Assessment of In-Season Cotton Nitrogen Status and Lint Yield Prediction from Unmanned Aerial System Imagery
Abstract
1. Introduction
1.1. Sensitive Wavebands to Crop Nitrogen Deficiency
1.2. Unmanned Aerial Systems for Monitoring Crop Performance
2. Material and Methods
2.1. Experimental Site and Fertilizer Treatments Applied
2.2. In-Field Determinations
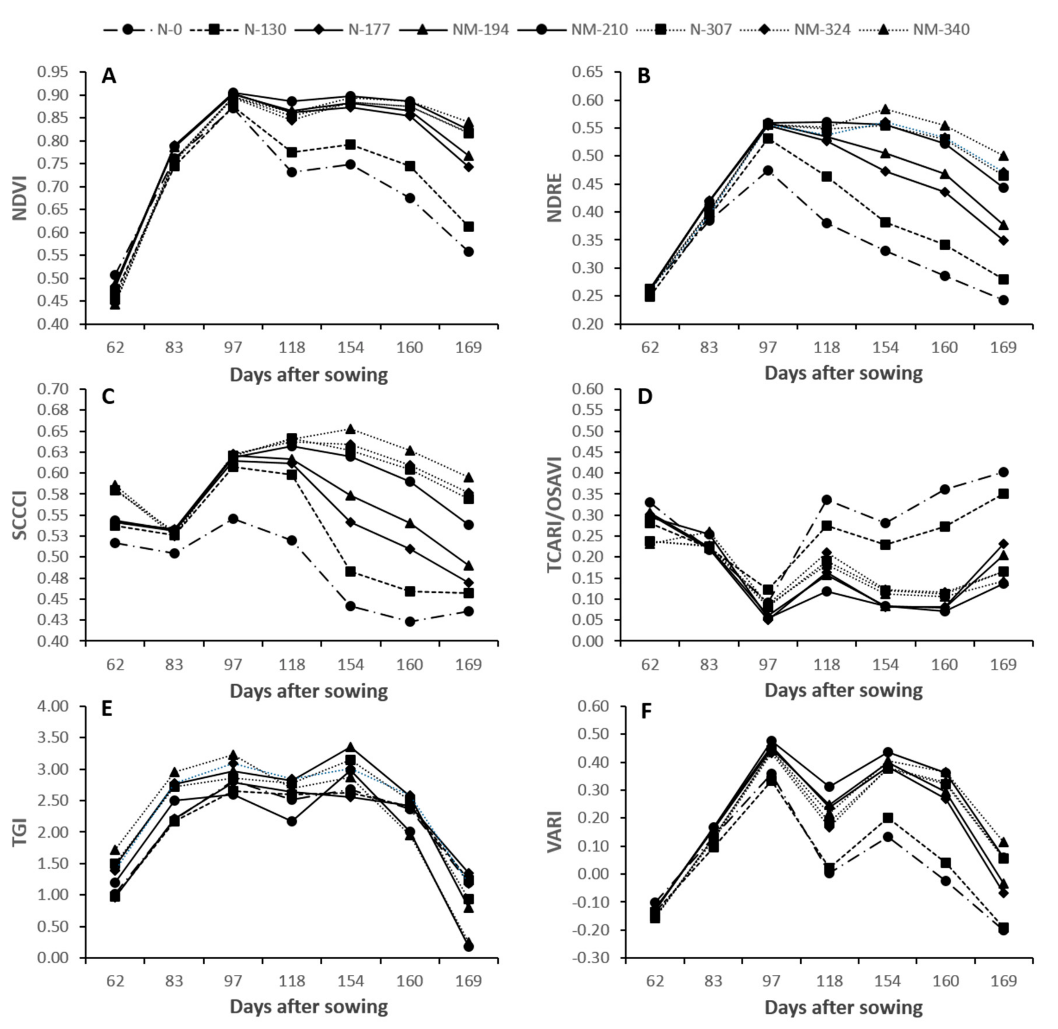
2.3. Multispectral Imagery Acquisition and Processing
2.4. Statistical Analysis
3. Results
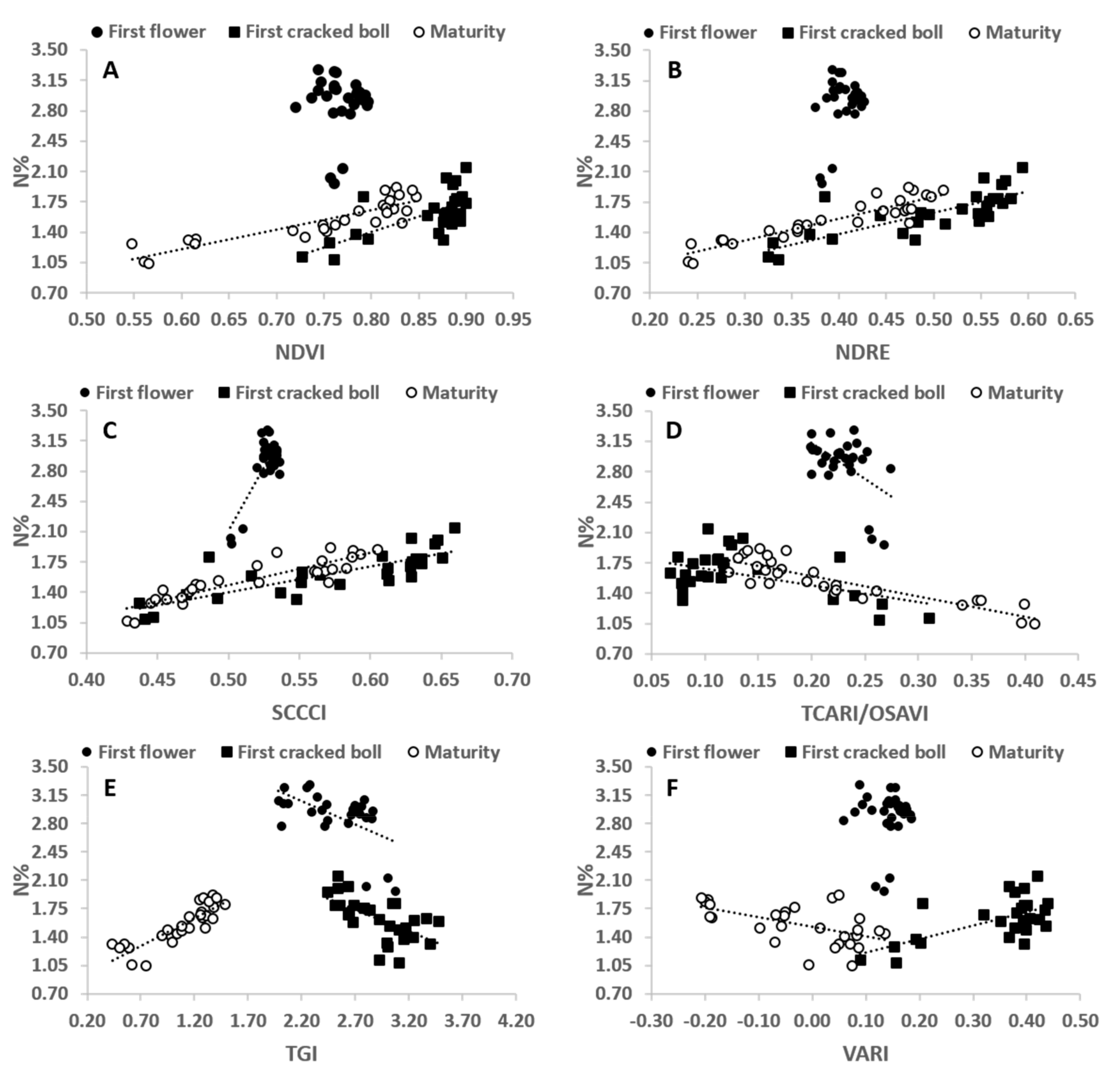
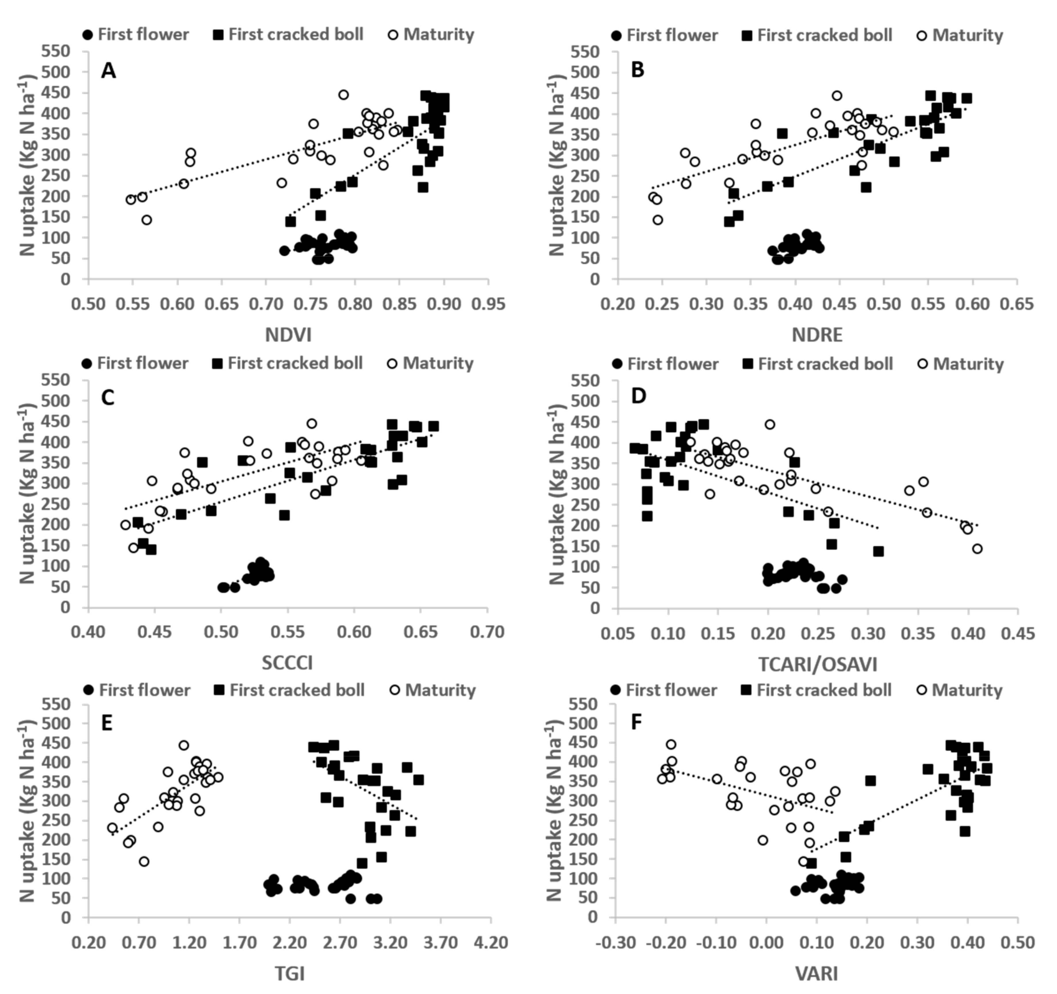
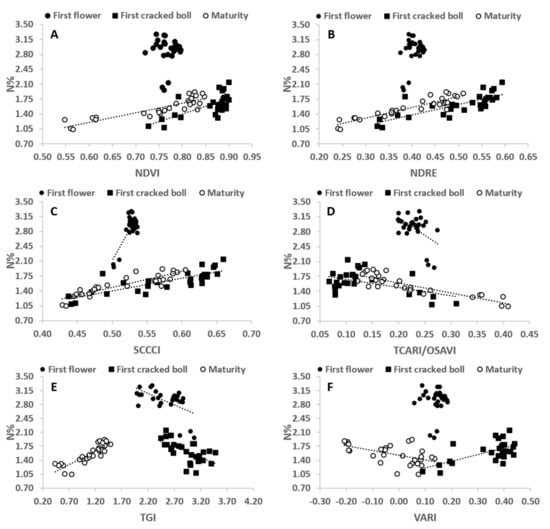
3.1. N% and N Uptake at First Flower, First Cracked Boll and Maturity
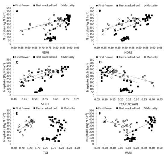
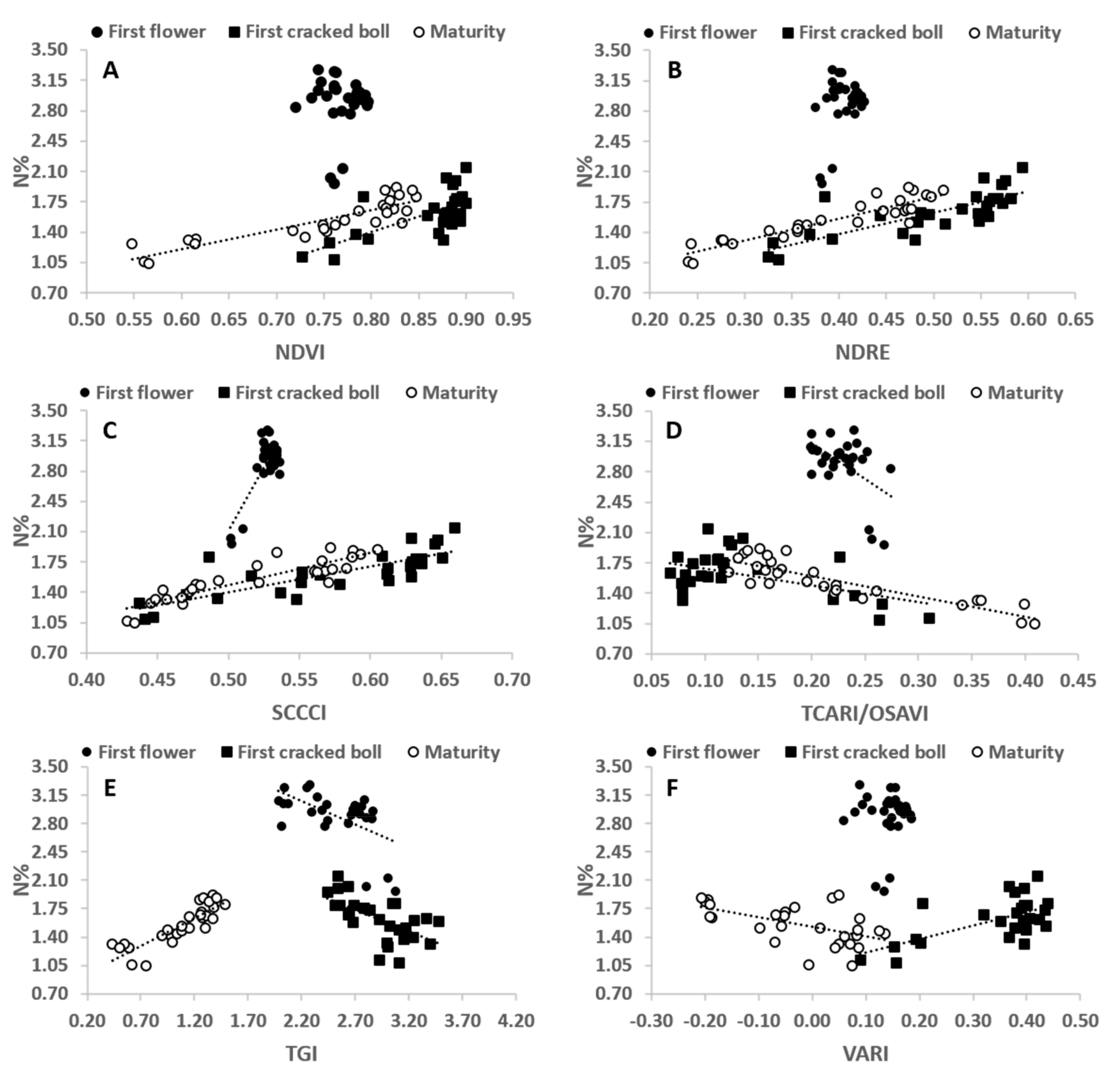
3.2. VIs and Their Relationship with Plant N% and N Uptake at Different Stages of the Crop
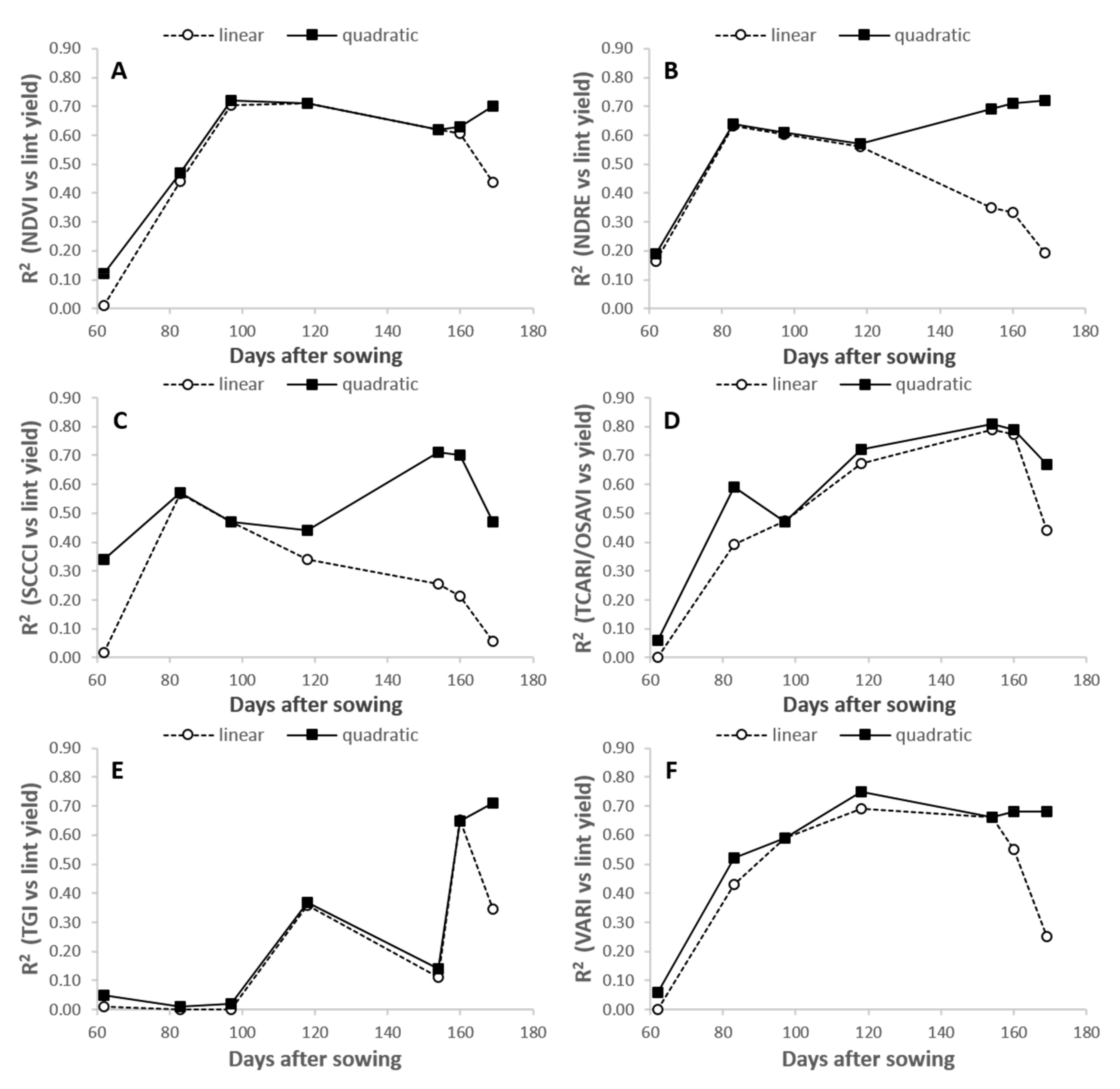
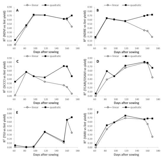
3.3. Lint Yield and Its Relationship with the VIs
4. Discussion
4.1. Plant N% and N Uptake Estimations across the Season
4.2. Lint Yield Prediction
5. Conclusions
Acknowledgments
Author Contributions
Conflicts of Interest
References
- Gerik, T.J.; Oosterhuis, D.M.; Torbert, H.A. Managing cotton nitrogen supply. Adv. Agron. 1998, 64, 115–147. [Google Scholar]
- World Fertilizer Trends and Outlook to 2018; FAO: Rome, Italy, 2015; p. 66.
- Ali, N. Review: Nitrogen utilization features in cotton crop. Am. J. Plant Sci. 2015, 6, 987–1002. [Google Scholar] [CrossRef]
- Good, A.G.; Beatty, P.H. Fertilizing nature: A tragedy of excess in the commons. PLoS Biol. 2011, 9, e1001124. [Google Scholar] [CrossRef] [PubMed]
- Snyder, C.S.; Davidson, E.A.; Smith, P.; Venterea, R.T. Agriculture: Sustainable crop and animal production to help mitigate nitrous oxide emissions. Curr. Opin. Environ. Sustain. 2014, 9–10, 46–54. [Google Scholar] [CrossRef]
- Cottoninfo. Cottoninfo on-Farm Nitrogen Trials and N-Use Practices. Available online: https://www.cottoninfo.com.au/publications/cottoninfo-nitrogen-trials-report (accessed on 8 November 2017).
- Zhou, G.; Yin, X. Assessing nitrogen nutritional status, biomass and yield of cotton with ndvi, spad and petiole sap nitrate concentration. Exp. Agric. 2017, 1–18. [Google Scholar] [CrossRef]
- Mulla, D.J. Twenty five years of remote sensing in precision agriculture: Key advances and remaining knowledge gaps. Biosyst. Eng. 2013, 114, 358–371. [Google Scholar] [CrossRef]
- Buscaglia, H.J.; Varco, J.J. Early detection of cotton leaf nitrogen status using leaf reflectance. J. Plant Nutr. 2002, 25, 2067. [Google Scholar] [CrossRef]
- Tarpley, L.; Reddy, K.R.; Sassenrath-Cole, G.F. Reflectance indices with precision and accuracy in predicting cotton leaf nitrogen concentration. Crop Sci. 2000, 40, 1814–1819. [Google Scholar] [CrossRef]
- Read, J.J.; Tarpley, L.; McKinion, J.M.; Reddy, K.R. Narrow-waveband reflectance ratios for remote estimation of nitrogen status in cotton. J. Environ. Qual. 2002, 31, 1442–1452. [Google Scholar] [CrossRef] [PubMed]
- Raper, T.B.; Varco, J.J. Canopy-scale wavelength and vegetative index sensitivities to cotton growth parameters and nitrogen status. Precis. Agric. 2015, 16, 62–76. [Google Scholar] [CrossRef]
- Yang, C.; Bradford, J.M.; Wiegand, C.L. Airborne multispectral imagery for mapping variable growing conditions and yields of cotton, grain sorghum, and corn. Trans. ASAE 2001, 44, 1983–1994. [Google Scholar] [CrossRef]
- Raper, T.B.; Varco, J.J.; Hubbard, K.J. Canopy-based normalized difference vegetation index sensors for monitoring cotton nitrogen status. Agron. J. 2013, 105, 1345–1354. [Google Scholar] [CrossRef]
- Gutierrez, M.; Norton, R.; Thorp, K.R.; Wang, G. Association of spectral reflectance indices with plant growth and lint yield in upland cotton. Crop Sci. 2012, 52, 849–857. [Google Scholar] [CrossRef]
- Zarco-Tejada, P.J.; Ustin, S.L.; Whiting, M. Temporal and spatial relationships between within-field yield variability in cotton and high-spatial hyperspectral remote sensing imagery. Agron. J. 2005, 97, 641–653. [Google Scholar] [CrossRef]
- Zhao, D.; Reddy, K.R.; Kakani, V.G.; Read, J.J.; Koti, S. Canopy reflectance in cotton for growth assessment and lint yield prediction. Eur. J. Agron. 2007, 26, 335–344. [Google Scholar] [CrossRef]
- Zhang, C.; Kovacs, J.M. The application of small unmanned aerial systems for precision agriculture: A review. Precis. Agric. 2012, 13, 693–712. [Google Scholar] [CrossRef]
- Salamí, E.; Barrado, C.; Pastor, E. Uav flight experiments applied to the remote sensing of vegetated areas. Remote Sens. 2014, 6, 11051–11081. [Google Scholar] [CrossRef]
- Muharam, F.; Maas, S.; Bronson, K.; Delahunty, T. Estimating cotton nitrogen nutrition status using leaf greenness and ground cover information. Remote Sens. 2015, 7, 7007–7028. [Google Scholar] [CrossRef]
- Maresma, Á.; Ariza, M.; Martínez, E.; Lloveras, J.; Martínez-Casasnovas, J. Analysis of vegetation indices to determine nitrogen application and yield prediction in maize (zea mays l.) from a standard uav service. Remote Sens. 2016, 8, 973. [Google Scholar]
- Caturegli, L.; Corniglia, M.; Gaetani, M.; Grossi, N.; Magni, S.; Migliazzi, M.; Angelini, L.; Mazzoncini, M.; Silvestri, N.; Fontanelli, M.; et al. Unmanned aerial vehicle to estimate nitrogen status of turfgrasses. PLoS ONE 2016, 11, e0158268. [Google Scholar] [CrossRef] [PubMed]
- Hunt, E.R.; Horneck, D.A.; Spinelli, C.B.; Turner, R.W.; Bruce, A.E.; Gadler, D.J.; Brungardt, J.J.; Hamm, P.B. Monitoring nitrogen status of potatoes using small unmanned aerial vehicles. Precis. Agric. 2017, 1–20. [Google Scholar] [CrossRef]
- Zhu, J.; Wang, K.; Deng, J.; Harmon, T. Quantifying nitrogen status of rice using low altitude uav-mounted system and object-oriented segmentation methodology. In Proceedings of the ASME/IEEE International Conference on Mechatronic and Embedded Systems and Applications, San Diego, CA, USA, 30 August–2 September 2009; pp. 603–609. [Google Scholar]
- Isbell, R.F. The Australian Soil Classification; CSIRO: Collingwood, Australia, 2002; Volume 4. [Google Scholar]
- Grabham, M. Bankless Channel Irrigation Systems. In WATERpack—A Guide for Irrigation Management in Cotton and Grain Farming Systems, 3rd ed.; Cotton Research and Development Corporation (CRDC): Narrabri, Australia, 2012; pp. 388–391. [Google Scholar]
- Hunt, E.R.; Doraiswamy, P.C.; McMurtrey, J.E.; Daughtry, C.S.T.; Perry, E.M.; Akhmedov, B. A visible band index for remote sensing leaf chlorophyll content at the canopy scale. Int. J. Appl. Earth Obs. GeoInf. 2013, 21, 103–112. [Google Scholar] [CrossRef]
- Gitelson, A.A.; Kaufman, Y.J.; Stark, R.; Rundquist, D. Novel algorithms for remote estimation of vegetation fraction. Remote Sens. Environ. 2002, 80, 76–87. [Google Scholar] [CrossRef]
- Rouse, J.W.; Haas, R.H.; Schell, J.A.; Deering, D.W. Monitoring Vegetation Systems in the Great Plains with ERTS. In Proceedings of the Third Earth Resources Technology Satellite-1 Symposium, Washington, DC, USA, 10–14 December 1973; Freden, S.C., Mercanti, E.P., Becker, M.A., Eds.; NASA: Washington, DC, USA, 1974; pp. 309–317. [Google Scholar]
- Gitelson, A.A.; Merzlyak, M.N. Remote estimation of chlorophyll content in higher plant leaves. Int. J. Remote Sens. 1997, 18, 2691–2697. [Google Scholar] [CrossRef]
- Haboudane, D.; Miller, J.R.; Tremblay, N.; Zarco-Tejada, P.J.; Dextraze, L. Integration of hyperspectral vegetation indices for prediction of crop chlorophyll content for application to precision agriculture. Remote Sens. Environ. 2002, 81, 416–426. [Google Scholar] [CrossRef]
- Li, F.; Miao, Y.; Hennig, S.D.; Gnyp, M.L.; Chen, X.; Jia, L.; Bareth, G. Evaluating hyperspectral vegetation indices for estimating nitrogen concentration of winter wheat at different growth stages. Precis. Agric. 2010, 11, 335–357. [Google Scholar] [CrossRef]
- Yu, K.; Leufen, G.; Hunsche, M.; Noga, G.; Chen, X.; Bareth, G. Investigation of leaf diseases and estimation of chlorophyll concentration in seven barley varieties using fluorescence and hyperspectral indices. Remote Sens. 2014, 6, 64–86. [Google Scholar] [CrossRef]
- Yu, K.; Li, F.; Gnyp, M.L.; Miao, Y.; Bareth, G.; Chen, X. Remotely detecting canopy nitrogen concentration and uptake of paddy rice in the northeast china plain. ISPRS J. Photogramm. Remote Sens. 2013, 78, 102–115. [Google Scholar] [CrossRef]
- Yang, C.; Greenberg, S.M.; Everitt, J.H.; Fernandez, C.J. Assessing cotton defoliation, regrowth control and root rot infection using remote sensing technology. Int. J. Agric. Biol. Eng. 2011, 4, 1–11. [Google Scholar]
- Rochester, I.J. Nutrient uptake and export from an australian cotton field. Nutr. Cycl. Agroecosyst. 2007, 77, 213–223. [Google Scholar] [CrossRef]









| Treatment | DAP * | NH3-N * | Poultry Manure * | Urea y | Total N Applied (kg ha−1) | Replicates |
|---|---|---|---|---|---|---|
| N-0 | 0 | 0 | 0 | 0 | 0 | 3 |
| N-130 | 0 | 0 | 0 | 130 | 130 | 3 |
| N-177 | 27 | 150 | 0 | 0 | 177 | 4 |
| NM-194 | 27 | 150 | 16.6 | 0 | 194 | 4 |
| NM-210 | 27 | 150 | 33.2 | 0 | 210 | 4 |
| N-307 | 27 | 150 | 0 | 130 | 307 | 4 |
| NM-324 | 27 | 150 | 16.6 | 130 | 324 | 4 |
| NM-340 | 27 | 150 | 33.2 | 130 | 340 | 4 |
| Vegetation Index | Formulation | Reference |
|---|---|---|
| NDVI | (NIR − R)/(NIR + R) | [29] |
| NDRE | (NIR − RE)/(NIR + RE) | [30] |
| SCCCI | NDRE/NDVI | [12] |
| TCARI/OSAVI | [3[(RE − R) − 0.2 (RE/G) (RE/R)]]/[(1 + 0.16) (NIR − R)/(NIR + R + 0.16)] RE/R | [31] |
| TGI | −0.5[(668 − 475)(R − G) − (668 − 560)(R − B)] | [27] |
| VARI | (G − R)/(G + R − B) | [28] |
| Treatment | First Flower (83 DAS *) | First Cracked Boll (154 DAS *) | Maturity (169 DAS *) | Lint Yield | ||||||
|---|---|---|---|---|---|---|---|---|---|---|
| N% | N Uptake | DM | N% | N Uptake | DM | N% | N Uptake | DM | ||
| N-0 | 2.04 ± 0.09 a | 48.3 ± 0.8 a | 2.4 ± 0.1 a | 1.16 ± 0.10 a | 167.0 ± 35.6 a | 14.7 ± 1.9 a | 1.13 ± 0.12 a | 178.3 ± 30.1 a | 8.7 ± 1.5 a | 2.11 ± 0.13 a |
| N-130 | 2.89 ± 0.12 b | 74.5 ± 4.8 b | 2.6 ± 0.1 ab | 1.50 ± 0.27 ab | 270.5 ± 71.0 ab | 18.3 ± 1.5 ab | 1.30 ± 0.03 ab | 273.9 ± 38.3 ab | 11.1 ± 1.3 ab | 2.34 ± 0.15 ab |
| N-177 | 2.93 ± 0.07 bc | 97.3 ± 11.8 d | 3.3 ± 0.5 c | 1.51 ± 0.14 ab | 322.8 ± 71.4 bc | 21.9 ± 2.8 b | 1.44 ± 0.04 bc | 310.3 ± 59.0 bc | 14.6 ± 1.7 bc | 3.10 ± 0.22 c |
| NM-194 | 2.97 ± 0.09 bc | 83.3 ± 6.9 cd | 2.8 ± 0.2 abc | 1.52 ± 0.10 ab | 304.4 ± 39.8 bc | 20.3 ± 1.3 b | 1.47 ± 0.09 bc | 308.1 ± 32.0 bc | 13.0 ± 1.7 abc | 3.12 ± 0.11 c |
| NM-210 | 2.99 ± 0.04 bc | 95.9 ± 9.2 cd | 3.2 ± 0.3 bc | 1.72 ± 0.19 bc | 384.2 ± 57.8 bc | 23.5 ± 1.7 b | 1.77 ± 0.11 d | 386.6 ± 19.4 c | 15.6 ± 2.0 c | 3.03 ± 0.07 c |
| N-307 | 2.88 ± 0.14 b | 75.1 ± 7.5 bc | 2.6 ± 0.3 abc | 1.70 ± 0.09 bc | 350.8 ± 56.5 bc | 21.1 ± 3.0 b | 1.65 ± 0.10 cd | 367.9 ± 70.6 bc | 14.6 ± 2.2 bc | 2.87 ± 0.06 c |
| NM-324 | 3.17 ± 0.10 c | 91.8 ± 10.4 bcd | 2.9 ± 0.3 abc | 1.87 ± 0.15 bc | 409.9 ± 38.2 c | 21.9 ± 1.2 b | 1.78 ± 0.15 d | 357.0 ± 38.1 bc | 13.7 ± 2.4 bc | 2.87 ± 0.20 c |
| NM-340 | 3.09 ± 0.14 bc | 83.0 ± 6.6 bcd | 2.7 ± 0.3 ab | 2.02 ± 0.17 c | 428.6 ± 19.8 c | 21.7 ± 1.4 b | 1.83 ± 0.04 d | 364.5 ± 12.4 bc | 13.6 ± 0.7 bc | 2.78 ± 0.26 bc |
| Cotton Growth Stage | N% | N Uptake | ||||||||||
|---|---|---|---|---|---|---|---|---|---|---|---|---|
| NDVI | NDRE | SCCCI | TCARI/OSAVI | TGI | VARI | NDVI | NDRE | SCCCI | TCARI/OSAVI | TGI | VARI | |
| FF | 0.00 | 0.14 | 0.61 *** | 0.26 ** | 0.33 ** | 0.00 | 0.11 | 0.30 ** | 0.47 *** | 0.12 | 0.01 | 0.06 |
| FCB | 0.47 *** | 0.62 *** | 0.65 *** | 0.25 ** | 0.37 *** | 0.40 *** | 0.58 *** | 0.67 *** | 0.68 *** | 0.38 *** | 0.25 ** | 0.52 *** |
| Maturity | 0.77 *** | 0.84 *** | 0.80 *** | 0.76 *** | 0.74 *** | 0.29 ** | 0.65 *** | 0.62 *** | 0.53 *** | 0.65 *** | 0.51 *** | 0.26 ** |
© 2017 by the authors. Licensee MDPI, Basel, Switzerland. This article is an open access article distributed under the terms and conditions of the Creative Commons Attribution (CC BY) license (http://creativecommons.org/licenses/by/4.0/).
Share and Cite
Ballester, C.; Hornbuckle, J.; Brinkhoff, J.; Smith, J.; Quayle, W. Assessment of In-Season Cotton Nitrogen Status and Lint Yield Prediction from Unmanned Aerial System Imagery. Remote Sens. 2017, 9, 1149. https://doi.org/10.3390/rs9111149
Ballester C, Hornbuckle J, Brinkhoff J, Smith J, Quayle W. Assessment of In-Season Cotton Nitrogen Status and Lint Yield Prediction from Unmanned Aerial System Imagery. Remote Sensing. 2017; 9(11):1149. https://doi.org/10.3390/rs9111149
Chicago/Turabian StyleBallester, Carlos, John Hornbuckle, James Brinkhoff, John Smith, and Wendy Quayle. 2017. "Assessment of In-Season Cotton Nitrogen Status and Lint Yield Prediction from Unmanned Aerial System Imagery" Remote Sensing 9, no. 11: 1149. https://doi.org/10.3390/rs9111149
APA StyleBallester, C., Hornbuckle, J., Brinkhoff, J., Smith, J., & Quayle, W. (2017). Assessment of In-Season Cotton Nitrogen Status and Lint Yield Prediction from Unmanned Aerial System Imagery. Remote Sensing, 9(11), 1149. https://doi.org/10.3390/rs9111149

