Correction: Dupuy, E., et al. Comparison of XH2O Retrieved from GOSAT Short-Wavelength Infrared Spectra with Observations from the TCCON Network. Remote Sens. 2016, 8, 414
- Section 5.3, middle of paragraph 2:`The ensemble time series yield monthly mean differences globally equal to zero within their standard deviation: values between about −450 ppm to +120 ppm with an average of −100 ppm, standard deviations within 30 to 700 ppm. This shows that the seasonal variations in the Northern and Southern hemispheres, previously illustrated by the single-site XHO time series, tend to cancel out. The fact that the monthly mean values are mostly negative is likely explained by the increasingly low bias of TANSO-FTS XHO for larger TCCON mole fractions.’
- Section 5.3, end of paragraph 3:‘For example, target-mode observations around Park Falls, Lamont and Tsukuba respectively account for 62%, 99% and 100% of the coincidences found at each site using the nominal criteria (±1 in latitude/longitude, ±30 min in time). The exceptions are Sodankylä (0%), Darwin (8%), the JPL (31%) and Lauder (39%), which are sufficiently close to the standard GOSAT scanning pattern footprints to be observed routinely without requiring target-mode observations.’
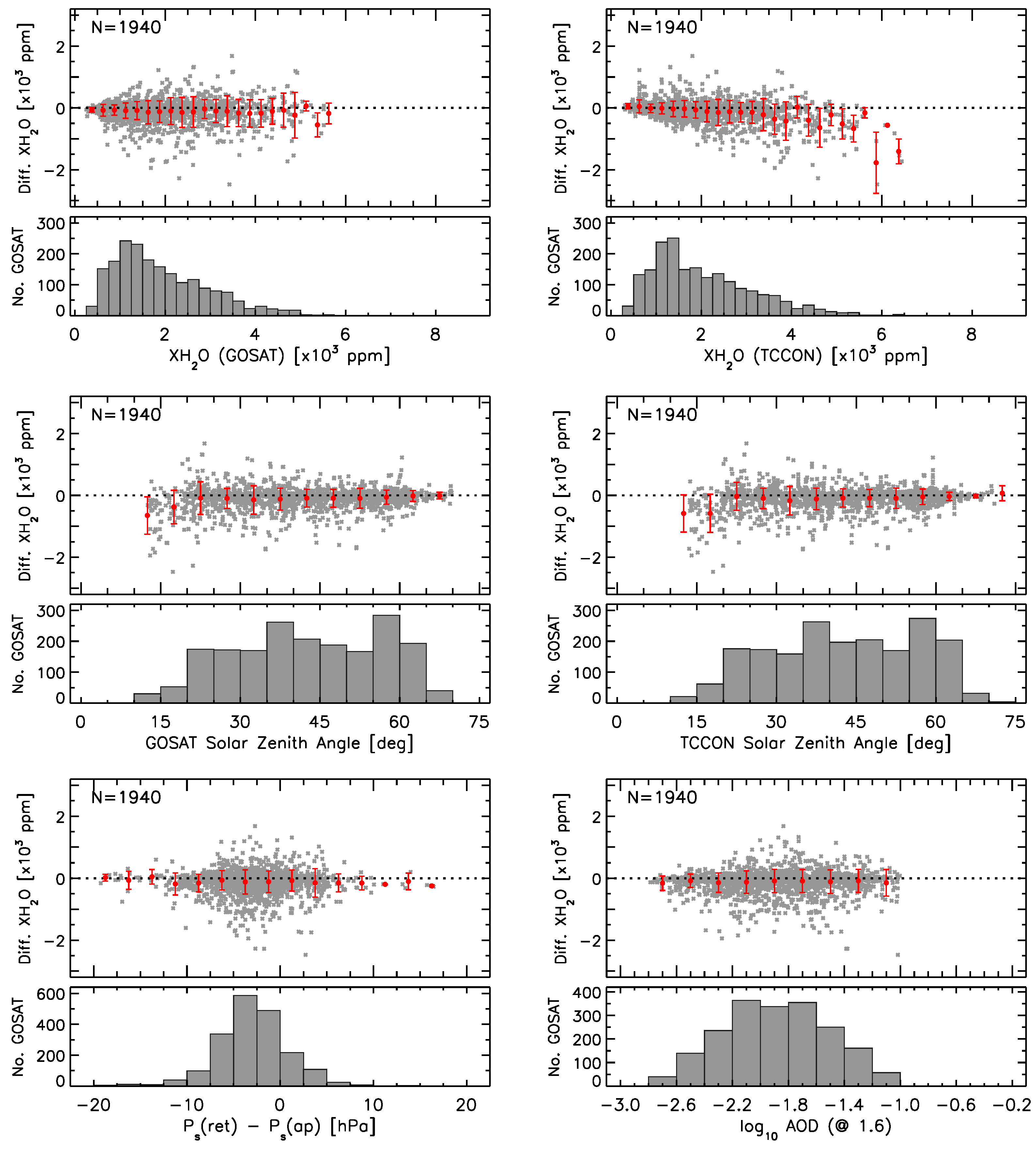
- Section 5.3, end of paragraph 5:‘There also seems to be a slight bias with respect to the SZA values for both datasets, with differences becoming larger and negative for SZAs smaller than 25 and a corresponding global correlation of ∼0.16 for both GOSAT and TCCON (0.35 and 0.41 for TANSO-FTS and TCCON, respectively, for SZA values smaller than 25).’
Reference
- Dupuy, E.; Morino, I.; Deutscher, N.M.; Yoshida, Y.; Uchino, O.; Connor, B.J.; De Mazière, M.; Griffith, D.W.T.; Hase, F.; Heikkinen, P.; et al. Comparison of XH2O Retrieved from GOSAT Short-Wavelength Infrared Spectra with Observations from the TCCON Network. Remote Sens. 2016, 8, 414. [Google Scholar] [CrossRef]







| TCCON | # of Scans | Bias ± SD | Bias ± SD |
|---|---|---|---|
| Dataset | (ppm) | (%) | |
| Sodankylä | 33 | −264.0 ± 548.6 | −8.50 ± 17.93 |
| Bialystok | 23 | −106.6 ± 265.1 | −3.03 ± 9.56 |
| Bremen | 13 | 2.6 ± 53.2 | −0.26 ± 3.36 |
| Karlsruhe | 39 | −199.1 ± 303.0 | −7.74 ± 11.54 |
| Orléans | 96 | −11.3 ± 247.0 | −0.64 ± 10.89 |
| Garmisch | 56 | −120.9 ± 346.6 | −2.98 ± 17.65 |
| Park Falls | 165 | −25.7 ± 289.6 | −0.97 ± 12.62 |
| Lamont | 346 | −20.0 ± 239.6 | 1.06 ± 18.76 |
| Tsukuba | 353 | −28.9 ± 203.0 | −0.66 ± 14.26 |
| Edwards | 62 | 380.7 ± 410.5 | 26.79 ± 27.23 |
| JPL | 65 | −299.3 ± 574.9 | −12.45 ± 31.18 |
| Pasadena | 113 | −107.1 ± 180.4 | −4.77 ± 8.11 |
| Saga | 72 | −155.9 ± 289.6 | −7.60 ± 13.67 |
| Darwin | 116 | −389.7 ± 536.0 | −10.98 ± 14.71 |
| Wollongong | 211 | −410.1 ± 438.7 | −16.50 ± 17.43 |
| Lauder | 177 | −6.9 ± 75.7 | −0.51 ± 5.99 |
| Ensemble bias | 1940 | −103.2 ± 356.5 | −3.09 ± 17.72 |
| Station bias | 16 | −110.1 ± 188.6 | −3.11 ± 9.47 |
| TCCON | # of Scans | Slope | Intercept | R |
|---|---|---|---|---|
| Dataset | (ppm/ppm) | (ppm) | ||
| Sodankylä | 33 | 0.75 | 368.1 | 0.77 |
| Bialystok | 23 | 0.93 | 62.7 | 0.97 |
| Bremen | 13 | 1.02 | −24.8 | 1.00 |
| Karlsruhe | 39 | 0.88 | 82.6 | 0.97 |
| Orléans | 96 | 0.99 | 8.0 | 0.97 |
| Garmisch | 56 | 0.89 | 104.3 | 0.95 |
| Park Falls | 165 | 0.99 | 7.7 | 0.96 |
| Lamont | 346 | 0.93 | 130.5 | 0.98 |
| Tsukuba | 353 | 0.94 | 53.4 | 0.97 |
| Edwards | 62 | 0.91 | 557.5 | 0.94 |
| JPL | 65 | 0.70 | 297.2 | 0.75 |
| Pasadena | 113 | 0.94 | 17.4 | 0.99 |
| Saga | 72 | 0.92 | 4.9 | 0.97 |
| Darwin | 116 | 0.70 | 519.0 | 0.87 |
| Wollongong | 211 | 0.83 | 10.0 | 0.93 |
| Lauder | 177 | 1.00 | −3.8 | 0.99 |
| Ensemble bias | 1940 | 0.88 | 136.7 | 0.95 |
| Station bias | 16 | 0.72 | 491.9 | 0.87 |
© 2016 by the authors; licensee MDPI, Basel, Switzerland. This article is an open access article distributed under the terms and conditions of the Creative Commons Attribution (CC-BY) license (http://creativecommons.org/licenses/by/4.0/).
Share and Cite
Dupuy, E.; Morino, I.; Deutscher, N.M.; Yoshida, Y.; Uchino, O.; Connor, B.J.; De Mazière, M.; Griffith, D.W.T.; Hase, F.; Heikkinen, P.; et al. Correction: Dupuy, E., et al. Comparison of XH2O Retrieved from GOSAT Short-Wavelength Infrared Spectra with Observations from the TCCON Network. Remote Sens. 2016, 8, 414. Remote Sens. 2016, 8, 982. https://doi.org/10.3390/rs8120982
Dupuy E, Morino I, Deutscher NM, Yoshida Y, Uchino O, Connor BJ, De Mazière M, Griffith DWT, Hase F, Heikkinen P, et al. Correction: Dupuy, E., et al. Comparison of XH2O Retrieved from GOSAT Short-Wavelength Infrared Spectra with Observations from the TCCON Network. Remote Sens. 2016, 8, 414. Remote Sensing. 2016; 8(12):982. https://doi.org/10.3390/rs8120982
Chicago/Turabian StyleDupuy, Eric, Isamu Morino, Nicholas M. Deutscher, Yukio Yoshida, Osamu Uchino, Brian J. Connor, Martine De Mazière, David W. T. Griffith, Frank Hase, Pauli Heikkinen, and et al. 2016. "Correction: Dupuy, E., et al. Comparison of XH2O Retrieved from GOSAT Short-Wavelength Infrared Spectra with Observations from the TCCON Network. Remote Sens. 2016, 8, 414" Remote Sensing 8, no. 12: 982. https://doi.org/10.3390/rs8120982
APA StyleDupuy, E., Morino, I., Deutscher, N. M., Yoshida, Y., Uchino, O., Connor, B. J., De Mazière, M., Griffith, D. W. T., Hase, F., Heikkinen, P., Hillyard, P. W., Iraci, L. T., Kawakami, S., Kivi, R., Matsunaga, T., Notholt, J., Petri, C., Podolske, J. R., Pollard, D. F., ... Yokota, T. (2016). Correction: Dupuy, E., et al. Comparison of XH2O Retrieved from GOSAT Short-Wavelength Infrared Spectra with Observations from the TCCON Network. Remote Sens. 2016, 8, 414. Remote Sensing, 8(12), 982. https://doi.org/10.3390/rs8120982

