Computing Coastal Ocean Surface Currents from MODIS and VIIRS Satellite Imagery
Abstract
:1. Introduction
2. Study Region and Data
2.1. Study Region
2.2. Satellite Imagery
2.3. HF Radar Currents
3. Methodology
3.1. MCC Method
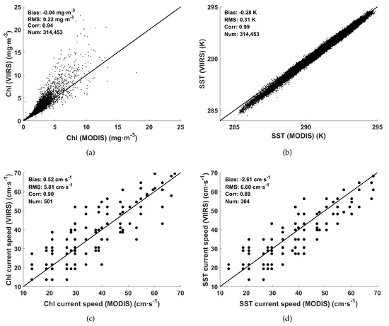
3.2. Combination of MODIS and VIIRS Imagery
3.3. Comparison with HF Radar Currents
3.4. Multiple MCC Source Image Current Merging
4. Routine MCC Current Computation
4.1. Image Selection
4.2. Number of Vectors
4.3. MCC Current Composites
5. California Current System Observation
5.1. 5-Year MCC Mean Flows
5.2. Weekly MCC Composites
5.3. Seasonal MCC Mean Flows
6. Discussion and Conclusions
Acknowledgments
Author Contributions
Conflicts of Interest
References
- Barrick, D.E.; Evans, M.; Weber, B. Ocean surface currents mapped by radar. Science 1977, 198, 138–144. [Google Scholar] [CrossRef] [PubMed]
- Georges, T.; Harlan, J.; Lematta, R. Large-scale mapping of ocean surface currents with dual over-the-horizon radars. Nature 1996, 379, 434–436. [Google Scholar] [CrossRef]
- Emery, W.J.; Baldwin, D.G.; Matthews, D.K. Sampling the mesoscale ocean surface currents with various satellite altimeter configurations. IEEE Trans. Geosci. Remote Sens. 2004, 42, 795–803. [Google Scholar] [CrossRef]
- Roesler, C.J.; Emery, W.J.; Kim, S.Y. Evaluating the use of high-frequency radar coastal currents to correct satellite altimetry. J. Geophys. Res. Oceans 2013, 118, 3240–3259. [Google Scholar] [CrossRef]
- Johnsen, H.; Nilsen, V.; Engen, G.; Mouche, A.A.; Collard, F. Ocean doppler anomaly and ocean surface current from Sentinel 1 tops mode. In Proceedings of the 2016 IEEE International Geoscience and Remote Sensing Symposium (IGARSS), Beijing, China, 10–15 July 2016; pp. 3993–3996. [Google Scholar]
- Emery, W.J.; Thomas, A.; Collins, M.; Crawford, W.R.; Mackas, D. An objective method for computing advective surface velocities from sequential infrared satellite images. J. Geophys. Res. Oceans 1986, 91, 12865–12878. [Google Scholar]
- Emery, W.J.; Fowler, C.; Clayson, C. Satellite-image-derived Gulf Stream currents compared with numerical model results. J. Atmos. Ocean. Technol. 1992, 9, 286–304. [Google Scholar] [CrossRef]
- Bowen, M.M.; Emery, W.J.; Wilkin, J.L.; Tildesley, P.C.; Barton, I.J.; Knewtson, R. Extracting multiyear surface currents from sequential thermal imagery using the maximum cross-correlation technique. J. Atmos. Ocean. Technol. 2002, 19, 1665–1676. [Google Scholar] [CrossRef]
- Crocker, R.I.; Matthews, D.K.; Emery, W.J.; Baldwin, D.G. Computing coastal ocean surface currents from infrared and ocean color satellite imagery. IEEE Trans. Geosci. Remote Sens. 2007, 45, 435–447. [Google Scholar] [CrossRef]
- Chubb, S.R.; Mied, R.P.; Shen, C.Y.; Chen, W.; Evans, T.E.; Kohut, J. Ocean surface currents from AVHRR imagery: Comparison with land-based HF radar measurements. IEEE Trans. Geosci. Remote Sens. 2008, 46, 3647–3660. [Google Scholar] [CrossRef]
- Matthews, D.K.; Emery, W.J. Velocity observations of the California Current derived from satellite imagery. J. Geophys. Res. Oceans 2009, 114. [Google Scholar] [CrossRef]
- Garcia, C.A.; Robinson, I.S. Sea surface velocities in shallow seas extracted from sequential coastal zone color scanner satellite data. J. Geophys. Res. Oceans 1989, 94, 12681–12691. [Google Scholar] [CrossRef]
- Yang, H.; Arnone, R.; Jolliff, J. Estimating advective near-surface currents from ocean color satellite images. Remote Sens. Environ. 2015, 158, 1–14. [Google Scholar] [CrossRef]
- Warren, M.; Quartly, G.; Shutler, J.; Miller, P.; Yoshikawa, Y. Estimation of ocean surface currents from maximum cross correlation applied to GOCI geostationary satellite remote sensing data over the Tsushima (Korea) Straits. J. Geophys. Res. Oceans 2016, 121, 6993–7009. [Google Scholar] [CrossRef]
- Liu, J.; Emery, W.J.; Wu, X.; Li, M.; Li, C.; Zhang, L. Computing Ocean Surface Currents from GOCI Ocean Color Satellite Imagery. IEEE Trans. Geosci. Remote Sens. 2017. [Google Scholar] [CrossRef]
- Qazi, W.A.; Emery, W.J.; Fox-Kemper, B. Computing ocean surface currents over the coastal California Current System using 30-min-lag sequential SAR images. IEEE Trans. Geosci. Remote Sens. 2014, 52, 7559–7580. [Google Scholar]
- Emery, W.J.; Gade, M.; Romeiser, R. Coastal Ocean Surface Current Retrievals from Sequences of TerraSAR-X Images. In Proceedings of the IEEE International Conference on Geoscience and Remote Sensing Symposium, IGARSS 2006, Denver, CO, USA, 31 July–4 August 2006; pp. 1926–1929. [Google Scholar]
- Ren, Y.; Li, X.M.; Gao, G.; Busche, T.E. Derivation of Sea Surface Tidal Current From Spaceborne SAR Constellation Data. IEEE Trans. Geosci. Remote Sens. 2017, 55, 3236–3247. [Google Scholar] [CrossRef]
- Bowen, M.M.; Wilkin, J.L.; Emery, W.J. Variability and forcing of the East Australian Current. J. Geophys. Res. Oceans 2005, 110. [Google Scholar] [CrossRef]
- Tokmakian, R.; Strub, P.T.; McClean-Padman, J. Evaluation of the maximum cross-correlation method of estimating sea surface velocities from sequential satellite images. J. Atmos. Ocean. Technol. 1990, 7, 852–865. [Google Scholar] [CrossRef]
- Emery, W.J.; Baldwin, D.; Matthews, D. Maximum cross correlation automatic satellite image navigation and attitude corrections for open-ocean image navigation. IEEE Trans. Geosci. Remote Sens. 2003, 41, 33–42. [Google Scholar] [CrossRef]
- Kim, S.Y.; Terrill, E.J.; Cornuelle, B.D.; Jones, B.; Washburn, L.; Moline, M.A.; Paduan, J.D.; Garfield, N.; Largier, J.L.; Crawford, G.; et al. Mapping the US West Coast surface circulation: A multiyear analysis of high-frequency radar observations. J. Geophys. Res. Oceans 2011, 116. [Google Scholar] [CrossRef]
- Cao, C.; Xiong, J.; Blonski, S.; Liu, Q.; Uprety, S.; Shao, X.; Bai, Y.; Weng, F. Suomi NPP VIIRS sensor data record verification, validation, and long-term performance monitoring. J. Geophys. Res. Atmos. 2013, 118. [Google Scholar] [CrossRef]
- Kundu, P.K. Ekman veering observed near the ocean bottom. J. Phys. Oceanogr. 1976, 6, 238–242. [Google Scholar] [CrossRef]
- Centurioni, L.; Ohlmann, J.; Niiler, P.P. Permanent meanders in the California current system. J. Phys. Oceanogr. 2008, 38, 1690–1710. [Google Scholar] [CrossRef]
- Wilkin, J.L.; Bowen, M.M.; Emery, W.J. Mapping mesoscale currents by optimal interpolation of satellite radiometer and altimeter data. Ocean Dyn. 2002, 52, 95–103. [Google Scholar] [CrossRef]
- Strub, P.T.; James, C. Altimeter-derived variability of surface velocities in the California Current System: 2. Seasonal circulation and eddy statistics. Deep Sea Res. Part II Top. Stud. Oceanogr. 2000, 47, 831–870. [Google Scholar] [CrossRef]
- Stegmann, P.M.; Schwing, F. Demographics of mesoscale eddies in the California Current. Geophys. Res. Lett. 2007, 34. [Google Scholar] [CrossRef]
- Simpson, J.J.; Lynn, R.J. A mesoscale eddy dipole in the offshore California Current. J. Geophys. Res. Oceans 1990, 95, 13009–13022. [Google Scholar] [CrossRef]
- Hickey, B.M. The California Current system—Hypotheses and facts. Prog. Oceanogr. 1979, 8, 191–279. [Google Scholar] [CrossRef]
















| Satellite Sensor | MODIS | VIIRS |
|---|---|---|
| Spatial resolution (km) | 1.1 | 0.75 |
| Temporal resolution (min) | 98 | 100 |
| Visit time period (UTC) | Terra: 04:52–07:38, 17:49–20:33 | 08:36–12:00, 19:30–22:33 |
| Aqua: 08:55–11:45, 20:00–22:43 | ||
| Satellite imagery | SST, Chl, Kd490, Rrs412, Rrs443, Rrs469, Rrs488, | SST, Chl, Kd490, Rrs410, Rrs443, Rrs486, |
| Rrs531, Rrs547, Rrs555, Rrs645, Rrs667, Rrs678 | Rrs551, Rrs671 |
| Year | 2012 | 2013 | 2014 | 2015 | 2016 |
|---|---|---|---|---|---|
| 4023 | 4225 | 4423 | 4371 | 4126 | |
| 3126 | 3137 | 3390 | 3272 | 3204 | |
| 35,412 | 50,000 | 40,327 | 39,724 | 29,936 |
© 2017 by the authors. Licensee MDPI, Basel, Switzerland. This article is an open access article distributed under the terms and conditions of the Creative Commons Attribution (CC BY) license (http://creativecommons.org/licenses/by/4.0/).
Share and Cite
Liu, J.; Emery, W.J.; Wu, X.; Li, M.; Li, C.; Zhang, L. Computing Coastal Ocean Surface Currents from MODIS and VIIRS Satellite Imagery. Remote Sens. 2017, 9, 1083. https://doi.org/10.3390/rs9101083
Liu J, Emery WJ, Wu X, Li M, Li C, Zhang L. Computing Coastal Ocean Surface Currents from MODIS and VIIRS Satellite Imagery. Remote Sensing. 2017; 9(10):1083. https://doi.org/10.3390/rs9101083
Chicago/Turabian StyleLiu, Jianfei, William J. Emery, Xiongbin Wu, Miao Li, Chuan Li, and Lan Zhang. 2017. "Computing Coastal Ocean Surface Currents from MODIS and VIIRS Satellite Imagery" Remote Sensing 9, no. 10: 1083. https://doi.org/10.3390/rs9101083
APA StyleLiu, J., Emery, W. J., Wu, X., Li, M., Li, C., & Zhang, L. (2017). Computing Coastal Ocean Surface Currents from MODIS and VIIRS Satellite Imagery. Remote Sensing, 9(10), 1083. https://doi.org/10.3390/rs9101083
