 2.068 | −1.979 | 0.304 | 2.359 | 5.212 | 5.638 | 0.912 | 8.413 | 90.926 | 5.629 | 
| −2 | 7.895 | 1.935 | 4.247 | 0.05 | −3.033 | 9.945 | 18.72 | 0.317 | 6.322 | 88.636 | 7.969 | |
| −3 | 9.817 | 2.595 | 0.679 | 0.005 | 2.17 | 14.966 | 1.162 | 0.2 | 5.852 | 20.305 | 4.857 | |
| −4 | 4.199 | 1.267 | −2.145 | 0.231 | −0.436 | 11.977 | 7.795 | 0.717 | 9.27 | 46.479 | 4.551 | |
| −5 | 7.814 | 1.412 | −1.684 | 0.071 | −1.755 | 6.209 | 1.35 | 0.231 | 8.277 | 76.697 | 6.229 | |
| −6 | 4.584 | 0.978 | 2.348 | 0.763 | 4.319 | 10.332 | 17.03 | 0.376 | 5.789 | 75.2 | 8.259 | |
| −7 | 8.265 | 2.725 | 0.398 | 0.565 | −2.31 | 6.406 | 12.79 | 0.511 | 7.468 | 45.921 | 3.479 | |
| −8 | −0.421 | 2.354 | −0.238 | 0.025 | −3.871 | 11.242 | 2.871 | 0.138 | 3.745 | 63.509 | 9.057 | |
| Insulin | −1 | 9.43 | 1.695 | 1.836 | 0.589 | 2.31 | 9.904 | 8.948 | 0.21 | 1.728 | 74.026 | 5.277 | 
| −2 | 8.679 | 2.101 | −1.812 | 0.285 | 4.101 | 10.692 | 10.87 | 0.35 | 9.945 | 88.868 | 6.705 | |
| −3 | 8.833 | 2.238 | −0.409 | 0.135 | 2.425 | 5.672 | 8.345 | 0.637 | 2.751 | 74.423 | 7.825 | |
| −4 | 7.029 | 2.028 | −0.259 | 0.271 | 1.782 | 5.36 | 16.77 | 0.913 | 8.861 | 10.761 | 7.827 | |
| −5 | −1.348 | 1.947 | 4.826 | 0.864 | 1.021 | 12.628 | 0.842 | 0.433 | 2.936 | 76.555 | 3.903 | |
| −6 | 6.251 | 2.966 | 0.188 | 0.882 | −2.605 | 9.518 | 19.01 | 0.031 | 8.053 | 74.418 | 1.281 | |
| −7 | 4.498 | 0.867 | 4.576 | 0.632 | 2.771 | 5.619 | 12.94 | 0.451 | 3.922 | 30.152 | 8.383 | |
| −8 | 0.405 | 2.904 | 2.965 | 0.745 | 1.097 | 5.185 | 6.329 | 0.273 | 7.27 | 29.534 | 8.056 | |
| −9 | 3.272 | 0.627 | −2.857 | 0.374 | −1.144 | 6.785 | 19.51 | 0.456 | 8.888 | 20.875 | 8.239 | |
| HOMA-IR | −1 | −1.036 | 1.91 | −1.502 | 0.009 | 2.614 | 11.05 | 0.769 | 0.553 | 1.371 | 96.687 | 3.014 | 
| −2 | 6.221 | 2.305 | 1.37 | 0.185 | −2.339 | 10.231 | 6.836 | 0.599 | 4.722 | 11.999 | 3.602 | |
| −3 | 8.707 | 2.124 | −1.577 | 0.047 | 0.849 | 8.338 | 15.18 | 0.937 | 6.653 | 17.846 | 7.337 | |
| −4 | 5.04 | 1.37 | 2.066 | 0.352 | −4.814 | 9.897 | 1.309 | 0.015 | 6.615 | 45.765 | 4.763 | |
| −5 | 0.164 | 2.633 | 1.504 | 0.275 | −4.673 | 12.593 | 11.6 | 0.407 | 0.734 | 76.639 | 6.544 | |
| −6 | −1.884 | 0.971 | 1.925 | 0.849 | 4.62 | 12.151 | 4.656 | 0.667 | 8.549 | 20.304 | 4.699 | |
| −7 | 2.995 | 0.578 | −0.001 | 0.155 | 4.412 | 5.049 | 14.4 | 0.603 | 0.076 | 9.449 | 1.762 | |
| −8 | 8.784 | 1.85 | −2.758 | 0.049 | 2.173 | 5.831 | 10.33 | 0.042 | 6.437 | 15.698 | 9.872 | |
| −9 | 7.155 | 1.255 | 3.718 | 0.387 | −4.307 | 7.97 | 5.383 | 0.043 | 9.656 | 39.821 | 8.742 | |
| HOMA-B | −1 | 7.731 | 0.678 | −0.314 | 0.788 | −1.317 | 10.31 | 8.014 | 0.162 | 2.391 | 53.44 | 3.075 | 
| −2 | 4.054 | 2.768 | −1.709 | 0.361 | −0.459 | 10.042 | 10.09 | 0.525 | 5.2 | 89.3 | 5.257 | |
| −3 | 9.409 | 0.964 | −1.253 | 0.53 | −4.039 | 7.094 | 19.98 | 0.34 | 9.803 | 26.724 | 5.961 | |
| HbA1c | −1 | 0.973 | 1.136 | 4.334 | 0.611 | 3.479 | 8.843 | 14.33 | 0.412 | 3.406 | 38.956 | 1.582 | 
| −2 | 2.527 | 2.295 | 0.158 | 0.68 | 2.541 | 12.752 | 9.894 | 0.999 | 1.562 | 99.006 | 5.555 | |
| −3 | 5.142 | 0.65 | −0.44 | 0.876 | −4.328 | 10.953 | 5.21 | 0.494 | 7.379 | 88.052 | 3.918 | |
| −4 | −1.688 | 2.689 | −0.027 | 0.341 | 2.776 | 12.274 | 17.9 | 0.605 | 1.15 | 73.74 | 6.813 | |
| −5 | 5.952 | 1.659 | 3.82 | 0.429 | 3.718 | 11.247 | 17.73 | 0.493 | 9.091 | 55.075 | 3.081 | |
| −6 | 1.218 | 1.254 | −2.535 | 0.507 | 1.473 | 9.716 | 0.513 | 0.714 | 5.382 | 23.323 | 1.856 | |
| hs-CRP | −1 | 2.349 | 0.826 | −1.345 | 0.218 | −3.81 | 10.12 | 8.679 | 0.579 | 9.793 | 82.216 | 4.494 | 
| −2 | 4.179 | 2.733 | 1.915 | 0.447 | −1.445 | 13.693 | 6.918 | 0.859 | 5.061 | 17.348 | 3.277 | |
| −3 | −1.612 | 0.759 | 0.603 | 0.132 | −1.792 | 13.262 | 13.88 | 0.818 | 6.027 | 29.9 | 4.152 | |
| Vitamin D | −1 | 4.048 | 0.724 | −0.985 | 0.604 | 2.84 | 13.706 | 14.1 | 0.816 | 4.49 | 62.115 | 6.158 | 
| −2 | 8.781 | 2.666 | −1.18 | 0.208 | 0.56 | 8.886 | 4.445 | 0.69 | 6.638 | 79.21 | 5.533 | |
| −3 | 3.285 | 2.569 | −1.709 | 0.303 | 1.48 | 9.355 | 14.12 | 0.085 | 3.186 | 87.486 | 1.038 | |
| −4 | 3.479 | 1.634 | 2.203 | 0.197 | −2.116 | 9.983 | 11.58 | 0.868 | 9.388 | 71.056 | 8.379 | |
| −5 | −0.021 | 2.059 | −2.096 | 0.05 | 4.012 | 5.333 | 11.82 | 0.253 | 4.188 | 5.06 | 4.221 | |
| −6 | 0.712 | 2.991 | −1.793 | 0.591 | −3.136 | 9.245 | 19.24 | 0.299 | 1.389 | 22.088 | 6.045 | 
| Disclaimer/Publisher’s Note: The statements, opinions and data contained in all publications are solely those of the individual author(s) and contributor(s) and not of MDPI and/or the editor(s). MDPI and/or the editor(s) disclaim responsibility for any injury to people or property resulting from any ideas, methods, instructions or products referred to in the content. | 
© 2025 by the authors. Licensee MDPI, Basel, Switzerland. This article is an open access article distributed under the terms and conditions of the Creative Commons Attribution (CC BY) license (https://creativecommons.org/licenses/by/4.0/).
Share and Cite
Probosari, E.; Subagio, H.W.; Heri-Nugroho; Rachmawati, B.; Muis, S.F.; Tjandra, K.C.; Adiningsih, D.; Winarni, T.I. The Impact of Vitamin D Supplementation on Fasting Plasma Glucose, Insulin Sensitivity, and Inflammation in Type 2 Diabetes Mellitus: A Systematic Review and Meta-Analysis. Nutrients 2025, 17, 2489. https://doi.org/10.3390/nu17152489
Probosari E, Subagio HW, Heri-Nugroho, Rachmawati B, Muis SF, Tjandra KC, Adiningsih D, Winarni TI. The Impact of Vitamin D Supplementation on Fasting Plasma Glucose, Insulin Sensitivity, and Inflammation in Type 2 Diabetes Mellitus: A Systematic Review and Meta-Analysis. Nutrients. 2025; 17(15):2489. https://doi.org/10.3390/nu17152489
Chicago/Turabian StyleProbosari, Enny, Hertanto W. Subagio, Heri-Nugroho, Banundari Rachmawati, Siti F. Muis, Kevin C. Tjandra, Dwi Adiningsih, and Tri I. Winarni. 2025. "The Impact of Vitamin D Supplementation on Fasting Plasma Glucose, Insulin Sensitivity, and Inflammation in Type 2 Diabetes Mellitus: A Systematic Review and Meta-Analysis" Nutrients 17, no. 15: 2489. https://doi.org/10.3390/nu17152489
APA StyleProbosari, E., Subagio, H. W., Heri-Nugroho, Rachmawati, B., Muis, S. F., Tjandra, K. C., Adiningsih, D., & Winarni, T. I. (2025). The Impact of Vitamin D Supplementation on Fasting Plasma Glucose, Insulin Sensitivity, and Inflammation in Type 2 Diabetes Mellitus: A Systematic Review and Meta-Analysis. Nutrients, 17(15), 2489. https://doi.org/10.3390/nu17152489
 
        


 
       